Patentes de Medicamentos covid-19
MEDICAMENTOS
Carta patente expedida – medicamentos
Em 28 de setembro de 2021, a empresa americana SELECTA BIOSCIENCES, INC. teve a Carta Patente n° BR 112013027514-6 expedida. A patente de invenção refere-se a nanotransportadores sintéticos para reduzir respostas de linfócitos T citotóxicos. As composições de nanotransportadores sintéticos, e métodos relacionados, compreendendo epítopos restritos a MHC de Classe I e/ou restritos a MHC de Classe II associados a respostas de células T CD8+ indesejadas e imunossupressores que provêm respostas imunológicas contra antígenos que compreendem os epítopos. A patente terá validade de 20 (vinte) anos contados a partir de 27 de abril de 2012.
Em 19 de outubro de 2021, a empresa japonesa FUJIFILM TOYAMA CHEMICAL CO. LTD teve a Carta Patente n° PI 0817305-2 expedida. O trâmite prioritário do pedido, solicitado pelo Ministério da Saúde brasileiro, foi admitido em 12 de maio de 2020. O pedido refere-se a um sal de amina orgânica de 6-fluoro-3-hidroxi-2-pirazinocarbonitrila, que é útil como um intermediário para a preparação de produtos farmacêuticos, e um processo para produzir sal de amina. A patente de invenção terá validade de 20 (vinte) anos contados a partir de 25 de setembro de 2008.
Em 28 de setembro de 2021, a empresa americana SELECTA BIOSCIENCES, INC. teve a Carta Patente n° BR 112013027514-6 expedida. Em 12 de maio de 2020 foi admitido o trâmite prioritário solicitado pelo Ministério da Saúde brasileiro. A patente de invenção refere-se a nanotransportadores sintéticos tolerogênicos para reduzir respostas de linfócitos T citotóxicos e composições de nanotransportadores sintéticos, métodos relacionados, compreendendo epítopos restritos a MHC de Classe I e/ou restritos a MHC de Classe II associados a respostas de células T CD8+ indesejadas e imunossupressores que provêm respostas imunológicas tolerogênicas contra antígenos que compreendem os epítopos. A patente de invenção terá validade de 20 (vinte) anos contados a partir de 27 de abril de 2012.
Em 17 de agosto 2021, a empresa biofarmacêutica americana GILEAD SCIENCES, INC. teve a Carta Patente n° BR 12202012020217-3 expedida. A patente de invenção é uma divisão de BR 112018005048-2. A invenção refere-se ao uso dos compostos de fórmula

ou um sal deste composto, na preparação de uma composição farmacêutica ou medicamento para o tratamento de infecções pelo vírus Arenaviridae, particularmente por um vírus Lassa ou um vírus Junin. A patente terá validade de 20 (vinte) anos contados a partir de 16 de setembro de 2016.
Em 25 de maio de 2021, a empresa americana GILEAD SCIENCES, INC. teve a Carta Patente n° PI 0910455-0 expedida. A patente de invenção refere-se à análogos de carba-nucleosídeo 1’-substituído para tratamento antiviral e composição farmacêutica que os compreende. Em 02 de junho de 2020 foi admitido o trâmite prioritário do pedido de patente de invenção solicitado pelo Ministério da Saúde brasileiro. A patente de invenção terá validade de 20 (vinte) anos contados a partir de 22 de abril de 2009.
Em 25 de maio de 2021 foi retificada a Carta Patente n° PI0417072-5 da empresa japonesa CHUGAI SEIYAKU KABUSHIKI KAISHA. A Carta Patente n° PI0417072-5 foi expedida em 24 de outubro de 2017. Em 15 de maio de 2020 havia sido admitido o trâmite prioritário (solicitado pelo Ministério da Saúde brasileiro) da presente patente de invenção. A patente de invenção refere-se a um agente preventivo e/ou terapêutico para a vasculite tal como poliarterite nodosa, a síndrome de aortite e uma vasculite que é associada com anormalidades imunológicas, dito agente compreendendo um antagonista da interleucina-6 (IL-6) como um ingrediente ativo.
Em 25 de maio de 2021, a empresa NOVARTIS AG e a empresa americana GENENTECH, INC. tiveram a Carta Patente n° PI 0403964-5 retificada. Em 12 de maio de 2020 havia sido admitido o trâmite prioritário (solicitado pelo Ministério da Saúde) da presente patente de invenção. A patente de invenção refere-se a uma formulação líquida estável com baixa turbidez, que compreende:(a) anticorpo monoclonal anti-IgE, ou fragmento de ligação a antígeno do mesmo, em uma quantidade de 150 mg/ml, em que o anticorpo anti-IgE ou um fragmento de ligação a antígeno do mesmo compreende três CDRs de uma cadeia leve compreendendo a sequência de aminoácido SEQ ID NO:1 e três CDRs de uma cadeia pesada compreendendo a sequência de aminoácido SEQ ID NO:4; (b) arginina-HCl em uma quantidade de 200 mM; (c) histidina em uma quantidade 20 mM; e (d) polissorbato em uma quantidade de 0,01 a 0,1%; em que a formulação possui adicionalmente pH 6,0. A patente de invenção terá validade de 20 (vinte) anos contados a partir de 29 de março de 2004.
Em 25 de maio de 2021, a empresa americana CHUGAI SEIYAKU KABUSHIKI KAISHA teve a Carta Patente n° PI0818903-0 retificada. O trâmite prioritário do documento havia sido solicitado pelo Ministério da Saúde e foi concedido em 12 de maio de 2020. A patente refere-se a formulações líquidas estáveis contendo anticorpo, caracterizada pelo fato de que compreende 50 a 300 mM de arginina e 10 a 50 mM de metionina. Tais formulações são apropriadas para administração subcutânea, em que a dimerização e a desamidação são impedidas durante o armazenamento a longo prazo. A patente de invenção terá validade de 20 (vinte) anos contados a partir de 26 de dezembro de 2008.
Em 25 de maio de 2021, a empresa japonesa FUJIFILM TOYAMA CHEMICAL CO., LTD teve a Carta Patente n° PI 0807597-2 retificada. O trâmite prioritário do documento havia sido solicitado pelo Ministério da Saúde e foi concedido em 12 de maio de 2020. A patente refere-se a composições farmacêuticas para tratar infecção por vírus da influenza, compreendendo um derivado de pirazina representado pela seguinte fórmula geral ou um sal do mesmo e pelo menos um composto selecionado do grupo consistindo em oseltamivir, zanamivir, peramivir e CS-8958:

em que R1 e R3 são hidrogênio; e R2 representa um átomo de flúor. A patente de invenção terá validade de 20 (vinte) anos contados a partir de 14 de fevereiro de 2008.
Em 25 de maio de 2021, a empresa japonesa CHUGAI SEIYAKU KABUSHIKI KAISHA teve retificada a publicação da sua Carta Patente n° PI 0905076-0. Em 12 de maio de 2020 o INPI havia concedido, para este documento, o trâmite prioritário por solicitação do Ministério da Saúde, o pedido de patente foi examinado e a Carta Patente havia sido expedida em 05 de janeiro de 2021. A patente de invenção refere-se a um anticorpo anti-receptor de IL-6, gene e composição farmacêutica compreendendo o mesmo. Tais composições farmacêuticas compreendem moléculas de segunda geração que são superiores àquelas de TOCILIZUMABE, que é um anticorpo IgG1 de receptor anti-IL-6 humanizado para realçar a capacidade de neutralização de antígeno e aumentar os farmacocinéticos; de modo que o efeito terapêutico seja exercido com uma frequência menor de administração, e a imunogenicidade, segurança e propriedade físico-químicas (estabilidade e homogeneidade) sejam melhoradas. As moléculas de segunda geração (que são superiores àquelas de TOCILIZUMABE) foram produzidas combinando-se as alterações da sequência de aminoácido nos domínios de CDR, regiões variáveis e regiões constantes. A patente de invenção terá validade de 20 (vinte) anos contados a partir de 25 de setembro de 2009.
Em 25 de maio de 2021, a empresa americana REGENERON PHARMACEUTICALS, INC. teve retificada a publicação da sua Carta Patente n° PI 0712224-1. Em 12 de maio de 2020 o INPI havia concedido, para este documento, o trâmite prioritário por solicitação do Ministério da Saúde, o pedido de patente foi examinado e a Carta Patente havia sido expedida em 17 de novembro de 2020. A patente de invenção refere-se a anticorpos de alta afinidade para o receptor de IL-6 humano. Tais anticorpos humanos ou fragmentos de ligação ao antígeno se ligam ao receptor de IL-6 humano (hlL-6R) com um KD de cerca de 500 pM ou menos e bloqueiam a atividade de IL-6 com um lC50 de 200 pM ou menos. O anticorpo ou fragmento de anticorpo liga-se ao hIL-6R com uma afinidade pelo menos 2 vezes maior relativa à sua ligação ao IL-6R de macaco. A patente de invenção terá validade de 20 (vinte) anos contados a partir de 01 de junho de 2007.
Em 13 de abril de 2021, a empresa brasileira BIOTEC BIOLÓGICA INDÚSTRIA FARMACÊUTICA LTDA E.P.P (BR/GO) teve a Carta Patente n° BR 102014005885-0 expedida. A empresa havia solicitado trâmite prioritário por tratar-se de tecnologia envolvendo a saúde, que foi admitido pelo INPI em 04 de agosto de 2020. A patente de invenção refere-se a uma composição farmacêutica de paracetamol estabilizada, veiculada em bolsa plástica e pronta para uso por perfusão. A patente de invenção terá validade de 20 (vinte) anos contados a partir de 13 de março de 2014.
Em 13 de abril de 2021, a empresa japonesa CHUGAI SEIYAKU KABUSHIKI KAISHA teve a Carta Patente n° BR112017020401-0 expedida. A patente de invenção refere-se a um método de cultura de célula CHO produtora de anticorpo alimentada em batelada (fed-batch), em que a geração de espécies amidadas do C-terminal no anticorpo é suprimida, e o anticorpo é tocilizumabe que é um anticorpo do receptor anti-IL-6 humanizado. A patente de invenção terá validade de 20 (vinte) anos contados a partir de 23 de março de 2016.
Em 06 de abril de 2021, a empresa brasileira BIOTEC BIOLÓGICA INDÚSTRIA FARMACÊUTICA LTDA teve a Carta Patente n° BR102014005885-0 expedida. A patente de invenção refere-se a uma composição farmacêutica de paracetamol estabilizada, veiculada em bolsa plástica e pronta para uso por perfusão. A patente de invenção terá validade de 20 (vinte) anos contados a partir de 13 de março de 2014.
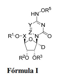
Em 16 de março 2021, a empresa japonesa FUJIFILM TOYAMA CHEMICAL CO., LTD. teve a Carta Patente n° BR 112013011418-5 expedida. A patente de invenção refere-se a um derivado de pirazina-carboxamida pirazino[2,3-d]isoxazol de fórmula I, métodos para a produção do mesmo e seus compostos. A patente terá validade de 20 (vinte) anos contados a partir de 11 de novembro de 2011.

Em 09 de março de 2021, a empresa japonesa CHUGAI SEIYAKU KABUSHIKI KAISHA e a empresa americana GENENTECH, INC. tiveram a Carta Patente n° BR 112014004828-2 expedida. Em 12 de maio de 2020, o INPI concedeu o trâmite prioritário que havia sido solicitado pelo Ministério da Saúde. A patente de invenção refere-se a métodos para preparação de composições compreendendo proteínas ou anticorpos altamente concentrados por ultrafiltração, que compreende as etapas de: concentrar uma preparação de anticorpo ou proteína por ultrafiltração da preparação, a referida ultrafiltração compreendendo: (1) regulação da taxa de fluxo de alimentação da preparação e (2) redução da taxa de fluxo de alimentação para manter ou reduzir o valor da pressão de alimentação aplicada à membrana de ultrafiltração após a etapa (1). A patente de invenção terá validade de 20 (vinte) anos contados a partir de 31 de agosto de 2012.

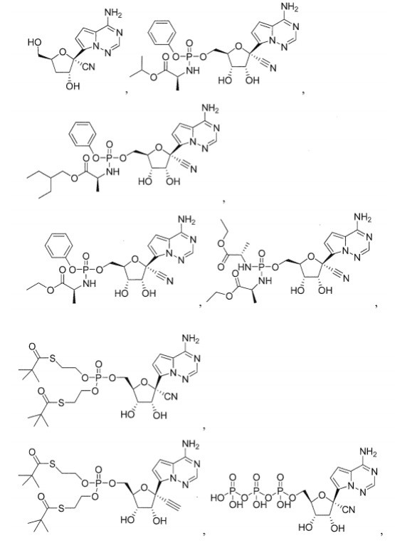
Em 23 de fevereiro 2021, a empresa biofarmacêutica americana GILEAD SCIENCES, INC., teve a Carta Patente n° BR 112018005048-2 expedida. A patente de invenção refere-se ao uso de um composto de Fórmula 1, ou um sal do mesmo, na preparação de uma composição farmacêutica ou medicamento para o tratamento de infecções pelo vírus Coronaviridae, particularmente selecionado a partir de SARS, MERS, 229E, NL63, OC43 e HKU1 em um ser humano. A patente terá validade de 20 (vinte) anos contados a partir de 16 de setembro de 2016. Segundo o site MedsPaL esta patente está relacionada ao medicamento Remdesivir.
Fórmula 1
Em 12 de janeiro de 2021, a empresa americana GILEAD SCIENCES, INC. teve a Carta Patente n° BR 112013001553-5 expedida. O trâmite prioritário do documento havia sido solicitado pelo Ministério da Saúde e foi concedido em 02 de junho de 2020. A patente de invenção refere-se a compostos, composições e métodos úteis para o tratamento de infecções por vírus de parainfluenza humana e sincicial respiratório. A patente de invenção terá validade de 20 (vinte) anos contados a partir de 22 de julho de 2011.

Em 12 de janeiro de 2021, o japonês CHUGAI SEIYAKU KABUSHIKI KAISHA teve a Carta Patente n° BR 112017014067-5 expedida. A patente de invenção refere-se à composição farmacêutica caracterizada pelo anticorpo receptor de IL-6 SA237 ou regime de dosagem usados para tratar doenças relacionadas a IL-6. As composições farmacêuticas ou regime da presente invenção podem resolver o problema imunogênico de geração de anticorpo anti-fármaco, diminuir os efeitos colaterais, e fornecer uma composição farmacêutica que apresenta efeitos terapêuticos mais altos com menos carga ao paciente, visto que a mesma não expõe o paciente a doses altas. A patente de invenção terá validade de 20 (vinte) anos contados a partir de 26 de fevereiro de 2016.
Em 12 de janeiro de 2021, a empresa americana GILEAD SCIENCES, INC. teve a Carta Patente n° BR 112013001553-5 expedida. Em 02 de junho de 2020 havia sido admitido o trâmite prioritário (solicitado pelo Ministério da Saúde brasileiro) da presente patente de invenção. A patente de invenção refere-se a métodos para preparação de uma composição compreendendo proteínas ou anticorpos altamente concentrados por ultrafiltração, caracterizado pelo fato de que compreende as etapas de: concentrar uma preparação de anticorpo ou proteína por ultrafiltração da preparação, a referida ultrafiltração compreendendo: (1) regulação da taxa de fluxo de alimentação da preparação para permitir o valor da pressão de alimentação aplicada a uma membrana de ultrafiltração aumentar para 85-100% de uma pressão de alimentação máxima especificada de uma membrana de ultrafiltração; e (2) redução da taxa de fluxo de alimentação para manter ou reduzir o valor da pressão de alimentação aplicada à membrana de ultrafiltração após a etapa (1). A patente de invenção terá validade de 20 (vinte) anos contados a partir de 22 de julho de 2011.

Em 12 de janeiro de 2021, a empresa suíça NOVARTIS AG e a empresa americana GENENTECH, INC. tiveram a Carta Patente n° PI 0403964-5 expedida. A patente de invenção refere-se à formulação líquida de anticorpos com alta concentração e baixa turbidez caracterizada por compreender anticorpo monoclonal anti-IgE ou proteínas, histidina, arginina e polissorbato. A patente de invenção terá validade de 20 (vinte) anos contados a partir de 29 de março de 2004.
Em 05 de janeiro de 2021, a empresa americana GILEAD SCIENCES, INC teve a Carta Patente n° PI 0910455-0 expedida. Em 02 de junho de 2020 foi admitido o trâmite prioritário do pedido de patente de invenção solicitado pelo Ministério da Saúde brasileiro e publicado em 14 de fevereiro de 2018. A patente de invenção refere-se à compostos (fórmula I) com atividade antiviral, nucleosídeos ativos contra infecções por Flaviviridae e a inibidores de RNA polimerase dependente de RNA de vírus da hepatite C. A patente de invenção terá validade de 20 (vinte) anos contados a partir de 22 de abril de 2009.
Pedido de patente publicado – medicamentos
O pedido de patente de invenção n° BR 11 2023 020893 9 da empresa alemã BERLIN CURES GMBH foi publicado em 27 de fevereiro de 2024. O pedido de patente refere-se a moléculas de aptâmero inovadoras para uso no tratamento, cura ou prevenção de sintomas de doenças associadas à COVID longa em um paciente que superou uma infecção com um vírus da família Coronaviridae, uma composição farmacêutica e um kit compreendendo tais moléculas de aptâmero. O pedido de patente está pendente de decisão, aguardando o início do exame técnico no INPI.
O pedido de patente de invenção n° BR 11 2023 009875 0 da empresa americana GENENTECH, INC. foi publicado em 06 de fevereiro de 2024. O pedido de patente refere-se a métodos para tratar um indivíduo com uma infecção por sars-cov-2, para reduzir a ligação de sars-cov-2 a uma célula, para diminuir a infecção por sars-cov-2 e para identificar um modulador, métodos de profilaxia, moduladores isolados, usos e antagonistas. São fornecidos no presente documento métodos de tratamento ou prevenção de infecção por SARS-CoV-2 que compreendem a modulação de interações entre a proteína spike de SARS-CoV-2 e as proteínas de célula hospedeira expressas em membrana plasmática, bem como métodos de identificação de moduladores de tais interações. O pedido de patente está pendente de decisão, aguardando o início do exame técnico no INPI.
O pedido de patente de invenção n° BR 11 2023 023090 0 da empresa israelense IMMUNORIZON LTD. foi publicado em 30 de janeiro de 2024. O pedido de patente refere-se a descreve um número de anticorpos anti-NKG2D (Nature Killer Grupo 2, membro D). São divulgadas adicionalmente regiões determinantes de complementaridade (CDRs) de anticorpos anti-NKG2D. Os anticorpos anti-NKG2D divulgados no presente documento podem ser usados para tratar várias doenças, tais como câncer, uma doença autoimune, uma infecção viral, uma infecção bacteriana ou uma doença associada à superexpressão de NKG2D. O pedido de patente está pendente de decisão, aguardando o início do exame técnico no INPI.
O pedido de patente de invenção n° BR11 2023 020798 3 da empresa americana EMORY UNIVERSITY foi publicado em 19 de dezembro de 2023. O pedido de patente refere-se a compostos, composições e métodos para prevenir, tratar ou curar uma infecção por coronavírus em sujeitos humanos ou outros hospedeiros animais. Em uma modalidade, os compostos podem ser usados para tratar uma infecção com um vírus da síndrome respiratória aguda grave, tal como coronavírus humano 229E, SARS, MERS, SARS-CoV-1 (OC43) e SARS-CoV-2. Em outra modalidade, os métodos são usados para tratar um paciente infectado com um Flavivírus, Picornavus, Togavirus ou Bunyavirus. O pedido de patente está pendente de decisão, aguardando o início do exame técnico no INPI.
O pedido de patente de invenção n° BR 11 2023 020862 9 A da empresa chinesa PHILIP MORRIS PRODUCTS S.A. foi publicado em 12 de dezembro de 2023. O pedido de patente refere-se a uma composição compreendendo uma microalga eucariótica ou um extrato da mesma pode ser para uso no tratamento de uma doença viral, por exemplo, coronavírus, e para uso como um inibidor da ligação do domínio de ligação do receptor (RBD) da proteína Spike à enzima conversora de angiotensina 2 (ACE2). Um composto derivado de microalgas eucarióticas também pode ser para uso no tratamento de uma doença viral. Por sua vez, uma microalga eucariótica pode ser usada como um agente antiviral. O pedido de patente está pendente de decisão, aguardando o início do exame técnico no INPI.
O pedido de patente de invenção n° BR 11 2023 019182 3 da empresa americana THE CLEVELAND CLINIC FOUNDATION foi publicado em 28 de novembro de 2023. O pedido de patente refere-se ao uso de um inibidor de citidina desaminase na preparação de um medicamento, sistema, kit ou artigo de manufatura e composição. A presente invenção fornece composições, sistemas, kits e métodos para tratar um indivíduo com uma infecção por vírus de RNA (por exemplo, SARS-CoV-2) administrando ou fornecendo uma composição que compreende um inibidor de citidina desaminase (por exemplo, tetra-hidrouridina ou cedazuridina). O pedido de patente está pendente de decisão, aguardando o início do exame técnico no INPI.
O pedido de patente de invenção n° BR11 2023 018186 0 das empresas coreanas BIONEER CORPORATION e SIRNAGEN THERAPEUTICS CORPORATION foi publicado em 21 de novembro de 2023. O pedido de patente refere-se a uma composição para administração de uma estrutura de oligonucleotídeo de fita dupla utilizando um nebulizador ultrassônico. De acordo com o método, o oligonucleotídeo de fita dupla, de acordo com a presente invenção, forma nanopartículas automontadas, que possuem tamanho de 90 nm e carga neutra, sendo possível liberar o oligonucleotídeo de fita dupla especificamente à cavidade nasal e pulmões, mantendo não apenas a mesma concentração, peso molecular, pureza, tamanho de nanopartículas e osmolalidade do material de estoque, mas também a atividade inibitória do gene alvo sem citotoxicidade. Assim, a presente invenção pode ser útil para a prevenção ou tratamento de infecções virais respiratórias, incluindo COVID-19, fibrose pulmonar causada por infecção viral ou doenças respiratórias. O pedido de patente está pendente de decisão, aguardando o início do exame técnico no INPI.
O pedido de patente de invenção n° BR 11 2023 006497 0 da empresa canadense THE HOSPITAL FOR SICK CHILDREN foi publicado em 21 de novembro de 2023. O pedido de patente refere-se a uma proteína de fusão que compreende um monômero de nanogaiola ligado a uma porção de ligação a SARS-CoV-2, em que uma pluralidade de proteínas de fusão se autoagrupam formando uma nanogaiola. A presente invenção também apresenta um construto de anticorpo triespecífico direcionado para SARS-CoV-2. A presente invenção também apresenta um polipeptídio de fusão compreendendo (1) uma região de fragmento (Fc) cristalizável ligada a (2) um monômero de nanogaiola ou subunidade do mesmo, em que a região (Fc) compreende a mutação I253A, em que a numeração está de acordo com o índice EU. O pedido de patente está pendente de decisão, aguardando o início do exame técnico no INPI.
O pedido de patente de invenção n° BR 112022016492-0 da empresa brasileira FARMACOLOGICOS VETERINARIOS SAC foi publicado em 31 de outubro de 2023. O pedido de patente refere-se à obtenção de duas vacinas vivas recombinantes ou vetorizadas de NDV que expressam a subunidade S1 e RBD da proteína S do SARS-CoV-2, que, quando aplicada por via intranasal em modelo animal de hamster, gera a produção de anticorpos neutralizantes contra SARS- CoV-2. A invenção mostra ainda que essas vacinas vivas são compatíveis para seu uso combinado entre si, para induzir a produção de anticorpos neutralizantes contra SARS-CoV-2 sem interferência cruzada substancial, indicando uma sinergia entre ambas vacinas, onde os vírus recombinantes de NDV (rNDV-LS1-HN-RBD/SARS-CoV-2 (SEQ ID No. 7) e rNDV-LS1-S1-F/SARS-CoV-2 (SEQ ID No. 13)), conseguem expressar a subunidade S1 e RBD da proteína S de SARS-CoV-2 em mamíferos. O pedido de patente está pendente de decisão, aguardando o início do exame técnico no INPI.
O pedido de patente de invenção n° BR 11 2023 014825 1 da empresa americana ATEA PHARMACEUTICALS, INC. foi publicado em 03 de outubro de 2023. O pedido de patente refere-se a forma mórfica cristalina isolada da forma III do composto a, forma III do composto a, composição farmacêutica, forma de dosagem sólida, métodos para tratar coronavírus da síndrome respiratória aguda grave 2 e para tratar vírus da hepatite c, uso da forma III do composto a ou de uma composição farmacêutica ou forma de dosagem sólida, dispersões sólidas seca por pulverização e em camadas granular, e, fabricação de forma III do composto a. Forma III mórfica isolada vantajosa do sal hemissulfato de AT-527 que exibe uma taxa de dissolução mais rápida em relação à forma amorfa, levando a uma maior biodisponibilidade e, portanto, eficácia para administração terapêutica em uma forma de dosagem sólida para tratar indicações virais, bem como processos para sua fabricação. O pedido de patente está pendente de decisão, aguardando o início do exame técnico no INPI.
O pedido de patente de invenção n° BR 10 2022 005518 1 da empresa brasileira UNIVERSIDADE FEDERAL DA PARAIBA foi publicado em 03 de outubro de 2023. O pedido de patente refere-se a um polipeptídio do vírus SARS- CoV-2 (SEQ ID NO: 1) visando à aplicação deste no preparo de potencial vacinal contra a doença COVID-19 e outras doenças infecciosas associadas, além da preparação de insumo para diagnóstico por detecção de SARS-CoV-2, ou preparação de medicamentos para o tratamento como antígeno de ligação a anticorpo neutralizante, tanto na medicina humana quanto veterinária. O pedido de patente está pendente de decisão, aguardando o início do exame técnico no INPI.
O pedido de patente de invenção n° BR 11 2023 014825 1 da empresa americana ATEA PHARMACEUTICALS, INC. foi publicado em 03 de outubro de 2023. O pedido de patente refere-se a forma mórfica cristalina isolada da forma III do composto a, forma III do composto a, composição farmacêutica, forma de dosagem sólida, métodos para tratar coronavírus da síndrome respiratória aguda grave 2 e para tratar vírus da hepatite c, uso da forma iii do composto a ou de uma composição farmacêutica ou forma de dosagem sólida, dispersões sólidas seca por pulverização e em camadas granular, e, fabricação de forma iii do composto a. Forma III mórfica isolada vantajosa do sal hemissulfato de AT-527 que exibe uma taxa de dissolução mais rápida em relação à forma amorfa, levando a uma maior biodisponibilidade e, portanto, eficácia para administração terapêutica em uma forma de dosagem sólida para tratar indicações virais, bem como processos para sua fabricação. O pedido de patente está pendente de decisão, aguardando o início do exame técnico no INPI.
O pedido de patente de invenção n° BR 11 2023 013982 1 da empresa coreana ABION INC. foi publicado em 19 de setembro de 2023. O pedido de patente refere-se a um método de administração profilática contra vírus respiratórios, compreendendo a administração de interferon-beta a um indivíduo potencialmente infectado por vírus respiratórios e, de forma mais específica, a um método para conter a infecção de autorreplicação por vírus respiratórios em um indivíduo exposto a potencial infecção por vírus respiratórios, pela administração de interferon-beta como um ingrediente ativo para células respiratórias através da respiração na forma de administração direta a células infectadas ou potencialmente infectadas com um vírus respiratório. O pedido de patente está pendente de decisão, aguardando o início do exame técnico no INPI.
O pedido de patente de invenção n° BR 11 2022 013217 4 da empresa chinesa F. HOFFMANN-LA ROCHE AG foi publicado em 13 de setembro de 2022. O pedido de patente refere-se a anticorpos recombinantes anti-D-Dímero que especificamente se ligam a produtos de degradação de fibrinogênio (FDP) e fibrina tais como D-Dímero, fragmento DD e fragmento D com alta afinidade de ligação e não se ligam a fragmento E e fibrinogênio. A presente invenção também se refere a métodos e ensaios para detecção de D-Dímero e fragmentos de FDP nas amostras usando os ditos anticorpos recombinantes. O pedido de patente está pendente de decisão, aguardando o início do exame técnico no INPI.
O pedido de patente de invenção n° BR 11 2023 016120 7 do americano MATTHIAS W. RATH foi publicado em 12 de setembro de 2023. O pedido de patente refere-se a uma composição farmacêutica de micronutrientes e seu uso para inibir simultaneamente múltiplos mecanismos celulares de infectividade causada por coronavírus, suas variantes e mutantes. A composição farmacêutica de micronutrientes, incluindo a mistura D neste estudo, ajuda a mitigar, inibir, prevenir e interromper doenças causadas por infecções virais. O coronavírus relacionado à síndrome respiratória do Oriente Médio e o coronavírus relacionado à síndrome respiratória aguda grave, bem como suas variantes e mutantes que afetam mamíferos e causam infecção são tratados com sucesso usando a mistura D. A mistura D contém micronutrientes essenciais, como ascorbato, N-acetilcisteína, teaflavinas, resveratrol, extratos de plantas crucíferas, curcumina, quercetina, naringenina e baicalina e uma combinação dos mesmos. Micronutrientes adicionais foram testados com a Mistura D e pareceram ter efeitos benéficos. O pedido de patente está pendente de decisão, aguardando o início do exame técnico no INPI.
O pedido de patente de invenção n° BR 11 2023 011791 7 da empresa americana ARVADA THERAPEUTICS, INC. foi publicado em 05 de setembro de 2023. O pedido de patente refere-se a composições e métodos de tratamento de COVID-19 pela administração de composições reveladas nesse documento. Os métodos também incluem o tratamento da síndrome pós-COVID-19 e cardiomiopatias usando composições descritas na presente revelação. O pedido de patente está pendente de decisão, aguardando o início do exame técnico no INPI.
O pedido de patente de invenção n° BR 11 2023 015869 9 da empresa espanhola AB-BIOTICS, S.A. foi publicado em 05 de setembro de 2023. O pedido de patente refere-se a uma composição probiótica que compreende: Lactobacillus plantarum CECT 30292, Lactobacillus plantarum CECT 7484, Lactobacillus plantarum CECT 7485, e Pediococcus acidilactici CECT 7483 A composição probiótica é útil no tratamento, prevenção ou melhora do COVID-19 e outras doenças infecciosas. A mesma também é útil em melhorar a resposta imune. O pedido de patente está pendente de decisão, aguardando o início do exame técnico no INPI.
O pedido de patente de invenção n° BR 11 2023 012311 9 da empresa austriaca TOPELIA AUST LIMITED foi publicado em 29 de agosto de 2023. O pedido de patente refere-se a agentes terapêuticos, combinações terapêuticas e métodos para o tratamento de infecções por coronavírus e doenças associadas, particularmente COVID-19. Os terapêuticos fornecidos incluem ivermectina (em doses de 0,3 mg/kg ou superior), doxiciclina, zinco, azitromicina, hidroxicloroquina, fenofibrato, vitamina D, nirmatrelvir, ritonavir ou ribavirina e suas combinações. O pedido de patente está pendente de decisão, aguardando o início do exame técnico no INPI.
O pedido de patente de invenção n° BR 11 2023 008228 5 da empresa americana AURANGZEB NAFEES NAGY foi publicado em 29 de agosto de 2023. O pedido de patente refere-se a composições e métodos para tratar a insuficiência respiratória aguda e/ou a síndrome do desconforto respiratório agudo usando tetrahidrocanabinol e composições incluindo os mesmos. Um método para tratar a insuficiência respiratória aguda (IRA) e/ou a síndrome do desconforto respiratório agudo (SDRA) (opcionalmente causadas em um sujeito acometido de covid-19) em um sujeito com necessidade do mesmo, que inclui administrar ao sujeito uma quantidade terapeuticamente eficaz de uma composição ou combinação incluindo um tetrahidrocanabinol (THC) ou um derivado, intermediário, metabólito ou fragmento do mesmo e/ou combinações dos mesmos e, opcionalmente, um ou mais de um interferon (IFN) ou derivado, intermediário, metabólito ou fragmento do mesmo e/ou combinações dos mesmos; uma fluvoxamina ou derivado, intermediário, metabólito ou fragmento da mesma e/ou combinações dos mesmos; uma acetilcisteína ou derivado, intermediário, metabólito ou fragmento da mesma e/ou combinações dos mesmos. O pedido de patente está pendente de decisão, aguardando o início do exame técnico no INPI.
O pedido de patente de invenção n° BR 11 2023 008261 7 da empresa singapuriana NEUOME PEPTIDES PTE. LTD. foi publicado em 22 de agosto de 2023. O pedido de patente refere-se a peptídeos e conjugados dos mesmos, como peptídeos mimetizadores da subunidade ACE-2 e S1 para a prevenção e controle da infecção por Coronavírus-2 da Síndrome Respiratória Aguda Grave (SARS-CoV2), impedindo a ligação do Coronavírus-2 da Síndrome Respiratória Aguda Grave com as células-alvo. O pedido de patente está pendente de decisão, aguardando o início do exame técnico no INPI.
O pedido de patente de invenção n° BR 11 2023 011235 4 da empresa americana SINTX TECHNOLOGIES,INC. foi publicado em 22 de agosto de 2023. O pedido de patente refere-se a composições antipatogênicas à base de nitreto e dispositivos e métodos de uso das mesmas. São descritas neste documento composições antipatogênicas compreendendo um nitreto escolhido dentre nitreto de alumínio, nitreto de boro, nitreto de cromo, nitreto de cério, nitreto de háfnio, nitreto de lantânio, nitreto de fósforo, nitreto de enxofre, nitreto de tântalo, nitreto de titânio, nitreto de vanádio, nitreto de ítrio, nitreto de zircônio, nitreto de silício ou combinações dos mesmos e métodos de uso das referidas composições para inativar vírus, bactérias e/ou fungos. O pedido de patente está pendente de decisão, aguardando o início do exame técnico no INPI.
O pedido de patente de invenção n° BR 11 2023 015389 1 da empresa americana OMEROS CORPORATION foi publicado em 22 de agosto de 2023. O pedido de patente refere-se a um método para tratar, inibir, aliviar ou prevenir a síndrome da angústia respiratória aguda, pneumonia ou alguma outra manifestação pulmonar ou outra manifestação aguda da COVID-19, método para tratar, melhorar, prevenir ou reduzir o risco de desenvolver uma ou mais sequelas de longa duração relacionadas com a covid-19, anticorpo monoclonal, método para medir a quantidade de MASP-2/C1-INH em uma amostra biológica, método para determinar o risco de um indivíduo que está ou foi infectado com SARS-CoV-2 de desenvolver ARDS relacionada com a COVID-19, e, método para monitorar a eficácia de tratamento com um anticorpo inibidor de MASP-2. São descritas composições, kits e métodos para determinar a concentração de complexo de MASP-2/C1-INH na fase de fluido em um fluido biológico, tal como um fluido biológico obtido a partir de um indivíduo infectado com SARS-CoV-2. Também são descritos métodos para usar as ditas composições, métodos e kits para a detecção de complexo de MASP-2/C1-INH para determinar a situação de ativação do caminho da lectina em um indivíduo mamífero e deste modo avaliar o risco de um indivíduo que está ou foi infectado com SARS-CoV-2 de desenvolver ARDS relacionada com a COVID-19 ou outro resultado insuficiente ou determinar a necessidade quanto a tratamento ou a eficácia de tratamento de um indivíduo em necessidade do mesmo com um inibidor de complemento tal como um agente inibidor de MASP-2. O pedido de patente está pendente de decisão, aguardando o início do exame técnico no INPI.
O pedido de patente de invenção n° BR 11 2023 014569 4 da empresa japonesa NATIONAL UNIVERSITY CORPORATION HOKKAIDO UNIVERSITY foi publicado em 01 de agosto de 2023. O pedido de patente refere-se a um agente antiviral. O pedido de patente está pendente de decisão, aguardando o início do exame técnico no INPI
O pedido de patente de invenção n° BR 11 2023 009687 1 da empresa americana ENANTA PHARMACEUTICALS, INC. foi publicado em 01 de agosto de 2023. O pedido de patente refere-se a compostos da Fórmula (I), e sais farmaceuticamente aceitáveis do mesmos que inibem a atividade de replicação do coronavírus. A invenção se refere adicionalmente a composições farmacêuticas que compreendem um composto da Fórmula (I) ou um sal farmaceuticamente aceitável do mesmo, e a métodos de tratamento ou prevenção de uma infecção por coronavírus em um sujeito com necessidade dos mesmos, compreendendo administrar no sujeito uma quantidade terapeuticamente efetiva de um composto da Fórmula (I) ou um sal farmaceuticamente aceitável do mesmo. O pedido de patente está pendente de decisão, aguardando o início do exame técnico no INPI.
O pedido de patente de invenção n° BR 11 2023 010207 3 da empresa israelense PHOXBIO LIMITED foi publicado em 01 de agosto de 2023. O pedido de patente refere-se a uma composição compreendendo um ou mais dentre óleo de cravo, óleo de eucalipto, óleo de manjericão, óleo de gengibre, um extrato ou componente ou combinação dos mesmos e composição tampão tendo pH de 6,7 a 7,9, uma temperatura de 37°C, tanto para tratamento, tratamento profilático ou melhoria de infecção viral, redução de replicação viral em sujeito exposto a um vírus no ar capaz de causar infecção transportada pelo ar. Trata-se de composição aquosa compreendendo um tampão e óleo essencial com atividade antiviral, antibacteriana ou antifúngica ou um tampão, íons de carbonato de hidrogênio e íons de zinco; ou um tampão, íons de carbonato de hidrogênio e transferrina e/ou íons de ferro. Trata-se de métodos de preparação das composições e concentrados das composições. As composições sendo usadas em método de tratamento, tratamento profilático ou melhora de uma infecção viral transmitida pelo ar e um método para reduzir replicação viral em um sujeito infectado ou exposto a um vírus transmitido pelo ar que causa infecção viral transmitida pelo ar no sujeito. Os vírus transmitidos pelo ar incluem vírus de RNA, como coronavírus, como MERS-CoV, SARS-CoV e SARS-CoV-2. O pedido de patente está pendente de decisão, aguardando o início do exame técnico no INPI.
O pedido de patente de invenção n° BR11 2023 013035 2 da empresa luxemburguesa ARCELORMITTAL foi publicado em 25 de julho de 2023. O pedido de patente refere-se a uma formulação antiviral, material de filtragem antiviral, métodos de preparo de uma formulação antiviral e de preparo de um material de filtragem antiviral e máscara facial antiviral. Um primeiro objeto da presente invenção consiste em uma formulação antiviral compreendendo partículas de cobre metálico na forma não oxidada e com diâmetro médio de partícula inferior ou igual a 200 nm, óxido de grafeno ou óxido de grafeno reduzido e um material de matriz de ligação. Um segundo objeto da invenção consiste em um material de filtragem antiviral compreendendo uma camada de tecido e pelo menos uma camada de revestimento antiviral compreendendo partículas de cobre metálico na forma não oxidada e com diâmetro médio de partícula inferior ou igual a 200 nm, óxido de grafeno ou óxido de grafeno reduzido e uma matriz de ligação na qual as partículas de cobre metálico e óxido de grafeno ou óxido de grafeno reduzido são ancoradas. A invenção também se refere a métodos de preparação da formulação antiviral e do material de filtragem antiviral. Finalmente, a invenção consiste em uma máscara facial antiviral composta por uma camada de tecido revestido com a formulação antiviral. O pedido de patente está pendente de decisão, aguardando o início do exame técnico no INPI.
O pedido de patente de invenção n° BR 11 2023 009053 9 da empresa italiana DRUG DISCOVERY AND CLINIC S.R.L. foi publicado em 25 de julho de 2023. O pedido de patente refere-se a composto e composição farmacêutica para uso na inibição da replicação de vírus. A invenção se refere a inibidores de hDHODH, em particular derivados de 2-hidroxipirazolo[1,5-a]piridina, para uso como agentes antivirais. Os inibidores de hDHODH para uso de acordo com a invenção são eficazes como inibidores da replicação de um amplo espectro de vírus de DNA e RNA, incluindo, por exemplo, Vírus Herpes simplex 1 (HSV-1), Vírus Herpes simplex 2 (HSV-2) , vírus Influenza A, vírus Influenza B, vírus sincicial respiratório (RSV), coronavírus da síndrome respiratória aguda grave 1 (SARS-CoV-1), coronavírus da síndrome respiratória aguda grave 2 (SARS-CoV-2) e coronavírus relacionado à síndrome respiratória do Oriente Médio (MERS-CoV). O pedido de patente está pendente de decisão, aguardando o início do exame técnico no INPI.
O pedido de patente de invenção n° BR 11 2022 006703 8 da empresa americana SYNTHORX, INC. foi publicado em 12 de julho de 2023. O pedido de patente refere-se a conjugados de interleucina 10 (IL-10) e usos no tratamento de uma ou mais indicações. Também são descritos neste documento composições farmacêuticas e kits compreendendo um ou mais dos conjugados de IL-10. O pedido de patente está pendente de decisão, aguardando o início do exame técnico no INPI.
O pedido de patente de invenção n° BR 11 2023 012158 2 da empresa cubana CENTRO DE INGENIERIA GENETICA Y BIOTECNOLOGIA foi publicado em 11 de julho de 2023. O pedido de patente refere-se a peptídeos que possuem uma sequência de aminoácidos selecionada entre o grupo composto pela SEQ ID Nº: 2 a SEQ ID Nº: 20, e às composições farmacêuticas que compreendem tais peptídeos. A composição farmacêutica para o tratamento ou prevenção de infecções causadas por vírus que infectam as células epiteliais do sistema respiratório de mamíferos compreende um peptídeo que apresenta uma sequência de aminoácidos identificada como SEQ ID Nº: 1. A invenção contempla o uso de peptídeos que apresentam uma sequência de aminoácidos identificada como SEQ ID Nº: 1 a SEQ ID Nº: 20 para a fabricação de um medicamento destinado ao tratamento ou prevenção de infecções causadas por vírus que infectam as células epiteliais do sistema respiratório dos mamíferos. A invenção revela ainda uma combinação de pelo menos um peptídeo da sequência de aminoácidos identificada como SEQ ID Nº: 1 a SEQ ID Nº: 20 com um medicamento antiviral. O pedido de patente está pendente de decisão, aguardando o início do exame técnico no INPI.
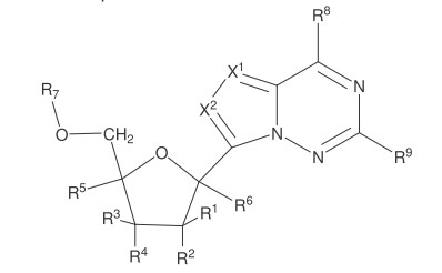
O pedido de patente de invenção n° BR 11 2023 011936 7 da empresa inglesa HEPTARES THERAPEUTICS LIMITED foi publicado em 11 de julho de 2023. O pedido de patente refere-se aos compostos da Fórmula (1'): ou seus sais, em que A, Q, X, Z, L, R2, R3 e R9 são definidos no presente documento e seu uso no tratamento de SARS-CoV-2 e vírus correlatos e transtornos associados à Mpro do SARS-CoV-2. O pedido de patente está pendente de decisão, aguardando o início do exame técnico no INPI.
O pedido de patente de invenção n° BR 11 2023 007903 9 da empresa inglesa KYMAB LIMITED foi publicado em 04 de julho de 2023. O pedido de patente refere-se a anticorpos que são específicos para SARS-CoV-2, A presente invenção também fornece métodos de tratamento, usos, composições farmacêuticas e kits que compreendem os anticorpos. O pedido de patente está pendente de decisão, aguardando o início do exame técnico no INPI.
O pedido de patente de invenção n° BR 11 2023 011100 5 da empresa mexicana CENTRO DE RETINA MÉDICA Y QUIRÚRGICA, S.C. foi publicado em 04 de julho de 2023. O pedido de patente refere-se a uma formulação utilizada para esterilização, transformação e descarte final ou reciclagem de equipamentos de proteção individual expostos a sars cov-2 com ação bactericida, fungicida e virucida; e; processo para a esterilização, transformação e descarte final ou reciclagem de equipamentos de proteção individual expostos a sars cov-2 de resíduos biológicos infecciosos perigosos. Procedimento e formulação química para tratamento de resíduos hospitalares contaminados por trituração e desinfecção com ácido peracético. A invenção refere-se a uma formulação à base de ácido peracético e a um processo de aplicação contínua no local para trituração e desinfecção, com a formulação de ácido peracético, resíduos hospitalares contaminados com vírus, bactérias, etc. O pedido de patente está pendente de decisão, aguardando o início do exame técnico no INPI.
O pedido de patente de invenção n° BR11 2012 003135 0 da empresa chinesa ZHEJIANG HISUN PHARMACEUTICAL CO., LTD. foi publicado em 04 de julho de 2023. O pedido de patente refere-se a um composto, processo e método para preparar o composto, composição farmacêutica, e, uso do composto. A preparação de compostos azetidinona e o uso médico dos mesmos são providos pela presente invenção. De um modo mais particular, os compostos de azetidinona, apresentados como a fórmula (I) (I) em que R1, R2, R3, R4, R5, e R6 são definidos na descrição, e os métodos de preparação dos mesmos, são providos pela presente invenção. Os compostos da presente invenção podem reduzir os níveis de colesterol total (CT) e de colesterol de lipoproteína de baixa densidade (LDL-C) no plasma, e podem ser usados como medicamentos para reduzir o colesterol no sangue. Deste modo, os compostos da presente invenção podem ser usados para tratar ou para prevenir doenças de ateroesclerose, cacergasia dos vasos sanguíneos, falha cardíaca, doença arterial coronariana, angiocardiopatia, doença do miocárdio, angina, hiperlipoidemia e hipercolesterolesteremia e as similares. O método de preparação dos compostos da fórmula (I) e os compostos interrnediários são também providos pela presente invenção. O pedido de patente está pendente de decisão, aguardando o início do exame técnico no INPI.
O pedido de patente de invenção n° BR 11 2023 009950 1 da empresa americana REVERSPAH LLC foi publicado em 27 de junho de 2023. O pedido de patente refere-se a um método de tratamento de COPD, Asma, Pneumonia, Bronquite, Fibrose Cística, Edema Pulmonar, Doença Pulmonar Intersticial, Sarcoidose, Fibrose Pulmonar Idiopática e PAH em um paciente. Uma modalidade inclui a administração de um análogo vasodilatador da prostaciclina, tal como, Beraprost ou Iloprost, separadamente ou em conjunto com uma forma de Dietilcarbamazina ou Zileuton. Outras modalidades podem incluir fluvoxamina. O análogo vasodilatador da pros-taciclina é inalado. Dietilcarbamazina/Zileuton é inalado no pulmão ou administrado por via oral ou intravenosa. Outras modalidades incluem fluvoxamina. Este tratamento reduz a progressão da doença, reduz as exacerbações com risco de vida e melhora a qualidade de vida. O tratamento também é para pacientes com COPD com eosinofilia que são tratados de forma incompleta com esteroides e aborda os componen-tes da doença que não respondem aos esteroides da COPD, incluindo hipertensão pulmonar e inflamação intravascular e bronquiectasia. O tratamento pode incluir um inibidor de PDE4 e tratamentos atuais com esteroides existentes e agonistas de receptores beta-adrenérgicos e/ou bloqueadores de receptores muscarínicos. O tratamento também é para ARDS e COVID-19. O pedido de patente está pendente de decisão, aguardando o início do exame técnico no INPI.
O pedido de patente de invenção n° BR 11 2023 006871 1 das empresas americana THE TRUSTEES OF COLUMBIA UNIVERSITY IN THE CITY OF NEW YORK , francesa INSERM e holandesa ERASMUS UNIVERSITY MEDICAL CENTER foi publicado em 27 de junho de 2023. O pedido de patente refere-se a inibidores da fusão de lipopeptídeos como antivirais de sars-COV-2. É descrita na presente invenção uma composição e método para prevenir COVID-19 com terapia antiviral de fusão de lipídio-peptídeo. O pedido de patente está pendente de decisão, aguardando o início do exame técnico no INPI.
O pedido de patente de invenção n° BR 112023001536-7 da empresa americana CAS PROPERTIES, LLC foi publicado em 27 de junho de 2023. O pedido de patente refere-se a composições de nobiletina e métodos para o tratamento e a prevenção em um sujeito infectado com síndrome respiratória aguda grave coronavírus 2 (SARS-CoV-2) e patologias relacionadas. Os métodos podem incluir, dentre outras modalidades, administrar ao sujeito uma quantidade terapeuticamente eficaz de uma composição ou formulação compreendendo nobiletina ou sal, solvato ou pródroga da mesma. O pedido de patente está pendente de decisão, aguardando o início do exame técnico no INPI.
O pedido de patente de invenção n° BR 112023001536-7 da empresa americana CAS PROPERTIES, LLC foi publicado em 27 de junho de 2023. O pedido de patente refere-se a composições de nobiletina e métodos para o tratamento e a prevenção em um sujeito infectado com síndrome respiratória aguda grave coronavírus 2 (SARS-CoV-2) e patologias relacionadas. Os métodos podem incluir, dentre outras modalidades, administrar ao sujeito uma quantidade terapeuticamente eficaz de uma composição ou formulação compreendendo nobiletina ou sal, solvato ou pródroga da mesma. O pedido de patente está pendente de decisão, aguardando o início do exame técnico no INPI.
O pedido de patente de invenção n° BR 10 2021 024697 9 da empresa brasileira UNIVERSIDADE ESTADUAL DE CAMPINAS - UNICAMP foi publicado em 20 de junho 2023. O pedido de patente refere-se a a um processo de obtenção de composição com atividade virucida, composição com atividade virucida e uso para inativação de vírus em superfícies, incluindo o SARS-COV-2. A composição virucida e bactericida possui aplicação em ambientes com grande circulação de pessoas e microorganismos, como hospitais,escolas, transporte público, empresas, restaurantes, elevadores, entre outras, pode ser aplicada de forma convencional de pintura nas superfícies desejadas. O pedido de patente está pendente de decisão, aguardando o início do exame técnico no INPI.
O pedido de patente de invenção n° BR 10 2021 024697 9 da empresa brasileira UNIVERSIDADE ESTADUAL DE CAMPINAS - UNICAMP foi publicado em 20 de junho de 2023. O pedido de patente refere-se a um processo de obtenção de composição com atividade virucida, composição com atividade virucida e uso para inativação de vírus em superfícies, incluindo o SARS-COV-2. A composição virucida e bactericida possui aplicação em ambientes com grande circulação de pessoas e microorganismos, como hospitais,escolas, transporte público, empresas, restaurantes, elevadores, entre outras, pode ser aplicada de forma convencional de pintura nas superfícies desejadas. O pedido de patente está pendente de decisão, aguardando o início do exame técnico no INPI.
O pedido de patente de invenção n° BR 11 2023 008404 0 da empresa alemã ETHRIS GMBH foi publicado em 20 de junho de 2023. O pedido de patente refere-se ao uso de uma composição farmacêutica compreendendo um rnam que codifica polipeptídeo de IFN-Lambda, molécula de DNA, molécula de MRNA, MRNA, e, composição farmacêutica. A presente invenção se refere a composições farmacêuticas compreendendo um RNAm que codifica um polipeptídeo IFN-Lambda para uso no tratamento de um distúrbio induzido por vírus, preferivelmente um distúrbio respiratório induzido por vírus, tal como COVID-19. O pedido de patente está pendente de decisão, aguardando o início do exame técnico no INPI.
O pedido de patente de invenção n° BR 11 2023 004817 6 da empresa francesa MELETIOS THERAPEUTICS foi publicado em 20 de junho de 2023. O pedido de patente refere-se a um composto de fórmula (I): [Fórmula I] ou um sal, éster, hidrato, derivado, profármaco ou metabólito farmaceuticamente aceitável do mesmo para uso na prevenção ou tratamento de uma infecção por um vírus em um indivíduo. O pedido de patente está pendente de decisão, aguardando o início do exame técnico no INPI.
O pedido de patente de invenção n° BR 11 2023 007766 4 das empresas japonesas SHIONOGI & CO., LTD. e UBE CORPORATION foi publicado em 13 de junho de 2023. O pedido de patente refere-se a a um composto ou um sal farmaceuticamente aceitável do mesmo tendo uma atividade antiviral e representado pela fórmula (I); e uma composição farmacêutica contendo o mesmo. (Na fórmula, as linhas pontilhadas indicam a presença ou ausência de ligação. R1 é um carbóxi ou similar; L é uma carbociclodiila não aromática substituída ou não substituída ou similar; R2 é uma alquila substituída ou não substituída; R3 é um átomo de hidrogênio ou similar; X é =CRX- ou =N-; Y é =CRY- ou =N-; U é -CRU= ou -N=; V é =CRV= ou -N=; W é =CRW- ou =N-; ZA é -C= ou -N-; ZB é -CR5R6- ou similar; ZC é -CR7R8- ou similar; RX, RY, RV e RW são, cada um, independentemente, um átomo de hidrogênio ou similar; RU é um átomo de hidrogênio ou similar; R5 e R6 são, cada um, independentemente, um átomo de hidrogênio ou similar; R7 e R8 são, cada um, independentemente, um átomo de hidrogênio ou similar; R4 é alquilóxi substituído ou não substituído ou similar). O pedido de patente está pendente de decisão, aguardando o início do exame técnico no INPI.
O pedido de patente de invenção n° BR 10 2021 023368 0 das empresas brasileiras UNIVERSIDADE FEDERAL DO MARANHÃO e UNIVERSIDADE FEDERAL DO PARÁ foi publicado em 06 de junho de 2023. O pedido de patente refere-se a obtenção de uma nova fase triclínica da Azitromicina (AZM). Este fármaco empregado mundialmente possui uma ótima estabilidade em meio ácido, maior biodisponibilidade, tempo de meia-vida e concentração intracelular. Sua ação antibiótica inclui infecções pulmonares como aquela ocasionada pela COVID-19 decorrente da síndrome respiratória aguda severa causada pelo coronavírus 2 (SARS-Cov-2). Este produto é caracterizado como uma fase polimórfica inédita da AZM. Esta fase pode ser obtida por meio do método de recristalização usando variação de temperatura sem o uso de solventes orgânicos, a qual foi adquirida por um aquecimento a partir da temperatura ambiente até 395 K, na qual a fase triclínica foi alcançada. Os resultados obtidos via Difração de Raios X confirmaram a obtenção dessa fase polimórfica e aplicando o método de refinamento (Le Bail), foi determinado os parâmetros de rede da fase cristalina que foram: a= 18,166(4) Å; b= 21,067(3) Å; c= 14,532(3) Å; a= 93,66o; ß= 90,75º; y 110,63o; e Volume= 5190,924(2) ų; por tanto, o grupo espacial do cristal é P1 pertencente à simetria triclínica. O pedido de patente está pendente de decisão, aguardando o início do exame técnico no INPI.
O pedido de patente de invenção n° BR 11 2023 008030 4 da empresa americana REGENERON PHARMACEUTICALS, INC. foi publicado em 06 de junho de 2023. O pedido de patente refere-se a a métodos para caracterizar impurezas de DNA em amostras de vírus adenoassociados (AAV) ou biofarmacêuticos, incluindo o uso de cromatografia de exclusão de tamanho e espectrofotometria. Métodos e composições também são fornecidos para minimizar o vazamento de DNA empacotado do vetor de AAV, incluindo o uso de excipientes, como um açúcar, um aminoácido, um tensoativo ou polióis. O pedido de patente está pendente de decisão, aguardando o início do exame técnico no INPI.
O pedido de patente de invenção n° BR13 2022 007785 0 da empresa brasileira MAGIC SCIENCE COSMETICA AVANÇADA LTDA foi publicado em 30 de maio de 2023. O pedido de patente refere-se a uma formulação tópica para tratamento e prevenção da queda de cabelos por eflúvio telógeno, preferencialmente aquela causada pela infecção por COVID-19. A formulação compreende café solúvel adicionado a bases cosméticas, o que permite a fácil dispersão da formulação e remoção de sujidades e células mortas, facilitando a absorção, principalmente da cafeína, e de outros possíveis princípios ativos pelo couro cabeludo, através da via folicular. O pedido de patente está pendente de decisão, aguardando o início do exame técnico no INPI.
O pedido de patente de invenção n° BR 11 2023 005023 5 da empresa americana EXITHERA PHARMACEUTICALS, INC. foi publicado em 30 de maio de 2023. O pedido de patente refere-se a métodos para tratar um indivíduo que tem uma infecção respiratória viral, compreendendo administrar, ao indivíduo, uma quantidade terapeuticamente eficaz de um composto de fórmula (I): ou um sal farmaceuticamente aceitável do mesmo. O pedido de patente está pendente de decisão, aguardando o início do exame técnico no INPI.
O pedido de patente de invenção n° BR 11 2023 004644 0 da empresa inglesa THE ROSALIND FRANKLIN INSTITUTE foi publicado em 23 de maio de 2023. O pedido de patente refere-se a anticorpos de domínio único aprimorados que visam SARS-CoV-2, polipeptídeos multivalentes e proteínas de fusão compreendendo os anticorpos de domínio único. A presente invenção também fornece moléculas de ligação ao coronavírus que se ligam a dois epítopos diferentes no domínio de ligação ao receptor de uma proteína spike de coronavírus. As moléculas de ligação ao coronavírus são baseadas na união de duas moléculas de ligação ao antígeno utilizando um ligante. A presente invenção fornece o uso dos referidos anticorpos de domínio único, polipeptídeos multivalentes, proteínas de fusão e moléculas de ligação ao coronavírus no tratamento e/ou prevenção do coronavírus, bem como o uso dos referidos anticorpos de domínio único, polipeptídeos multivalentes, proteínas de fusão e moléculas de ligação ao coronavírus na detecção e diagnóstico de coronavírus usando vários métodos, ensaios e kits. O pedido de patente está pendente de decisão, aguardando o início do exame técnico no INPI.
O pedido de patente de invenção n° BR 11 2023 004676 9 da empresa americana AVICEDA THERAPEUTICS, INC foi publicado em 23 de maio de 2023. O pedido de patente refere-se a métodos e composições para modular a atividade de receptores de reconhecimento de padrão molecular auto-associados, como por exemplo, Siglec (lectinas do tipo imunoglobulina de ligação a ácido siálico) e fator H do complemento (CFH). Modulando a atividade de organismos infecciosos, como influenza viral A, B, C, SARS-CoV1, 2 e células cancerígenas/tumorais, como câncer de pulmão, mama e pele. As composições compreendem uma partícula, compreendendo uma molécula representada pela seguinte fórmula estrutural:P-L-G, em que P é uma estrutura de polímero biocompatível compreendendo pelo menos um polímero biocompatível definido neste documento, G é um ácido polissiálico (PSA) compreendendo a partir de 5 a 200 unidades repetidas de ácido siálico; e L é um ligante covalente, ou um sal farmaceuticamente aceitável do mesmo. O pedido de patente está pendente de decisão, aguardando o início do exame técnico no INPI.
O pedido de patente de invenção n° BR 10 2021 021924 6 da empresa brasileira UNIVERSIDADE FEDERAL DE MINAS GERAIS foi publicado em 23 de maio de 2023. O pedido de patente refere-se ao uso de naftoquinonas em medicamentos para tratar covid-19, composições farmacêuticas e uso. a presente tecnologia trata do uso de onze moléculas da classe nas naftoquinonas em medicamentos para tratamento da doença COVID-19, causada pelo vírus SARS-CoV-2, e de composições farmacêuticas contendo essas moléculas. As naftoquinonas foram selecionadas a partir de uma triagem virtual de uma quimioteca de naftoquinonas, por meio da técnica de docking molecular, seguida de testes in vitro. Das onze naftoquinonas da presente tecnologia, quatro foram caracterizadas como inibidoras da protease Mpro e oito foram identificadas como inibidoras da enzima PLpro. Nos testes in vitro, empregando-se pelo menos sete concentrações dos compostos, entre 9,7 nM e 100 µM, as moléculas apresentaram capacidade de inibir a atividade dessas enzimas e demonstraram faixa de IC50 entre 66 µM e 0,41 µM. O pedido de patente está pendente de decisão, aguardando o início do exame técnico no INPI.
O pedido de patente de invenção n° BR 11 2023 006944 0 da empresa americana PREVAIL THERAPEUTICS, INC. foi publicado em 23 de maio de 2023. O pedido de patente refere-se a composições compreendendo vírus adenoassociados recombinantes (rAAV), bem como sistemas de baculovírus recombinantes e métodos de uso dos mesmos para produzir e purificar essas composições. Também são divulgados neste documento ensaios para testar a titulação e a potência dessas composições. O pedido de patente está pendente de decisão, aguardando o início do exame técnico no INPI.
O pedido de patente de invenção n° BR 11 2023 003078 1 da empresa americana VITRUVIAE LLC foi publicado em 23 de maio de 2023. O pedido de patente refere-se a inter alia, ao uso de terapia direcionada de fosfotidilserina ou açúcar patogênico para o gerenciamento e tratamento de infecções microbianas, incluindo Zika, Dengue, Nilo Ocidental, Ebola, H1N1, Enterovírus, Leishmaniose, Malária e Coronavírus SARS-COV. Em um aspecto, a invenção está relacionada a um construto de fusão compreendendo um domínio Ig-Fc ou outro arcabouço de proteína, tal como albumina, e um peptídeo, proteína ou fragmento de anticorpo que se liga a fosfatidilserina e/ou um peptídeo ou proteína que se liga a e/ou reconhece um PAMP expresso por um micróbio. Outros aspectos são descritos. O pedido de patente está pendente de decisão, aguardando o início do exame técnico no INPI.
O pedido de patente de invenção n° BR 11 2023 002233 9 da empresa americana SEN-JAM PHARMACEUTICAL LLC foi publicado em 16 de maio de 2023. O pedido de patente refere-se a a métodos e composições para tratar ou prevenir uma infecção por beta-coronavírus, ou para inibir sintomas de uma doença causada por uma infecção por beta coronavírus em um sujeito, incluindo SARS-CoV-2 e COVID-19. Em várias modalidades, a composição e os métodos envolvem uma combinação de uma droga anti-inflamatória não esteroide (NSAID) e cetotifeno. Em modalidades exemplares, naproxeno e/ou indometacina são combinados com cetotifeno para terapia em uma dose unitária única ou composições separadas, e a combinação é surpreendentemente e inesperadamente eficaz para reduzir a carga viral de SARS-CoV-2 e tratar COVID-19. O pedido de patente está pendente de decisão, aguardando o início do exame técnico no INPI.
O pedido de patente de invenção n° BR 11 2023 002233 9 da empresa americana SEN-JAM PHARMACEUTICAL LLC foi publicado em 16 de maio de 2023. O pedido de patente refere-se a a métodos e composições para tratar ou prevenir uma infecção por beta-coronavírus, ou para inibir sintomas de uma doença causada por uma infecção por beta coronavírus em um sujeito, incluindo SARS-CoV-2 e COVID-19. Em várias modalidades, a composição e os métodos envolvem uma combinação de uma droga anti-inflamatória não esteroide (NSAID) e cetotifeno. Em modalidades exemplares, naproxeno e/ou indometacina são combinados com cetotifeno para terapia em uma dose unitária única ou composições separadas, e a combinação é surpreendentemente e inesperadamente eficaz para reduzir a carga viral de SARS-CoV-2 e tratar COVID-19. O pedido de patente está pendente de decisão, aguardando o início do exame técnico no INPI.
O pedido de patente de invenção n° BR 11 2022 023587 9 da empresa americana FLAGSHIP PIONEERING INNOVATIONS VI, LLC foi publicado em 16 de maio de 2023. O pedido de patente refere-se a composições de antígeno de coronavírus e seus usos. A revelação fornece composições e métodos que compreendem polirribonucleotídeos circulares que compreendem uma sequência que codifica um antígeno de coronavírus e composições e métodos que compreendem polirribonucleotídeos lineares que compreendem uma sequência que codifica um antígeno de coronavírus. São fornecidos composições e métodos que estão relacionados à geração de anticorpos policlonais, por exemplo, com o uso dos polirribonucleotídeos circulares revelados ou dos polirribonucleotídeos lineares revelados. O pedido de patente está pendente de decisão, aguardando o início do exame técnico no INPI.
O pedido de patente de invenção n° BR 11 2023 003639 9 da empresa americana SAYVAA PHARMACEUTICALS INC. foi publicado em 16 de maio de 2023. O pedido de patente refere-se a composição farmacêutica, uso da composição farmacêutica, cápsula, solução oral e solução injetável. A composição farmacêutica pode ser utilizada para o tratamento eficaz de infeções virais em humanos e outras espécies animais causadas por vírus, em particular, vírus de RNA e pode ser administrada oral ou parenteralmente.O pedido de patente está pendente de decisão, aguardando o início do exame técnico no INPI.
O pedido de patente de invenção n° BR 11 2023 004197 0 das empresas italianas CONSIGLIO NAZIONALE DELLE RICERCHE e PLUMESTARS S.R.L. foi publicado em 09 de maio de 2023. O pedido de patente refere-se a uma composição em pó para uso por inalação compreendendo uma pluralidade de micropartículas compreendendo pelo menos um carreador solúvel em água farmaceuticamente aceitável que incorporam pelo menos uma nanopartícula de fosfato de cálcio para a distribuição de compostos terapêuticos / diagnósticos. O pedido de patente está pendente de decisão, aguardando o início do exame técnico no INPI.
O pedido de patente de invenção n° BR 11 2023 005434 6 da empresa inglesa IP2IPO INNOVATIONS LIMITED foi publicado em 09 de maio de 2023. O pedido de patente refere-se a anticorpo ou fragmento de ligação ao antígeno ou ao anticorpo, composição farmacêutica, sequência de polinucleotídeo, cassete de expressão, vetor recombinante, célula hospedeira, métodos para preparar o anticorpo ou fragmento de ligação ao antígeno e para diagnosticar ou prognosticar uma condição relacionada à hipóxia em um sujeito, kit para diagnosticar um sujeito que sofre de uma condição relacionada à hipóxia ou para prover um prognóstico da condição do sujeito, e, uso. A invenção se refere a anticorpos ZIP12. A invenção se estende a composições compreendendo os anticorpos, incluindo composições farmacêuticas e kits. A invenção também se estende a métodos de produção e uso de anticorpos, por exemplo, em terapia e diagnóstico de doenças relacionadas à hipóxia, tais como hipertensão pulmonar e câncer. O pedido de patente está pendente de decisão, aguardando o início do exame técnico no INPI.
O pedido de patente de invenção n° BR 11 2023 002675 0 da empresa americana MATTHIAS W. RATH foi publicado em 02 de maio de 2023. O pedido de patente refere-se a combinação de micronutrientes para inibir a infecção celular pelo coronavírus. A forma como o vírus SARS-CoV-2 infecta a célula é um processo complexo e compreende quatro etapas principais: ligação ao receptor cognato, entrada celular, replicação e saída celular. Ter como alvo a ligação do vírus ao receptor do hospedeiro para impedir a sua entrada, tem sido de interesse específico. Foram testados 56 polifenóis, incluindo extratos vegetais, a brasilina, a teaflavina 3,3'-digalato e a curcumina apresentaram a maior ligação ao domínio de ligação ao receptor da proteína spike, inibindo a ligação viral ao receptor da enzima conversora de angiotensina humana 2 e, portanto, a entrada celular de vírions de SARS-CoV-2 pseudotipados. Tanto a teaflavina 3,3'-digalato a 25 µg/mL quanto a curcumina acima de 10 µg/mL de concentração, mostraram ligação ao receptor da enzima conversora de angiotensina 2 reduzindo, ao mesmo tempo, sua atividade em ensaios isentos de células e baseados em células. O presente estudo demonstra, também, que a brasilina, a teaflavina-3,3'-digalato e a curcumina, diminuem a atividade da serina protease 2 transmembrana, tanto em ensaios isentos de células quanto em ensaios baseados em células, e aumentam moderadamente o pH endossomal/lisossomal. O pedido de patente está pendente de decisão, aguardando o início do exame técnico no INPI.
O pedido de patente de invenção n° BR 11 2023 003457 4 da empresa americana ROMARK LABORATORIES L.C foi publicado em 02 de maio de 2023. O pedido de patente refere-se a uso de tiazolidas contra coronavírus. É revelado o uso de tiazolidas, tais como nitazoxanida e/ou tizoxanida, contra vírus pertencendo à família Coronaviridae, tal como vírus pertencendo à subfamília Orthocoronavirinae. O pedido de patente está pendente de decisão, aguardando o início do exame técnico no INPI.
O pedido de patente de invenção n° BR 11 2023 002515 0 da empresa americana REVERSPAH LLC foi publicado em 02 de maio de 2023. O pedido de patente refere-se a um método de tratamento de um Vírus Corona, por exemplo, COVID 19, Influenza e ARDS. Um quelante de cobre, incluindo um sal de tetratiomolibdato, é administrado com um inibidor da enzima 5-lipoxigenase, p. ex. Dietilcarbamazina ou Zileuton. Baicalin, Bufalin, Quercetina, Curcumina, inibidores de NF-kappaB, o Applied Therapeutics Aldose Reductase inhibitor AT -001, Sulforafano ou Fluvoxamine podem ser fármacos adicionais. Este é um tratamento de intervenção de um Vírus Corona, por exemploA COVID 19, idealmente na segunda fase da doença, na fase pulmonar, de preferência antes da fase de Hiper-Inflamação, como terapia preventiva, para reduzir a necessidade de um ventilador e aumentar a sobrevivência de pacientes hospitalizados. A combinação de dois fármacos trata da prevenção de ARDS e de outros danos nos órgãos causados pela infecção do COVID 19 visando o direcionamento do componente de doença intravascular. Os tetratiomolibdato em formas orais e intravenosas combinadas com os outros fármacos em formas intravenosas ou inaladas são concebidos para tratar formas avançadas destas doenças. O pedido de patente está pendente de decisão, aguardando o início do exame técnico no INPI.
O pedido de patente de invenção n° BR 112022024806-7 da empresa americana APTINYX INC. foi publicado em 02 de maio de 2023. O pedido de patente refere-se a compostos de espirolactama, e seus sais farmaceuticamente aceitáveis destes que podem melhorar ou tratar uma infecção viral em um indivíduo necessitado. A revelação também inclui conjugados desses compostos de inibidores de protease viral com a cisteína na posição ou uma cisteína de sítio ativo equivalente na protease principal do coronavírus (Mpro). O pedido de patente está pendente de decisão, aguardando o início do exame técnico no INPI.
O pedido de patente de invenção n° BR 112022022635-7 da empresa alemã AICURIS GMBH & CO. KG foi publicado em 02 de maio de 2023. O pedido de patente refere-se ao tratamento de infeções por coronavírus e à preparação de indivíduos para uma tal infeção por administração de um parapoxvírus. Este tratamento é para ajudar o sistema imunitário no combate ao vírus e para, desse modo, prevenir e amenizar os sintomas da doença de coronavírus. O pedido de patente está pendente de decisão, aguardando o início do exame técnico no INPI.
O pedido de patente de invenção n° BR 11 2022 024296-4 da empresa americana AMGEN INC. foi publicado em 25 de abril de 2023. O pedido de patente refere-se a formulações de anticorpos e métodos de preparação e uso de tais formulações. A formulação pode ser para administração intravenosa. Em algumas modalidades, a formulação é para administração subcutânea. Em algumas modalidades, a formulação compreende um anticorpo anti-C5, tal como eculizumab. O pedido de patente está pendente de decisão, aguardando o início do exame técnico no INPI.
O pedido de patente de invenção n° BR 11 2023 001547 2 da empresa austríaca DELTA 4 GMBH foi publicado em 11 de abril de 2023. O pedido de patente refere-se a uma composição farmacêutica que compreende liraglutida, gefitinib ou um de seus sais, solvatos ou combinações, em quantidade eficaz para uso em tratamento profilático ou terapêutico de uma condição de doença, que é causada por uma infecção por coronavírus ou a ela associada. O pedido de patente está pendente de decisão, aguardando o início do exame técnico no INPI.
O pedido de patente de invenção n° BR 11 2022 021528 2 das empresas americanas THE TRUSTEES OF COLUMBIA UNIVERSITY IN THE CITY OF NEW YORK e WISCONSIN ALUMNI RESEARCH FOUNDATION (WARF) foi publicado em 04 de abril de 2023. O pedido de patente refere-se a inibidores de fusão de lipídeo-peptídeo como antivirais de sars-cov-2. São descritos nesse documento uma composição e método de tratamento de COVID-19 com terapia antiviral de fusão de lipídeo-peptídeo. Também são descritos uma composição e um método de tratamento do Ebola com terapia antiviral de fusão de lipídeo- peptídeo. O pedido de patente está pendente de decisão, aguardando o início do exame técnico no INPI.
O pedido de patente de invenção n° BR 11 2023 001096 9 da empresa holandesa LEYDEN LABORATORIES B.V. foi publicado em 28 de março de 2023. O pedido de patente refere-se a métodos e composições para aumentar a imunidade contra coronavírus. A divulgação fornece métodos e composições para aumentar a imunidade contra os coronavírus, em particular, os coronavírus altamente patogênicos. São fornecidas composições compreendendo peptídeos que compreendem pelo menos uma parte do ectodomínio S2 da proteína S (spike) de pelo menos um coronavírus humano (HCoV) selecionado de HCoV- NL63, HCoV-OC43, HCoV-229E e HCoV-HKU1, bem como composições compreendendo moléculas de ácido nucleico que codificam pelo menos uma parte do ectodomínio S2 da proteína S (pico) de pelo menos um coronavírus humano (HCoV) selecionado de HCoV- NL63, HCoV-OC43, HCoV-229E e HCoV-HKU1. As composições aqui descritas são particularmente úteis como vacinas, em particular contra coronavírus altamente patogênicos, como SARS-CoV-1, MERS-CoV e/ou SARS-CoV-2, bem como transmissão entre espécies de coronavírus tipicamente não humanos. O pedido de patente está pendente de decisão, aguardando o início do exame técnico no INPI.
O pedido de patente de invenção n° BR 11 2023 001096 9 da empresa holandesa LEYDEN LABORATORIES B.V. foi publicado em 28 de março de 2023. O pedido de patente refere-se a métodos e composições para aumentar a imunidade contra os coronavírus, em particular, os coronavírus altamente patogênicos. São fornecidas composições compreendendo peptídeos que compreendem pelo menos uma parte do ectodomínio S2 da proteína S (spike) de pelo menos um coronavírus humano (HCoV) selecionado de HCoV- NL63, HCoV-OC43, HCoV-229E e HCoV-HKU1, bem como composições compreendendo moléculas de ácido nucleico que codificam pelo menos uma parte do ectodomínio S2 da proteína S (pico) de pelo menos um coronavírus humano (HCoV) selecionado de HCoV- NL63, HCoV-OC43, HCoV-229E e HCoV-HKU1. As composições aqui descritas são particularmente úteis como vacinas, em particular contra coronavírus altamente patogênicos, como SARS-CoV-1, MERS-CoV e/ou SARS-CoV-2, bem como transmissão entre espécies de coronavírus tipicamente não humanos. O pedido de patente está pendente de decisão, aguardando o início do exame técnico no INPI.
O pedido de patente de invenção n° BR 11 2023 000308 3 das empresas chinesas ACADEMY OF MILITARY MEDICAL SCIENCES e CHANGCHUN MAILING BIOLOGICAL ENGINEERING CO., LTD. foi publicado em 28 de março de 2023. O pedido de patente refere-se ao uso de taurolidina ou um derivado, um pró-fármaco, um solvato ou um sal farmaceuticamente aceitável da mesma, ou uma composição que compreende taurolidina ou um derivado, um pró-fármaco, um solvato ou um sal farmaceuticamente aceitável da mesma na preparação de um fármaco antiviral. Os resultados da pesquisa mostram que a taurolidina pode inibir significativamente o vírus influenza e os coronavírus no nível celular. Além disso, experimentos in vivo confirmam que a taurolidina tem um efeito de proteção significativo nos pulmões e pode prolongar o tempo de sobrevivência de camundongos infectados com vírus influenza ou vírus SARS-CoV-2. É indicado que a taurolidina pode ser usada para a prevenção e tratamento de uma doença pulmonar causada por vírus influenza ou coronavírus. Os resultados da pesquisa do presente pedido ampliam a faixa de eficácia da taurolidina e fornecem uma base de pesquisa e abrem uma nova direção para a pesquisa e desenvolvimento de um fármaco para prevenir ou tratar infecções pulmonares causadas por vírus. O pedido de patente está pendente de decisão, aguardando o início do exame técnico no INPI.
O pedido de patente de invenção n° BR 112022023467-8 da empresa americana THE TRUSTEES OF COLUMBIA UNIVERSITY IN THE CITY OF NEW YORK foi publicado em 28 de março de 2023. O pedido de patente refere-se a anticorpos neutralizantes potentes contra sars-cov-2, geração e usos dos mesmos. A matéria objeto descrita neste documento refere-se a anticorpos monoclonais e bioespecíficos potentes capazes de neutralizar um vírus SARS-CoV-2 e métodos de gerar os anticorpos. O pedido de patente está pendente de decisão, aguardando o início do exame técnico no INPI.
O pedido de patente de invenção n° BR 11 2023 000422 5 da empresa holandesa LEYDEN LABORATORIES B.V. foi publicado em 21 de março de 2023. O pedido de patente refere-se a métodos para identificar anticorpos de reação cruzada com coronavírus. A divulgação fornece métodos para identificar anticorpos de reação cruzada de coronavírus. Tais anticorpos se ligam a pelo menos parte do ectodomínio S2 da proteína S de pelo menos um coronavírus humano comum selecionado de HCoV-NL63, HCoV-OC43, HCoV-229E e HCoV-HKU1 e se ligam a pelo menos parte do ectodomínio S2 da proteína S de pelo menos um coronavírus humano altamente patogênico selecionado de SARS-CoV-1, MERS-CoV e SARS-CoV-2. Os anticorpos identificados pelos métodos aqui descritos são particularmente úteis para tratar ou prevenir infecções por coronavírus, em particular, contra coronavírus altamente patogênicos, como SARS-CoV-1, MERS-CoV e/ou SARS-CoV-2, bem como transmissão entre espécies de tipicamente coronavírus não humanos. O pedido de patente está pendente de decisão, aguardando o início do exame técnico no INPI.
O pedido de patente de invenção n° BR 11 2022 022599 7 da empresa americana REATA PHARMACEUTICALS HOLDINGS, LLC foi publicado em 21 de março de 2023. O pedido de patente refere-se a métodos para tratar pacientes infectados com um coronavírus. Em particular, são fornecidos métodos para tratar ou prevenir COVID-19, ou sintomas ou complicações dos mesmos, em pacientes em necessidade dos mesmos usando bardoxolona metil ou análogos do mesmo, e/ou prevenir o aparecimento da CO-VID-19 em pacientes infectados com SARS-CoV-2. O pedido de patente está pendente de decisão, aguardando o início do exame técnico no INPI.
O pedido de patente de invenção n° BR 11 2023 002573 7 da empresa americana ENANTA PHARMACEUTICALS, INC. foi publicado em 14 de março de 2023. O pedido de patente refere-se a compostos da Fórmula (I), e sais farmaceuticamente aceitáveis dos mesmos, que inibem a atividade de replicação do coronavírus. A invenção refere-se ainda a composições farmacêuticas que compreendem um composto da Fórmula (I) ou um sal farmaceuticamente aceitável do mesmo, e métodos de tratamento ou prevenção de uma infecção por coronavírus em um sujeito em necessidade, compreendendo a administração, ao sujeito, de uma quantidade terapeuticamente eficaz de um composto de Fórmula (I) ou de um sal farmaceuticamente aceitável do mesmo. O pedido de patente está pendente de decisão, aguardando o início do exame técnico no INPI.
O pedido de patente de invenção n° BR 11 2022 022146 0 da empresa americana GOLDEN BIOTECHNOLOGY CORPORATION foi publicado em 14 de março de 2023. O pedido de patente refere-se a métodos e composições para tratar ou reduzir os sintomas ou prevenir uma doença induzida por vírus de RNA por compostos de ciclo-hexenona em um indivíduo. O pedido de patente está pendente de decisão, aguardando o início do exame técnico no INPI.
O pedido de patente de invenção n° BR 11 2021 017314 5 da empresa coreana GENENCELL CO., LTD. foi publicado em 14 de março de 2023. O pedido de patente refere-se a uma composição farmacêutica para prevenir, aliviar ou tratar a infecção por coronavírus, contendo um extrato de folha de Elaeocarpus sylvestris como ingrediente ativo e uma composição alimentícia para prevenir ou aliviar a infecção por coronavírus. Uma vez que o extrato de folha de Elaeocarpus sylvestris exibe excelente atividade antiviral contra o coronavírus, que é um vírus que causa uma doença respiratória, uma doença digestiva, uma doença hepática ou cerebral em um mamífero, particularmente o vírus corona-19, pode ser eficaz utilizado em medicamentos e alimentos para prevenir, aliviar ou tratar uma doença causada por infecção por coronavírus. O pedido de patente está pendente de decisão, aguardando o início do exame técnico no INPI.
O pedido de patente de invenção n° BR10 2021 006371 8 da empresa brasileira ANGITEC PESQUISA, SERVICOS E DESENVOLVIMENTO LTDA foi publicado em 14 de março de 2023. O pedido de patente refere-se a composições farmacêuticas compreendendo o peptídeo Ang-(1-7) e/ou seus derivados e/ou seus análagos, associados ou não a carreadores e seus usos na prevenção, no tratamento de coronoviroses e da Síndrome Covid Crônica (Long Covid). O peptídeo Ang-(1-7), trata-se de uns dos peptídeos constituintes do Sistema Renina-Angiotensina(SRA), o qual é um sistema hormonal responsável por regular as funções renais e cardiovasculares, de grande importância na homeostasia da pressão arterial e no balanço hidroeletrolítico. O pedido de patente está pendente de decisão, aguardando o início do exame técnico no INPI.
O pedido de patente de invenção n° BR 112022026880-7 da empresa irlandesa PHOXBIO LIMITED foi publicado em 14 de março de 2023. O pedido de patente refere-se a uma composição tampão tendo um pH de 6,7 a 7,9 a uma temperatura de 37°C, para uso no tratamento, tratamento profilático ou melhora de uma infecção viral transmitida pelo ar, para uso em redução de replicação viral em um sujeito infectado com um vírus ou exposto a um vírus capaz de causar uma infecção viral. A composição tampão sendo um ácido aminossulfônico N-substituído. Método para preparar a composição tampão e concentrado da composição tampão são descritos. A composição tampão sendo usada em método de tratamento, tratamento profilático ou melhora de uma infecção viral e método para reduzir replicação viral transmitido ou exposto a um vírus capaz de causar uma infecção viral. Os vírus transmitidos pelo ar incluem vírus de RNA, como coronavírus, como MERS-CoV, SARS-CoV e SARS- CoV-2. A composição tampão é administrada por spray nasal, inalador ou nebulizador, creme, gel ou emulsão, portanto, trata de um spray nasal, inalador,nebulizador, creme, gel ou emulsão compreendendo a composição tampão. A composição tampão pode ser aplicada a uma máscara ou cobertura facial, reduzindo o risco de infecção viral com um vírus, portanto, se refere a um spray compreendendo a composição tampão. O pedido de patente está pendente de decisão, aguardando o início do exame técnico no INPI.
O pedido de patente de invenção n° BR 11 2023 002234 7 da empresa inglesa ASTRAZENECA UK LIMITED foi publicado em 07 de março de 2023. O pedido de patente refere-se a anticorpos e fragmentos de ligação a antígeno dos mesmos que se ligam especificamente à proteína spike de SARS-CoV-2 e métodos de uso de tais anticorpos e fragmentos de ligação a antígeno dos mesmos para a prevenção e tratamento da Doença de Coronavírus 2019 (COVID-19) em um indivíduo. O pedido de patente está pendente de decisão, aguardando o início do exame técnico no INPI.
O pedido de patente de invenção n° BR 11 2022 025193 9 da empresa chinesa TIANJIN UNIVERSITY foi publicado em 07 de março de 2023. O pedido de patente refere-se a a levedura oral recombinante conter 16-1035 aminoácidos da proteína S, e contém um domínio RBD e um peptídeo de fusão FP; uma unidade de transcrição completa GPD-S (RBD-FP)-TU de um truncamento de proteína S construído in vitro é integrada a um genoma de levedura por meio de recombinação homóloga, e a proteína S é exibida na superfície de uma célula de levedura usando um sistema de exibição de superfície Aga1-Aga2; obtendo uma cepa de levedura recombinante do tipo que exibe a superfície da proteína S ST1814G-S (RBD-FP), e a cepa obtida é usada para preparar a levedura recombinante oral. O pedido de patente está pendente de decisão, aguardando o início do exame técnico no INPI.
O pedido de patente de invenção n° BR 112022026283-3 das empresas francesas ASSISTANCE PUBLIQUE - HOPITAUX DE PARIS e UNIVERSITE PARIS CITÉ foi publicado em 07 de março de 2023. O pedido de patente refere- aos usos preventivos e terapêuticos de inibidores de esfingomielinase ácida (FIASMAs), como medicações psicotrópicas e compostos não psicotrópicos tendo atividade de FIASMA, para diminuir o risco de morte e/ou intubação em pacientes sofrendo de uma infecção viral causada por pelo menos um betacoronavírus, em particular pelo SARS-CoV-2. O pedido de patente está pendente de decisão, aguardando o início do exame técnico no INPI.
O pedido de patente de invenção n° BR 11 2022 025229 3 da empresa americana VIR BIOTECHNOLOGY, INC. foi publicado em 07 de março de 2023. O pedido de patente refere-se a métodos de tratamento ou prevenção de uma infecção por SARS-CoV-2, por exemplo, em um indivíduo que tem ou está em risco de desenvolver COVID-19, usando composições com um anticorpo (ou fragmento de ligação ao antígeno). Os métodos revelados incluem profilaxia contra infecção por SARS-CoV-2 ou transmissão do mesmo, bem como tratamento de um indivíduo com infecção por SARS-CoV-2. Uma infecção por SARS-CoV-2 (por exemplo, causando COVID-19) a ser tratada pode estar em qualquer estágio da infecção e/ou pode resultar em qualquer estágio da doença, por exemplo, leve, leve a moderado, grave ou crítico. O pedido de patente está pendente de decisão, aguardando o início do exame técnico no INPI.
O pedido de patente de invenção n° BR 11 2022 016216 2 da empresa americana AULOS BIOSCIENCE, INC foi publicado em 28 de fevereiro de 2023. O pedido de patente refere-se a anticorpos anti-IL-2 modificados com sequências de aminoácidos modificadas são descritos na presente invenção. Os anticorpos modificados confeririam especificidade de ligação ao receptor modificada a um complexo de anticorpos anti-IL-2-IL2, inibindo a ligação de IL-2 a CD25. Os anticorpos anti-IL2 modificados facilitariam a expansão de subconjuntos de células imunes efetoras e diminuiriam os efeitos indesejáveis causados por IL-2. Assim, os anticorpos anti-IL-2 modificados seriam úteis no tratamento de doenças, tais como câncer e infecção. O pedido de patente está pendente de decisão, aguardando o início do exame técnico no INPI.
O pedido de patente de invenção n° BR 11 2023 001562 6 da empresa canadense THE GOVERNORS OF THE UNIVERSITY OF ALBERTA foi publicado em 23 de fevereiro de 2023. O pedido de patente refere-se ao uso de inibidores da via wnt/beta-catenina para bloquear a replicação de SARS-COV-2 e outros vírus patogênico. Uso de inibidores da via Wnt/Beta-catenina para bloquear a replicação de SARS-CoV-2 e outros vírus patogênicos. O pedido de patente está pendente de decisão, aguardando o início do exame técnico no INPI.
O pedido de patente de invenção n° BR 11 2022 021953 9 da empresa americana ONCOUR PHARMA, INC. foi publicado em 14 de fevereiro de 2023. O pedido de patente refere-se a composições que compreendem partículas carregadas negativamente e métodos de produção e utilização das mesmas. Também são providos métodos de redução ou tratamento da Síndrome de Tempestade de Citocinas (CSS) ou Síndrome do Desconforto Respiratório Agudo (ARDS). O pedido de patente está pendente de decisão, aguardando o início do exame técnico no INPI.
O pedido de patente de invenção n° BR 11 2023 001129 9 da empresa americana HE REGENTS OF THE UNIVERSITY OF CALIFORNIA foi publicado em 14 de fevereiro de 2023. O pedido de patente refere-se a compostos, que incluem pró-fármacos antivirais, e formulações farmacêuticas que incluem os compostos, que podem ser oralmente biodisponíveis ou formulados para injeção intramuscular. Métodos para produzir compostos, tais como pró- fármacos antivirais. Métodos para tratar coronavírus e outra infecção por vírus de RNA em mamíferos. Métodos de produção de um fármaco trifosfato. O pedido de patente está pendente de decisão, aguardando o início do exame técnico no INPI.
O pedido de patente de invenção n° BR 112022016574-9 da empresa americana UNITED BIOMEDICAL, INC. foi publicado em 14 de fevereiro de 2023. O pedido de patente refere-se a um sistema de alívio para a detecção, prevenção e tratamento eficazes de COVID-19, incluindo (1) ensaios de diagnóstico sorológico para a detecção de infecção viral e vigilância epidemiológica, (2) construtos de imunógeno de peptídeo de alta precisão, direcionados para o sítio para a prevenção de infecção por SARS-CoV-2, (3) terapias antivirais baseadas em receptor para o tratamento da doença em pacientes infectados e (4) vacina de proteína projetada contendo S1-RBD-sFc. O sistema de alívio divulgado utiliza sequências de aminoácidos de proteínas SARS-CoV-2, bem como receptores humanos para o projeto e fabricação de peptídeos antigênicos de SARS-CoV-2 ideais, construtos de imunógeno de peptídeo, construtos de imunógeno de proteína derivada de CHO, proteínas ACE2 derivadas de CHO de longa ação e suas formulações, como diagnósticos, vacinas e terapias antivirais para a detecção, prevenção e tratamento de COVID-19. O pedido de patente está pendente de decisão, aguardando o início do exame técnico no INPI.
O pedido de patente de invenção n° BR 112022023746-4 do americano CARLOS ALBERTO RIVEROS foi publicado em 07 de fevereiro de 2023. O pedido de patente refere-se a um sistema, método, uso, combinação e kits farmacêuticos úteis para a administração de um determinado medicamento para reduzir a replicação viral de certos vírus durante a fase inicial de transmissão ou como profilaxia quando um alto risco de exposição a um vírus é detectado ou previsto, pela administração efetiva de uma alta concentração local do determinado medicamento enquanto minimiza a exposição sistêmica. Especificamente, refere-se a um sistema, método, uso, combinação e kits farmacêuticos de um determinado medicamento nebulizado para reduzir a replicação viral. O desenvolvimento usa inaladores ou nebulizadores para administrar pelo menos um determinado medicamento diretamente nas mucosas das vias aéreas superiores e inferiores. O pedido de patente está pendente de decisão, aguardando o início do exame técnico no INPI.
O pedido de patente de invenção n° BR 112022023187-3 da empresa americana PURDUE RESEARCH FOUNDATION foi publicado em 07 de fevereiro de 2023. O pedido de patente refere-se a inibidores de bis-amida do SARS-CoV-2 (COVID); composições farmacêuticas que os compreendem; e métodos de tratamento de uma síndrome respiratória aguda grave. O pedido de patente está pendente de decisão, aguardando o início do exame técnico no INPI.
O pedido de patente de invenção n° BR 11 2022 024149 6 da empresa americana REGENERON PHARMACEUTICALS, INC. foi publicado em 07 de fevereiro de 2023. O pedido de patente refere-se a anticorpos e fragmentos de ligação a antígeno dos mesmos que se ligam especificamente a uma proteína spike de coronavírus e a métodos de uso de tais anticorpos e fragmentos para o tratamento ou prevenção de infecções virais (por exemplo, infecções por coronavírus). O pedido de patente está pendente de decisão, aguardando o início do exame técnico no INPI.
O pedido de patente de invenção n° BR 112022021562-2 das empresas americanas THE J. DAVID GLADSTONE INSTITUTES, A TESTAMENTARY TRUST ESTABLISHED UNDER THE WILL OF J. DAVID GLADSTONE (US) eVXBIOSCIENCES, INC. foi publicado em 07 de fevereiro de 2023. O pedido de patente refere-se a composições de construtos e partículas defectivas de SARS- CoV-2 que podem interferir ou bloquear a infecção de células não infectadas e métodos para gerar tais construtos e partículas defectivas de SARS-CoV-2. As composições e métodos descritos no presente documento são úteis para o tratamento de infecções pelo SARS-CoV-2. O pedido de patente está pendente de decisão, aguardando o início do exame técnico no INPI.
O pedido de patente de invenção n° BR 11 2023 008265 0 da empresa belga UCB BIOPHARMA SRL foi publicado em 06 de fevereiro de 2024. O pedido de patente refere-se à ligação de anticorpos à IL22 e inibir a sua interação com um ou mais de seus ligantes naturais. Exemplos específicos de tais anticorpos são providos. Os usos terapêuticos dos anticorpos e métodos de gerar tais também são providos. O pedido de patente está pendente de decisão, aguardando o início do exame técnico no INPI.
O pedido de patente de invenção n° BR 11 2023 009276 0 da empresa chinesa BEIJING SOLOBIO GENETECHNOLOGY CO., LTD. foi publicado em 06 de fevereiro de 2024. O pedido de patente refere-se a vírus recombinantes adenoassociados (raav), composição e uso do RAAV. Trata-se de vírus recombinantes associados a adenovírus. Os vírus recombinantes associados a adenovírus podem compreender uma proteína de capsídeo com tropismo aumentado para células hepáticas. Os vírus recombinantes associados a adenovírus também podem exibir menos imunogenicidade em seres humanos. Os vírus recombinantes associados a adenovírus podem compreender cassetes de expressão que compreendem uma sequência de polinucleotídeos que codifica um agente terapêutico útil no tratamento de terapia genética de uma doença hepática. São fornecidos também sistemas de preparação para empacotar os vírus recombinantes associados ao adenovírus, métodos de produção dos vírus recombinantes associados ao adenovírus, composições farmacêuticas que compreendem os vírus recombinantes associados ao adenovírus e usos das ditas composições para o tratamento de doenças hepáticas, incluindo doença de Fabry e hepatite B. O pedido de patente está pendente de decisão, aguardando o início do exame técnico no INPI.
O pedido de patente de invenção n° BR 10 2021 015233 8 da brasileira FATIMA ANTUNES COELHO foi publicado em 04 de fevereiro de 2023. O pedido de patente refere-se a uma solução líquida imunizante antiviral, formulação e seu respectivo processo de obtenção, pertencente ao campo de aplicação dos produtos farmacotécnicos, cosméticos e quimicamente elaborados, desenvolvida para aumentar a imunidade e atuar como uma importante barreira contra microrganismos, tais como fungos, vírus e bactérias e especialmente contra o Coronavírus, elaborada à base de Nanoprata e Perfluorodecalina, para aplicação nas vias aéreas primárias (boca e nariz). O pedido de patente está pendente de decisão, aguardando o início do exame técnico no INPI.
O pedido de patente de invenção n° BR 11 2023 000503 5 da empresa coreana CAREGEN CO., LTD. foi publicado em 31 de janeiro de 2023. O pedido de patente refere-se a um peptídeo que reconhece especificamente uma proteína do coronavírus 2 da síndrome respiratória aguda grave (SARS-CoV-2) ou parte da mesma; uma composição para a prevenção ou tratamento de SARS- CoV-2, compreendendo o peptídeo; e uma composição para a detecção de SARS-CoV-2, compreendendo o peptídeo. O pedido de patente está pendente de decisão, aguardando o início do exame técnico no INPI.
O pedido de patente de invenção n° BR 11 2022 022273 4 da empresa americana TYGRUS LLC foi publicado em 31 de janeiro de 2023. O pedido de patente refere-se a uma composição antimicrobiana aquosa útil como um material terapêutico. Um material terapêutico ativo contra SARS-COV 2 e outros patógenos microbianos e método de administração do mesmo. O pedido de patente está pendente de decisão, aguardando o início do exame técnico no INPI.
O pedido de patente de invenção n° BR11 2022 023408 2 das empresas coreanas BIONEER CORPORATION e SIRNAGEN THERAPEUTICS CORPORATION foi publicado em 31 de janeiro de 2023. O pedido de patente refere-se a um oligonucleotídeo de fita dupla que pode específica e eficientemente inibir a proliferação da Síndrome respiratória aguda grave do coronavírus 2 (SARS-Cov-2), preferencialmente um oligonucleotídeo de fita dupla compreendendo uma sequência na forma de RNA/RNA, DNA/DNA ou um híbrido DNA/RNA; uma estrutura de oligonucleotídeo de fita dupla e nanopartículas compreendendo o oligonucleotídeo de fita dupla; e um uso do mesmo para tratar COVID-19. O pedido de patente está pendente de decisão, aguardando o início do exame técnico no INPI.
O pedido de patente de invenção n° BR 112023000294-0 da empresa alemã SYMRISE AG foi publicado em 31 de janeiro de 2023. O pedido de patente refere-se a uma composição com ativi-dade virucida ou antiviral, compreendendo ou consistindo em (a) deter-minados compostos hidróxilicos e opcionalmente (b) um ou mais solven-tes. O pedido de patente está pendente de decisão, aguardando o início do exame técnico no INPI.
O pedido de patente de invenção n° BR 112022022574-1 da empresa chinesa BEIJING HANDIAN PHARMACEUTICAL CO., LTD. foi publicado em 31 de janeiro de 2023. O pedido de patente refere-se uma composição medicinal Chinesa tradicional para o tratamento de pneumonia por coronavírus, um método de preparação, um método de detecção e uso da mesma. A composição medicinal Chinesa tradicional é preparada principalmente a partir das seguintes matérias-primas em partes em peso: 250-400 partes de Citri reticulatae pericarpium, 100-200 partes de Atractylodis rhizoma, 100-200 partes de Magnoliae officinalis cortex, 200-300 partes de Glycyrrhizae radix et rhizoma, 200-300 partes de Agastache rugosus, 200-300 partes de Acori tatarinowii rhizoma, 250-330 partes de Jujubae fructus e 100-200 partes de Zingiberis rhizoma recens. Além disso, são fornecidos na presente invenção um método de preparação e um método de detecção para a composição medicinal Chinesa tradicional. O método de preparação fornecido na presente invenção melhora o teor e a taxa de transferência de hesperidina na composição medicinal Chinesa tradicional. Por meio da proporção das matérias-primas, a composição medicinal Chinesa tradicional fornecida na presente invenção tem poucos efeitos colaterais e pode ser usada para tratar doenças de tipo cold-dampness (pelo frio-umidade) e, em particular, tem um efeito muito bom no tratamento de pneumonia pelo coronavírus. O pedido de patente está pendente de decisão, aguardando o início do exame técnico no INPI.
O pedido de patente de invenção n° BR 112022021454-5 da empresa britânica THIRTY RESPIRATORY LIMITED foi publicado em 31 de janeiro de 2023. O pedido de patente refere-se a um ou mais agentes selecionados dentre ácidos carboxílicos orgânicos, ácidos redutores não carboxílicos orgânicos, óxido nítrico (NO), uma composição geradora de óxido nítrico, uma combinação ou associação combinável de ingredientes para uma composição geradora de óxido nítrico e misturas dos mesmos, para uso como um agente antiviral contra o coronavírus SARS-CoV ou SARS-CoV-2. O pedido de patente está pendente de decisão, aguardando o início do exame técnico no INPI.
O pedido de patente de invenção n° BR 11 2022 020403 5 da empresa americana XEQUEL BIO, INC. foi publicado em 10 de janeiro de 2023. O pedido de patente refere-se a tratamento ou prevenção de uma doença ou transtorno respiratório, pela administração de uma ou mais composições que compreendem um polipeptídeo isolado derivado de uma alfa-Conexina. As doenças ou transtornos respiratórios exemplificativos incluem síndrome da insuficiência respiratória aguda (ARDS), lesão pulmonar alcoólica, lesão pulmonar aguda (ALI), fibrose pulmonar, fibrose pulmonar idiopática (IPF) e/ou doença pulmonar obstrutiva crônica (COPD). Em alguns aspectos, a doença ou transtorno respiratório é uma complicação de uma doença viral respiratória. O pedido de patente está pendente de decisão, aguardando o início do exame técnico no INPI.
O pedido de patente de invenção n° BR 112022024226-3 da empresa americana PHOR-MED, INC. foi publicado em 30 de janeiro de 2023. O pedido de patente refere-se a métodos e composições contendo um éster de forbol ou derivado de um éster de forbol são fornecidos para prevenção e tratamento da infecção por coronavírus da síndrome respiratória aguda súbita (SARS), incluindo infecção por SARS-CoV-2 e doença COVID-19 relacionada. Também são fornecidos métodos e composições para prevenir e tratar condições inflamatórias agudas e lesões patogênicas relacionadas, incluindo Síndrome do Desconforto Respiratório Agudo (SDRA) e síndrome da tempestade de citocinas (CSS) observadas em casos graves de SARS-CoV-2/COVID-1 9. O pedido de patente está pendente de decisão, aguardando o início do exame técnico no INPI.
O pedido de patente de invenção n° BR 112022024226-3 da empresa americana PHOR-MED, INC. foi publicado em 30 de janeiro de 2023. O pedido de patente refere-se a métodos e composições contendo um éster de forbol ou derivado de um éster de forbol são fornecidos para prevenção e tratamento da infecção por coronavírus da síndrome respiratória aguda súbita (SARS), incluindo infecção por SARS-CoV-2 e doença COVID-19 relacionada. Também são fornecidos métodos e composições para prevenir e tratar condições inflamatórias agudas e lesões patogênicas relacionadas, incluindo Síndrome do Desconforto Respiratório Agudo (SDRA) e síndrome da tempestade de citocinas (CSS) observadas em casos graves de SARS-CoV-2/COVID-1 9. O pedido de patente está pendente de decisão, aguardando o início do exame técnico no INPI.
O pedido de patente de invenção n° BR 11 2022 023408 2 das empressa coreanas BIONEER CORPORATION e SIRNAGEN THERAPEUTICS CORPORATION foi publicado em 31 de janeiro de 2023. O pedido de patente refere-se a um oligonucleotídeo de fita dupla que pode específica e eficientemente inibir a proliferação da Síndrome respiratória aguda grave do coronavírus 2 (SARS-Cov-2), preferencialmente um oligonucleotídeo de fita dupla compreendendo uma sequência na forma de RNA/RNA, DNA/DNA ou um híbrido DNA/RNA; uma estrutura de oligonucleotídeo de fita dupla e nanopartículas compreendendo o oligonucleotídeo de fita dupla; e um uso do mesmo para tratar COVID-19. O pedido de patente está pendente de decisão, aguardando o início do exame técnico no INPI.
O pedido de patente de invenção n° BR 112022019085-9 da empresa americana SAGE THERAPEUTICS, INC. foi publicado em 31 de janeiro de 2023. O pedido de patente refere-se a métodos para tratar um sintoma de uma condição respiratória ou uma doença associada a um coronavírus, em um indivíduo, compreendendo administrar ao indivíduo uma quantidade eficaz de um agente selecionado dentre o grupo consistindo em composto 1 e composto 2, ou um sal farmaceuticamente aceitável do mesmo. O pedido de patente está pendente de decisão, aguardando o início do exame técnico no INPI.
O pedido de patente de invenção n° BR 11 2022 026580-8 da empresa americana ELICIO THERAPEUTICS, INC. foi publicado em 24 de janeiro de 2023. O pedido de patente refere-se a composições e métodos para induzir uma resposta imune contra coronavírus. São descritos CpG-anfifílicos e antígenos do coronavírus (uma proteína spike do coronavírus, um peptídeo da mesma ou uma sequência de ácido nucleico que codifica o mesmo) para uso na indução de uma resposta imune em um indivíduo e métodos de administração de CpG-anfifílicos e antígenos do coronavírus (uma proteína spike do coronavírus, um peptídeo da mesma, uma proteína do nucleocapsídeo do coronavírus, um peptídeo da mesma ou uma sequên-cia de ácido nucleico que codifica a mesma) para induzir uma resposta imune em um indivíduo. O pedido de patente está pendente de decisão, aguardando o início do exame técnico no INPI.
O pedido de patente de invenção n° BR 112022025654-0 da empresa cipriota HORPHAG RESEARCH IP (PYC) LTD. foi publicado em 17 de janeiro de 2023. O pedido de patente refere-se a uma composição natural para propósitos médicos e mais especificamente a uma composição que compreende procianidinas, para uso na prevenção ou tratamento de inflamação endotelial e/ou disfunção sistêmica endotelial disparada por doença do Coronavírus 2019 (COVID-19), incluindo indivíduos pós-COVID-19 sintomáticos em recuperação de COVID-19. O pedido de patente está pendente de decisão, aguardando o início do exame técnico no INPI.
O pedido de patente de invenção n° BR 112022025654-0 da empresa cipriota HORPHAG RESEARCH IP (PYC) LTD. foi publicado em 17 de janeiro de 2023. O pedido de patente refere-se a uma composição natural para propósitos médicos e mais especificamente a uma composição que compreende procianidinas, para uso na prevenção ou tratamento de inflamação endotelial e/ou disfunção sistêmica endotelial disparada por doença do Coronavírus 2019 (COVID-19), incluindo indivíduos pós-COVID-19 sintomáticos em recuperação de COVID-19. O pedido de patente está pendente de decisão, aguardando o início do exame técnico no INPI.
O pedido de patente de invenção n° BR 112022022644-6 da empresa americana DUKE UNIVERSITY foi publicado em 17 de janeiro de 2023. O pedido de patente refere-se a composições de vírus adeno-associados compatíveis com espécies cruzadas e método de uso destas. A presente divulgação fornece vetores de vírus adeno-associados (AAV), compreendendo proteínas variantes do capsídeo coevoluídas, composições farmacêuticas, métodos de fabricação, e métodos para distribuição para um sujeito. O pedido de patente está pendente de decisão, aguardando o início do exame técnico no INPI.
O pedido de patente de invenção n° BR 112022022578-4 das empresas francesas 4LIVING BIOTECH, UNIVERSITE DE BORDEAUX, CENTRE HOSPITALIER DE BORDEAUX, INSTITUT NATIONAL DE LA SANTE ET DE LA RECHERCHE MEDICALE – INSERM, INSTITUT PASTEUR DE LILLE, CENTRE NATIONAL DE LA RECHERCHE SCIENTIFIQUE e UNIVERSITÉ DE LILLE foi publicado em 17 de janeiro de 2023. O pedido de patente refere-se ao poxvírus recombinante que compreende um ácido nucleico que codifica uma proteína do vírus SARS-CoV-2, a métodos para produção de tais viroses e o uso de tais vírus. As poxviroses recombinantes são bem adequadas, entre outras, como vacinas virais protetoras contra o vírus SARS-CoV-2. O pedido de patente está pendente de decisão, aguardando o início do exame técnico no INPI.
O pedido de patente de invenção n° BR 112022021827-3 da empresa americana MEDSTAR HEALTH, INC. foi publicado em 17 de janeiro de 2023. O pedido de patente refere-se a métodos para tratar COVID-19 alvejando-se o eixo inflamassoma/caspase1/piroptose como uma trajetória inflamatória chave. Em particular, a invenção se refere a tratar um paciente infectado com SARS-CoV-2 com uma quantidade eficaz de um ou mais compostos que inibem direta ou indiretamente uma ou mais trajetórias do eixo inflamassoma/ caspase1/ piroptose. O pedido de patente está pendente de decisão, aguardando o início do exame técnico no INPI.
O pedido de patente de invenção n° BR 11 2022 026356 2 das empresas russas LTD ''VALENTA-INTELLEKT'' e VLADIMIR EVGENIEVICH NEBOLSIN foi publicado em 17 de janeiro de 2023. O pedido de patente refere-se à medicina e diz respeito ao tratamento de doenças associadas à atividade aberrante da Interleucina-6 e ao desenvolvimento da síndrome de liberação de citocinas (tempestade de citocinas), preferencialmente o tratamento de COVID19, bem como de outras doenças complicadas pela atividade aberrante da Interleucina-6 e o desenvolvimento da síndrome de liberação de citocinas, utilizando o composto 1-(2-(1-metil-1H-imidazol-4-il)etil)piperidina-2,6-diona (fórmula I). A invenção refere-se à criação de um fármaco eficaz para o tratamento de doenças associadas ao desenvolvimento da síndrome de liberação de citocinas. O pedido de patente está pendente de decisão, aguardando o início do exame técnico no INPI.
O pedido de patente de invenção n° BR 11 2022 023117 2 da empresa americana THE REGENTS OF THE UNIVERSITY OF CALIFORNIA foi publicado em 17 de janeiro de 2023. O pedido de patente refere-se a anticorpos, incluindo anticorpos de domínio único, que se ligam ao vírus SARS-CoV2 e métodos de tratamento usando anticorpos de domínio único que se ligam ao vírus SARS- CoV2. O pedido de patente está pendente de decisão, aguardando o início do exame técnico no INPI.
O pedido de patente de invenção n° BR 112022021827-3 da empresa americana MEDSTAR HEALTH, INC. foi publicado em 17 de janeiro de 2023. O pedido de patente refere-se a métodos para tratar COVID-19 alvejando-se o eixo inflamassoma/caspase1/piroptose como uma trajetória inflamatória chave. Em particular, a invenção se refere a tratar um paciente infectado com SARS-CoV-2 com uma quantidade eficaz de um ou mais compostos que inibem direta ou indiretamente uma ou mais trajetórias do eixo inflamassoma/ caspase1/ piroptose. O pedido de patente está pendente de decisão, aguardando o início do exame técnico no INPI.
O pedido de patente de invenção n° BR 112022020486-8 da empresa americana AKSTON BIOSCIENCES CORPORATION foi publicado em 17 de janeiro de 2023. O pedido de patente refere-se a proteínas de fusão recombinantemente fabricadas compreendendo um fragmento do Domínio de Ligação de Receptor do SARS-CoV-2 (SARS-CoV-2-RBD) ou um análogo do mesmo ligado a um fragmento Fc humano para o uso em relação ao Novo Coronavírus 2019 (COVID-19). As modalidades incluem a administração das proteínas de fusão aos pacientes que se recuperaram de COVID-19 como uma vacinação de reforço, aos pacientes ingênuos em anticorpo para produzir anticorpos para o vírus SARS-CoV-2 para permitir que os pacientes de tornem doadores de plasma convalescente, aos pacientes que foram infectados pelo vírus SARS-CoV-2 e contraíram COVID-19 de modo a limitar o âmbito da infecção e melhorar a doença e como uma vacina profilática contra o COVID-19. As proteínas de fusão Fc exemplares e formulações farmacêuticas de proteínas de fusão Fc exemplares são providas, além de métodos de uso e preparação. O pedido de patente está pendente de decisão, aguardando o início do exame técnico no INPI.
O pedido de patente de invenção n° BR 112022022456-7 da empresa suíça MOLECULAR PARTNERS AG foi publicado em 10 de janeiro de 2023. O pedido de patente refere-se a proteínas de ligação recombinantes compreendendo um ou mais domínios de repetição de anquirina projetados com especificidade de ligação para proteínas spike de coronavírus, ácidos nucleicos que codificam tais proteínas, composições farmacêuticas compreendendo tais proteínas ou ácidos nucleicos e o uso de tais proteínas, ácidos nucleicos ou composições farmacêuticas no tratamento de doenças de coronavírus, particularmente doenças causadas por SARS-CoV-2. O pedido de patente está pendente de decisão, aguardando o início do exame técnico no INPI.
O pedido de patente de invenção n° BR 11 2022 018294 5 da empresa italiana DOMPÉ FARMACEUTICI SPA foi publicado em 10 de janeiro de 2023. O pedido de patente refere-se aos inibidores de CXCL8 para uso no tratamento de pacientes com pneumonia por COVID-19. O pedido de patente está pendente de decisão, aguardando o início do exame técnico no INPI.
O pedido de patente de invenção n° BR 112022025714-7 da empresa chinesa ZHUHAI YUFAN BIOTECHNOLOGIES CO., LTD foi publicado em 03 de janeiro de 2023. O pedido de patente refere-se à aplicação do Inibidor de Quinase HPK1 na Prevenção e/ou Tratamento de Infecções por Patógenos Animais O inibidor de Quinase HPK1 é um inibidor de quinase HPK1 de molécula pequena, especialmente o composto de Fórmula I abaixo, ou um sal, estereoisômero, éster, pró-droga, solvato ou composto deuterado farmaceuticamente aceitável do mesmo: O inibidor da quinase HPK1 pode tratar eficazmente doenças (como a peritonite infecciosa felina) causadas pela infecção de patógenos animais (especialmente vírus, como o coronavírus), melhorar a sobrevivência dos animais e ter melhor valor comercial e perspectivas de aplicação no campo dos medicamentos veterinários anti-patógenos (especialmente vírus, como o coronavírus). O pedido de patente está pendente de decisão, aguardando o início do exame técnico no INPI.
O pedido de patente de invenção n° BR 112022025714-7 da empresa chinesa ZHUHAI YUFAN BIOTECHNOLOGIES CO., LTD foi publicado em 03 de janeiro de 2023. O pedido de patente refere-se à aplicação do Inibidor de Quinase HPK1 na Prevenção e/ou Tratamento de Infecções por Patógenos Animais O inibidor de Quinase HPK1 é um inibidor de quinase HPK1 de molécula pequena, especialmente o composto de Fórmula I abaixo, ou um sal, estereoisômero, éster, pró-droga, solvato ou composto deuterado farmaceuticamente aceitável do mesmo: O inibidor da quinase HPK1 pode tratar eficazmente doenças (como a peritonite infecciosa felina) causadas pela infecção de patógenos animais (especialmente vírus, como o coronavírus), melhorar a sobrevivência dos animais e ter melhor valor comercial e perspectivas de aplicação no campo dos medicamentos veterinários anti-patógenos (especialmente vírus, como o coronavírus). O pedido de patente está pendente de decisão, aguardando o início do exame técnico no INPI.
O pedido de patente de invenção n° BR 11 2022 024033 3 das empresas americanas UNIVERSITY OF FLORIDA RESEARCH FOUNDATION e ENTRINSIC, LLC. foi publicado em 20 de dezembro de 2022. O pedido de patente refere-se formulações e métodos para o tratamento de síndrome do desconforto respiratório agudo, asma, ou rinite alérgica. As formulações compreendendo combinações de aminoácidos livres úteis para o tratamento de ARDS, asma ou rinite alérgica são descritas neste documento. Uso de tais formulações de aminoácidos para o tratamento de ARDS, asma ou rinite alérgica em um indivíduo em necessidade das mesmas; em métodos para o tratamento de ARDS, asma ou rinite alérgica em um indivíduo em necessidade das mesmas; e/ou na preparação de um medicamento para o tratamento de ARDS, asma ou rinite alérgica estão aqui englobados. O pedido de patente está pendente de decisão, aguardando o início do exame técnico no INPI.
O pedido de patente de invenção n° BR 11 2022 023637 9 do americano PETER HOFLEITNER foi publicado em 20 de dezembro de 2022. O pedido de patente refere-se a uma composição, e, método para prevenir ou tratar uma infecção viral. Uma composição de uma quantidade terapeuticamente eficaz de luteolina, quercetina, kaempferol e vitamina C e um carreador terapeuticamente aceitável para prevenir ou tratar infecções virais. Um método para prevenir ou tratar uma infecção viral em um indivíduo administrando a composição a um indivíduo. A infecção viral pode ser uma infecção por coronavírus. O pedido de patente está pendente de decisão, aguardando o início do exame técnico no INPI.
O pedido de patente de invenção n° BR 112022021691-2 da empresa americana AVM BIOTECHNOLOGY, LLC foi publicado em 20 de dezembro de 2022. O pedido de patente refere-se a moduladores de receptor de glicocorticoide (GR) para tratar um vírus SARS-CoV-2, incluindo novas terapias e métodos associados de tratamento com base em mecanismos terapêuticos recentemente fornecidos media-dos pela ligação de glicocorticoides a moléculas de adesão intercelular (ICAMs). O pedido de patente está pendente de decisão, aguardando o início do exame técnico no INPI.
O pedido de patente de invenção n° BR 11 2022 023515 1 da empresa americana JANSSEN BIOTECH, INC foi publicado em 20 de dezembro de 2022. O pedido de patente refere-se a anticorpos manipulados úteis para conjugação sítio-específica por uma transglutaminase. Também são descritos métodos de conjugação sítio-específica dos anticorpos, anticorpos conjugados de modo sítio específico e composições farmacêuticas e usos relacionados aos anticorpos conjugados de modo sítio específico. O pedido de patente está pendente de decisão, aguardando o início do exame técnico no INPI.
O pedido de patente de invenção n° BR 112022018658-4 da empresa americana ULTRAGENYX PHARMACEUTICAL INC. foi publicado em 20 de dezembro de 2022. O pedido de patente refere-se a métodos para potencializar o rendimento de vírus adenoassociado recombinante. A invenção fornece métodos para a produção de vetores de vírus adenoassociados recombinantes (rAAV), compreendendo o contato de uma célula hospedeira com uma solução que compreende pelo menos um composto de fórmula (I), (I-A), (I-B), (II), (III), ou (IV), ou um sal do mesmo, ou uma vitamina B, ou qualquer(quaisquer) combinação(ões) dos mesmos. Também são fornecidos métodos para aumentar a produção de rAAV por uma célula hospedeira, compreendendo contactar uma célula hospedeira com uma solução que compreende pelo menos um composto de fórmula (I), (I-A), (I-B), (II), (III), ou (IV), ou um sal do mesmo, ou uma vitamina B, ou qualquer(quaisquer) combinação(ões) dos mesmos. O pedido de patente está pendente de decisão, aguardando o início do exame técnico no INPI.
O pedido de patente de invenção n° BR 112022023088-5 da empresa inglesa ASTRAZENECA UK LIMITED foi publicado em 20 de dezembro de 2022. O pedido de patente refere-se a anticorpos e fragmentos de ligação a antígeno dos mesmos que se ligam especificamente à proteína spike de SARS-CoV-2 e métodos de produção e seleção dos mesmos. Os anticorpos podem ser usados, por exemplo, em profilaxia, profilaxia pós-exposição ou tratamento de infecção por SARS-CoV-2. Os anticorpos também podem ser usados para detectar a infecção por SARS-CoV-2 em um indivíduo. O pedido de patente está pendente de decisão, aguardando o início do exame técnico no INPI.
O pedido de patente de invenção n° BR 11 2022 019679 2 das empresas francesas BIOPHYTIS e SORBONNE UNIVERSITE foi publicado em 20 de dezembro de 2022. O pedido de patente refere-se a fitoecdisonas e derivados semissintéticos de fitoecdisonas, destinados a uso no tratamento de alterações da função respiratória em mamíferos, particularmente no contexto de uma infecção viral e, mais especificamente, durante a infecção por um coronavírus.O pedido de patente está pendente de decisão, aguardando o início do exame técnico no INPI.
O pedido de patente de invenção n° BR 11202202363-7 do americano PETER HOFLEITNER foi publicado em 20 de dezembro de 2022. O pedido de patente refere-se a uma composição de uma quantidade terapeuticamente eficaz de luteolina, quercetina, kaempferol e vitamina C e um carreador terapeuticamente aceitável para prevenir ou tratar infecções virais. Um método para prevenir ou tratar uma infecção viral em um indivíduo administrando a composição a um indivíduo. A infecção viral pode ser uma infecção por coronavírus. O pedido de patente está pendente de decisão, aguardando o início do exame técnico no INPI.
O pedido de patente de invenção n° BR 112022022942-9 da empresa americana JANSSEN PHARMACEUTICALS, INC. foi publicado em 13 de dezembro de 2022. O pedido de patente refere-se a réplicons de RNA que codificam proteínas S de SARS-CoV-2 pré-fusão recombinantes estabilizadas. Também são descritos composições farmacêuticas e usos dos réplicons de RNA. O pedido de patente está pendente de decisão, aguardando o início do exame técnico no INPI.
O pedido de patente de invenção n° BR 112022022942-9 da empresa americana JANSSEN PHARMACEUTICALS, INC. foi publicado em 13 de dezembro de 2022. O pedido de patente refere-se a réplicons de RNA que codificam proteínas S de SARS-CoV-2 pré-fusão recombinantes estabilizadas. Também são descritos composições farmacêuticas e usos dos réplicons de RNA. O pedido de patente está pendente de decisão, aguardando o início do exame técnico no INPI.
O pedido de patente de invenção n° BR 112022021640-8 da empresa suíça ADD ADVANCED DRUG DELIVERY TECHNOLOGIES LTD. foi publicado em 13 de dezembro de 2022. O pedido de patente refere-se a usos e formulações de canabinoides, em particular de canabidiol. Os canabinoides, em particular o canabidiol, são utilizados para o tratamento de pacientes que sofrem de COVID-19, uma doença provocada pelo coronavírus SARS-Cov-2. As formulações são especialmente para administração oral de canabinoides, em particular de canabidiol. Estas formulações são úteis para o tratamento de pacientes que sofrem de COVID-19. O pedido de patente está pendente de decisão, aguardando o início do exame técnico no INPI.
O pedido de patente de invenção n° BR 112022018945-1 da empresa americana BIOHAVEN THERAPEUTICS LTD. foi publicado em 13 de dezembro de 2022. O pedido de patente refere-se a agentes que podem se aglutinar a vírus como SARS-CoV-2 e/ou células infectadas por eles. Em algumas modalidades, a presente divulgação fornece métodos para prevenir e/ou tratar afecções, distúrbios ou doenças associadas à infecção por SARS-CoV-2. Em algumas modalidades, a presente divulgação fornece métodos para prevenir e/ou tratar COVID-19. O pedido de patente está pendente de decisão, aguardando o início do exame técnico no INPI.
O pedido de patente de invenção n° BR 112022014892-5 da empresa alemã ADVITA LIFESCIENCE GMBH foi publicado em 13 de dezembro de 2022. O pedido de patente refere-se ao uso de peptídeos anti-inflamatórios humanos no tratamento inalatório de doenças pulmonares inflamatórias. A invenção se refere, em particular, ao uso de peptídeo intestinal vasoativo, peptídeo natriurético tipo C, peptídeo natriurético tipo B, peptídeo ativador da adenilato ciclase pituitária, adrenomedulina, hormônio estimulador de alfa-melanócitos,relaxina e interferon gama para os ditos propósitos. São revelados recursos vantajosos de um aerossol contendo tal peptídeo anti-inflamatório humano, e um método para produção do dito aerossol. A presente invenção se refere adicionalmente a um kit para tratamento inalatório de doenças pulmonares inflamatórias. Um aspecto se refere ao tratamento de SDRA relacionada a CoViD-19. O pedido de patente está pendente de decisão, aguardando o início do exame técnico no INPI.
O pedido de patente de invenção n° BR 112022022503-2 da empresa americana SORRENTO THERAPEUTICS, INC. foi publicado em 13 de dezembro de 2022. O pedido de patente refere-se a proteínas de ligação ao antígeno, tais como anticorpos completamente humanos, que se ligam especificamente à proteína spike (S) do coronavírus SARS-CoV-2 e usos dos mesmos. Em várias modalidades, os anticorpos anti-proteína spike são anticorpos neutralizantes que previnem a ligação do coronavírus SARS-CoV-2 a uma célula alvo que expressa a proteína ACE2. São incluídos anticorpos anti-proteína spike, fragmentos de anticorpo, e anticorpos de cadeia única, bem como composições farmacêuticas que incluem tais anticorpos e fragmentos de anticorpo. Também são fornecidos na presente invenção ácidos nucleicos e vetores de expressão recombinantes que codificam os anticorpos anti-proteína spike e fragmentos de anticorpo revelados na presente invenção e células transgênicas transversalmente cortadas com tais ácidos nucleicos e vetores de expressão. Ainda são fornecidos métodos para preparar e usar tais anticorpos anti-proteína spike. Os métodos para usar os anticorpos anti-proteína spike incluem métodos de tratamento ou prevenção da infecção com um coronavírus, tal como o coronavírus SARS-CoV-2, ao administrar um anticorpo ou fragmento de anticorpo, conforme revelado na presente invenção. O pedido de patente está pendente de decisão, aguardando o início do exame técnico no INPI.
O pedido de patente de invenção n° BR 11 2022 022003-0 da empresa chinesa SINOCELLTECH LTD. foi publicado em 13 de dezembro de 2022. O pedido de patente refere-se a um método para aprimorar a imunogenicidade de um antígeno de proteína/peptídeo, em que o método compreende conjugar um antígeno de proteína/peptídeo com um açúcar para formar um conjugado de antígeno de glicoproteína/peptídeo, que aprimorou a imunogenicidade em comparação com um antígeno de proteína/peptídeo não conjugado. Em particular, o método envolve conjugar um patógeno, tal como um antígeno de proteína de superfície viral ou um fragmento do mesmo, com um polissacarídeo, em particular um polissacarídeo capsular de Streptococcus pneumoniae. O conjugado com imunogenicidade aprimorada pode ser usado para prevenir ou tratar doenças causadas por patógenos, em particular doenças causadas por coronavírus. O pedido de patente está pendente de decisão, aguardando o início do exame técnico no INPI.
O pedido de patente de invenção n° BR 11 2022 02466-5 da empresa americana REGENERON PHARMACEUTICALS, INC. foi publicado em 13 de dezembro de 2022. O pedido de patente refere-se a métodos para prevenir e tratar infecções de SARS-CoV-2, COVID-19 ou sintomas dos mesmos. Os métodos da invenção apresentam a administração de uma ou mais moléculas de ligação ao antígeno (por exemplo, anticorpos) que ligam uma proteína de superfíce de SARS-CoV - 2 (por exemplo, proteína spike). O pedido de patente está pendente de decisão, aguardando o início do exame técnico no INPI.
O pedido de patente de invenção n° BR 11 2022 021556 8 da empresa americana FERRER MEDICAL INNOVATIONS, LLC. foi publicado em 10 de dezembro de 2022. O pedido de patente refere-se a composições de spray nasal antiviral e virucida e métodos de tratamento relacionados. As composições para tratamento ou prevenção de infecções virais, como influenza A e B, coronavírus e rinovírus, juntamente com métodos de tratamento relacionados. Certas composições de acordo com realizações preferenciais da invenção podem compreender clorfeniramina, xilitol e outros ingredientes inativos, tais como extrato de semente de Aloe vera e/ou extrato de sementes de toranja. O pedido de patente está pendente de decisão, aguardando o início do exame técnico no INPI.
Em 10 de janeiro de 2023 foi admitido o trâmite prioritário do pedido de patente de invenção n° BR 11 2022 022527 0 da empresa singapuriana WISTA LABORATORIES LTD. foi publicado em 13 de dezembro de 2022.O pedido de patente refere-se a métodos de tratamento de COVID-19 em um indivíduo usando compostos de metiltionínio. O pedido de patente está em análise seguindo os trâmites do exame técnico no INPI.
O pedido de patente de invenção n° BR 112022020974-6 da empresa americana PRINCIPIA BIOPHARMA INC. foi publicado em 06 de dezembro de 2022. O pedido de patente refere-se a métodos de tratamento de uma doença escolhida entre síndrome da angústia respiratória aguda, sepse, lesão pulmonar aguda induzida por sepse, dano alveolar difuso, síndrome de ativação de macrófagos, linfo-histiocitose hemofagocítica secundária, síndrome de liberação de citocinas e síndrome de resposta inflamatória sistêmica em um mamífero usando uma quantidade terapeuticamente eficaz de um inibidor de BTK molecular pequeno são descritos. O pedido de patente está pendente de decisão, aguardando o início do exame técnico no INPI.
O pedido de patente de invenção n° BR 112022020974-6 da empresa americana PRINCIPIA BIOPHARMA INC. foi publicado em 06 de dezembro de 2022. O pedido de patente refere-se a métodos de tratamento de uma doença escolhida entre síndrome da angústia respiratória aguda, sepse, lesão pulmonar aguda induzida por sepse, dano alveolar difuso, síndrome de ativação de macrófagos, linfo-histiocitose hemofagocítica secundária, síndrome de liberação de citocinas e síndrome de resposta inflamatória sistêmica em um mamífero usando uma quantidade terapeuticamente eficaz de um inibidor de BTK molecular pequeno são descritos. O pedido de patente está pendente de decisão, aguardando o início do exame técnico no INPI.
O pedido de patente de invenção n° BR 112022021226-7 da empresa chinesa SHANGHAI INSTITUTE OF MATERIA MEDICA, CHINESE ACADEMY OF SCIENCES, WUHAN INSTITUTE OF VIROLOGY, CHINESE ACADEMY OF SCIENCE, XINJIANG TECHNICAL INSTITUTE OF PHYSICS AND CHEMISTRY, CHINESE ACADEMY OF SCIENCES (CN) e VIGONVITA LIFE SCIENCES CO., LTD. foi publicado em 06 de dezembro de 2022. O pedido de patente refere-se a uma aplicação antiviral de análogos de nucleosídeos. Especificamente, a presente invenção se refere a usos de análogos de nucleosídeos e a uma composição farmacêutica dos mesmos como: (a) inibidores para inibir a replicação de coronavírus, vírus da influenza, vírus sincicial respiratório, vírus flaviviridae, vírus filoviridae e/ou vírus de diarreia epidêmica suína (PEDV); e/ou (b) medicamentos para tratar e/ou prevenir e mitigar doenças causadas por coronavírus, vírus da influenza, vírus sincicial respiratório, vírus flaviviridae, vírus filoviridae e/ou infecções por vírus de diarreia epidêmica suína (PEDV). Os análogos de nucleosídeos de acordo com a invenção podem tratar e/ou prevenir e mitigar infecção respiratória, pneumonia (COVID-19) e outras doenças relacionadas causadas por infecção por novo coronavírus de 2019. O pedido de patente está pendente de decisão, aguardando o início do exame técnico no INPI.
O pedido de patente de invenção n° BR 11 2022 022523 7 da empresa americana VIR BIOTECHNOLOGY, INC. foi publicado em 10 de janeiro de 2023. O pedido de patente refere-se a anticorpos e fragmentos de ligação a antígeno dos mesmos que podem se ligar a um antígeno SARS-CoV-2 e, em certas modalidades, são capazes de neutralizar potentemente uma infecção por SARS-CoV-2. Também são providos polinucleotídeos que codificam anticorpos e fragmentos de ligação a antígeno, vetores, células hospedeiras e composições e usos relacionados, inclusive para prevenir, tratar e diagnosticar uma infecção por SARSCoV-2 ou outro coronavírus. O pedido de patente está pendente de decisão, aguardando o início do exame técnico no INPI.
O pedido de patente de invenção n° BR 112022019357-2 do russo VLADISLAV NIKOLAEVICH LASKAVYI foi publicado em 03 de janeiro de 2023. O pedido de patente refere-se ao tratamento de infecções virais causadas por vírus de RNA que têm um envelope lipídico, em particular infecções por coronavírus, AIDS e hepatite C. O pedido estende a gama de fármacos para o propósito reivindicado. O resultado técnico é a criação de um fármaco com efeito intracelular, antisséptico, que ativa a produção de formaldeído endógeno no corpo de um ser humano e de animais sem ter efeitos colaterais e toxicidade. O resultado técnico é obtido pelo uso de um fármaco imunomodulador composto por 0,073-0,075% de formaldeído em solução isotônica de cloreto de sódio como droga para injeções intramusculares com dose única de injeção de 5 ml para tratamento de infecções coronavirais, retrovirais e hepatite C. O pedido de patente está pendente de decisão, aguardando o início do exame técnico no INPI.
O pedido de patente de invenção n° BR 11 2022 008629 6 da empresa americana AIRWAY THERAPEUTICS, INC. foi publicado em 03 de janeiro de 2023. O pedido de patente refere-se ao uso de proteína surfactante d para tratar infecções virais. Os métodos e as composições fornecidas referem-se ao uso da proteína surfactante D (SP-D) para tratar ou melhorar uma infecção viral em um indivíduo. Em algumas modalidades, a infecção viral compreende um coronavírus, como o coronavírus 2 da síndrome respiratória aguda grave (SARS-CoV-2). Algumas modalidades incluem o uso de certas formulações que compreendem uma SP-D humana recombinante (rhSP-D). O pedido de patente está pendente de decisão, aguardando o início do exame técnico no INPI.
O pedido de patente de invenção n° BR 112022018629-0 da empresa americana BIOMODIFYING, LLC e da empresa israelense RAMOT AT TEL-AVIV UNIVERSITY LTD foi publicado em 07 de março de 2023. O pedido de patente refere-se a anticorpos monoclonais isolados que se ligam ao domínio MUC1 SEA. A invenção também se refere ao uso desses anticorpos em métodos terapêuticos e de diagnóstico. O pedido de patente está pendente de decisão, aguardando o início do exame técnico no INPI.
O pedido de patente de invenção n° BR 112022003170-0 da empresa americana GENENTECH, INC. foi publicado em 17 de maio de 2023. O pedido de patente refere-se a a métodos aprimorados para produzir anticorpos, bibliotecas de anticorpos, hibridomas, bibliotecas de hibridomas, etc. Por exemplo, esses métodos aumentam o número de células B específicas ao antígeno produzidas, aumentam o número de hibridomas e/ou aumentam o número de anticorpos monoclonais que podem ser produzidos em um determinado ciclo de produção. O pedido de patente está pendente de decisão, aguardando o início do exame técnico no INPI.
O pedido de patente de invenção n° BR 102021026379-2 da empresa brasileira BEEOTEC HOLDING S/A foi publicado em 01 de novembro de 2023. O pedido de patente refere-se a uma composição farmacêutica, opoterápica, seu processo de obtenção e sua utilização medicinal, sendo a formulação oral à base de extrato bruto da própolis verde brasileira, emulsificada com ácido ricinoleico e dietanolamina, que apresenta como excipientes água, aromatizante, adoçante e conservantes. Não contempla a adição de etanol, podendo ser utilizada por amplo espectro de pacientes contra diversas doenças inflamatórias e infecciosas, principalmente pelo seu alto potencial virucida e anti-inflmatório. Este ocorre pela redução dos níveis da proteína C reativa, desta maneira, a formulação é efetiva para o tratamento adjuvante de viroses respiratórias, incluindo a COVID-19, uma vez que a diminuição dos níveis de proteína C reativa é associada a uma melhora significativa nos quadros de infecção pelo SARS-CoV2, reduzindo o tempo de internação e mortalidade. O pedido de patente está pendente de decisão, aguardando o início do exame técnico no INPI.
O pedido de patente de invenção n° BR 11 2022 025134 3 da empresa chinesa METRIOPHARM AG foi publicado em 27 de dezembro de 2022. O pedido de patente refere-se a uma composição compreendendo 5-amino-2,3-dihidro-1,4-ftalazinadiona, e, método de tratamento de uma infecção coronaviral. O presente pedido refere-se ao uso de uma ftalazinadiona na prevenção ou tratamento de infecções coronavirais. São divulgadas composições farmacêuticas, combinações e técnicas de formulação vantajosas. O pedido de patente está pendente de decisão, aguardando o início do exame técnico no INPI.
O pedido de patente de invenção n° BR 11 2022 022628 4 da empresa americana PTC THERAPEUTICS, INC. foi publicado em 27 de dezembro de 2022. O pedido de patente refere-se a um método para tratar doença de coronavírus 2019 (COVID-19) causada por coronavírus 2 da síndrome respiratória grave (SARS-CoV-2) por administração de uma quantidade eficaz de um inibidor de DHODH. Outro aspecto descrito no presente documento inclui um método de tratamento de COVD-19 por administração de (S)-6-cloro- 1-(4-metoxifenil)-1,3,4,9-tetra-hidro-2H-pirido[3,4-b]indol-2-carboxilato de 4-clorofenila (PTC299) ou um sal farmaceuticamente aceitável do mesmo. O pedido de patente está pendente de decisão, aguardando o início do exame técnico no INPI.
O pedido de patente de invenção n° BR 11 2022 022243 2 da empresa israelense YISSUM RESEARCH DEVELOPMENT COMPANY OF THE HEBREW UNIVERSITY OF JERUSALEM LTD. foi publicado em 20 de dezembro de 2022. O pedido de patente refere-se a composições farmacêuticas compreendendo bloqueadores de canal de proteína E SARS-CoV-2 e inibidores de ORF3 para tratar ou prevenir a virulência do SARS-CoV-2 em um indivíduo. Fornece ainda uma composição farmacêutica compreendendo um bloqueador de canal de proteína E SARS-CoV-2 ou um inibidor de ORF3 para prevenir a entrada, o não revestimento e/ou a liberação de células SARS-CoV-2 de uma célula. O pedido de patente está pendente de decisão, aguardando o início do exame técnico no INPI.
O pedido de patente de invenção n° BR 11 2022 020401-9 da empresa americana JEROME CANADY RESEARCH INSTITUTE FOR ADVANCED BIOLOGICAL AND TECHNOLOGICAL SCIENCES foi publicado em 20 de dezembro de 2022. O pedido de patente refere-se a um sistema para realizar tratamento de plasma atmosférico frio de infecções respiratórias ou câncer de pulmão que tem uma fonte de um gás carreador, um gerador de plasma atmosférico frio conectado à fonte de gás carreador, uma fonte de ar comprimido, um umidificador conectado à fonte de ar comprimido, uma fonte de oxigênio, um ventilador que tem entradas conectadas a uma saída do umidificador e à fonte de oxigênio, um misturador que tem uma câmara interna formada a partir de um dielétrico, um eletrodo ativo dentro da câmara interna e um eletrodo externo conectado ao solo, em que o misturador tem uma porta de entrada de fluido conectada a uma saída de gás do gerador de plasma atmosférico frio e uma saída do ventilador, e um membro de entrega conectado a uma saída do misturador para entregar ar umidificado e plasma atmosférico frio combinados a um sistema respiratório de um paciente. O pedido de patente está pendente de decisão, aguardando o início do exame técnico no INPI.
O pedido de patente de invenção n° BR 112022022515-6 da empresa singapurense WISTA LABORATORIES LTD. foi publicado em 13 de dezembro de 2022. Em 10 de janeiro de 2023 foi admitido o trâmite prioritário por se tratar de um pedido com matéria para o tratamento de saúde. O pedido de patente refere-se ao fornecimento de métodos de tratamento de COVID-19 em um indivíduo usando compostos de metiltionínio. O pedido de patente foi examinado pelo INPI e em 31 de outubro de 2023 recebeu parecer de indeferimento.
O pedido de patente de invenção n° BR 11 2022 022427 3 da empresa americana PRILENIA NEUROTHERAPEUTICS LTD. foi publicado em 13 de dezembro de 2022. O pedido de patente refere-se a um método para tratar, reduzir a incidência, suprimir ou inibir uma infecção, doença, distúrbio viral ou sintomas dos mesmos em um indivíduo em necessidade do mesmo que compreende administrar ao indivíduo um agonista de S1R seletivo. Em outro aspecto, a doença viral é COVID-19 e o agonista de S1R seletivo é pridopidina ou um sal farmaceuticamente aceitável da mesma. O pedido de patente está pendente de decisão, aguardando o início do exame técnico no INPI.
O pedido de patente de invenção n° BR 112022017986-3 da empresa canadense ABCELLERA BIOLOGICS INC. e da empresa americana THE UNITED STATES OF AMERICA, AS REPRESENTED BY THE SECRETARY, DEPARTMENT OF HEALTH AND HUMAN SERVICES foi publicado em 13 de dezembro de 2022. O pedido de patente refere-se a anticorpos anticoronavírus e métodos de uso. Anticorpos que se ligam à proteína spike de SARS-CoV, proteína spike de SARS-COV-2, e métodos de uso dos mesmos para tratar ou prevenir condições associadas com SARS ou COVID-19 e para detectar SARS-CoV ou SARS-CoV-2. O pedido de patente está pendente de decisão, aguardando o início do exame técnico no INPI.
O pedido de patente de invenção n° BR 112022017930-8 da empresa canadense ABCELLERA BIOLOGICS INC. e a empresa americana THE UNITED STATES OF AMERICA, AS REPRESENTED BY THE SECRETARY, DEPARTMENT OF HEALTH AND HUMAN SERVICES foi publicado em 13 de dezembro de 2022. O pedido de patente refere-se a anticorpos que se ligam à proteína Spike de SARS-CoV, proteína Spike de SARS-CoV-2, e métodos de uso das mesmas para tratar ou prevenir condições associadas com SARS ou COVID-19 e para detectar SARS-CoV ou SARS-CoV-2. O pedido de patente está pendente de decisão, aguardando o início do exame técnico no INPI.
O pedido de patente de invenção n° BR 11 2022 024493 2 da empresa americana AVALO THERAPEUTICS, INC. foi publicado em 13 de dezembro de 2022. O pedido de patente refere-se a métodos para tratar uma condição associada a il-18 elevada, infecção por covid-19, pneumonia por covid-19 severa, doença inflamatória aguda, insuficiência respiratória associada a covid-19, tempestade de citocina, síndrome da angústia respiratória aguda, linfo-histiocitose hemofagocítica e síndrome de ativação de macrófago, métodos para prevenir a progressão à ARDS e a necessidade de ventilação/intubação, e, kit para uso. O pedido de patente está pendente de decisão, aguardando o início do exame técnico no INPI.
O pedido de patente de invenção n° BR 112022024754-0 da empresa americana AIM IMMUNOTECH INC. foi publicado em 13 de dezembro de 2022. O pedido de patente refere-se a composições e métodos para tratar um indivíduo previamente infectado com um vírus e afligido com sintomas de fadiga pós-viral, como, por exemplo, Covid Longo. As composições e métodos compreendem uma quantidade terapeuticamente eficaz de uma composição compreendendo tdsRNA de RNA de fita dupla terapêutico. O pedido de patente está pendente de decisão, aguardando o início do exame técnico no INPI.
O pedido de patente de invenção n° BR 112022019937-6 da empresa inglesa MEDIMMUNE LIMITED foi publicado em 13 de dezembro de 2022. O pedido de patente refere-se ao uso de um antagonista de ligação de eixo de LL33 para o tratamento e a prevenção de síndrome do desconforto respiratório agudo e/ou sintomas da mesma. O pedido de patente está pendente de decisão, aguardando o início do exame técnico no INPI.
O pedido de patente de invenção n° BR 112022018936-2 da empresa indiana BIOCON LIMITED e cubana CENTRO DE INMUNOLOGÍA MOLECULAR foi publicado em 06 de dezembro de 2022. O pedido de patente refere-se ao uso de anticorpos anti-CD6 que se ligam especificamente ao domínio 1 de CD6 para tratar efeitos de um coronavírus ou agente bacteriano e, particularmente, COVID-19 e variantes do mesmo. Os anticorpos anti-CD6 da presente invenção exibem atividade terapêutica reduzindo a resposta imune super-reativa, tal como os altos níveis de expressão de citocinas. O pedido de patente está pendente de decisão, aguardando o início do exame técnico no INPI.
O pedido de patente de invenção n° BR 112022018936-2 da empresa indiana BIOCON LIMITED e cubana CENTRO DE INMUNOLOGÍA MOLECULAR foi publicado em 06 de dezembro de 2022. O pedido de patente refere-se ao uso de anticorpos anti-CD6 que se ligam especificamente ao domínio 1 de CD6 para tratar efeitos de um coronavírus ou agente bacteriano e, particularmente, COVID-19 e variantes do mesmo. Os anticorpos anti-CD6 da presente invenção exibem atividade terapêutica reduzindo a resposta imune super-reativa, tal como os altos níveis de expressão de citocinas. O pedido de patente está pendente de decisão, aguardando o início do exame técnico no INPI.
O pedido de patente de invenção n° BR 10 2021 010395-7 da brasileira FATIMA ANTUNES COELHO foi publicado em 06 de dezembro de 2022. O pedido de patente refere-se a um suplemento imunizante antiviral, formulação e seu respectivo processo de obtenção, pertencente ao campo de aplicação dos produtos farmacotécnicos e quimicamente elaborados, finalizado em um suplemento de primeira defesa do organismo, tendo sido elaborado à base de Nanozinco e Nanoprata, para aplicação nas vias aéreas primárias (boca e nariz), aumentando a imunidade e atuando como uma barreira mais imediata contra microrganismos diversos (vírus, fungos e bactérias), notadamente contra o Coronavírus. O pedido de patente está pendente de decisão, aguardando o início do exame técnico no INPI.
O pedido de patente de invenção n° BR 112022020295-4 da empresa americana PURDUE RESEARCH FOUNDATION foi publicado em 06 de dezembro de 2022. O pedido de patente refere-se a inibidores de bis-amida de SARS-CoV-2 (COVID), composições farmacêuticas compreendendo os mesmos; e métodos de tratamento de uma síndrome respiratória aguda grave. O pedido de patente está pendente de decisão, aguardando o início do exame técnico no INPI.
O pedido de patente de invenção n° BR 11 2022 021304 2 do americano LLOYD HUNG LOI TRAN foi publicado em 06 de dezembro de 2022. O pedido de patente refere-se a métodos de profilaxia ou tratamento de COVID ou COVID-19 usando várias composições farmacêuticas. Um segundo aspecto da presente invenção geralmente se refere a métodos de profilaxia ou tratamento de COVID ou COVID-19 usando combinações de medicamentos antimaláricos e medicamentos antivirais. Um terceiro aspecto da presente invenção geralmente se refere a métodos de profilaxia ou tratamento de COVID ou COVID-19 usando formulações de nanopartículas que incluem composições farmacêuticas. Um quarto aspecto da presente invenção geralmente se refere a métodos de profilaxia ou tratamento de COVID ou COVID-19 usando combinações de várias composições farmacêuticas. Um quinto aspecto da presente invenção geralmente se refere a métodos de profilaxia ou tratamento de COVID ou COVID-19 usando uma vacina contra a poliomielite e composições farmacêuticas. O pedido de patente está pendente de decisão, aguardando o início do exame técnico no INPI.
O pedido de patente de invenção n° BR 112022020295-4 da empresa americana PURDUE RESEARCH FOUNDATION foi publicado em 06 de dezembro de 2022. O pedido de patente refere-se a inibidores de bis-amida de SARS-CoV-2 (COVID), composições farmacêuticas compreendendo os mesmos; e métodos de tratamento de uma síndrome respiratória aguda grave. O pedido de patente está pendente de decisão, aguardando o início do exame técnico no INPI.
O pedido de patente de invenção n° BR 112022019557-5 da empresa americana COCRYSTAL PHARMA, INC. foi publicado em 06 de dezembro de 2022. O pedido de patente refere-se a compostos de Fórmula (I) e métodos de inibição da replicação de vírus em uma amostra biológica ou paciente, de redução da quantidade de vírus em uma amostra biológica ou paciente e de tratamento de uma infecção por vírus em um paciente, que compreende a administração à dita amostra biológica ou paciente de uma quantidade eficaz de um composto representado pela Fórmula (I), um composto da Tabela A, B, ou um sal farmaceuticamente aceitável do mesmo. O pedido de patente está pendente de decisão, aguardando o início do exame técnico no INPI.

O pedido de patente de invenção n° BR 112022016991-4 da empresa americana OMEROS CORPORATION foi publicado em 06 de dezembro de 2022. O pedido de patente refere-se a métodos para tratar, inibir, aliviar ou prevenir a síndrome do desconforto respiratório agudo, pneumonia ou alguma outra manifestação pulmonar ou outra de infecção por coronavírus, como trombose, em um indivíduo mamífero infectado com coronavírus, como SARS-CoV-2. Os métodos compreendem a etapa de administrar a um indivíduo infectado com coronavírus uma quantidade de um agente inibidor de MASP-2 eficaz para inibir a ativação do complemento dependente de MASP-2. Em uma modalidade, o agente inibidor de MASP-2 é um anticorpo monoclonal MASP-2 ou fragmento do mesmo que especificamente se liga a uma porção de SEQ ID NO:6. Em uma modalidade, o agente inibidor de MASP-2 é um composto inibidor de MASP-2 de molécula pequena. Em uma modalidade, o indivíduo é um indivíduo humano que sofre de síndrome do desconforto respiratório agudo (SDRA) induzida por COVID-19 e requer oxigênio suplementar antes do tratamento e o agente inibidor de MASP-2 é administrado em uma quantidade suficiente para descontinuar a necessidade de oxigênio suplementar. O pedido de patente está pendente de decisão, aguardando o início do exame técnico no INPI.
O pedido de patente de invenção n° BR 112022019554-0 da empresa chinesa SENHWA BIOSCIENCES, INC. e da empresa americana TAI-SEN SOONG foi publicado em 06 de dezembro de 2022. O pedido de patente refere-se a um composto ou um método para tratar uma infecção viral por RNA em um humano, particularmente COVID-19. O composto é um certo composto tricíclico de fórmula (I). O pedido de patente está pendente de decisão, aguardando o início do exame técnico no INPI.

O pedido de patente de invenção n° BR 112021012654-6 da empresa americana INCELLDX, INC. foi publicado em 06 de dezembro de 2022. O pedido de patente refere-se a métodos de tratamento de um indivíduo que sofre de COVID-19. Aspectos dos métodos incluindo a administração ao indivíduo de uma quantidade eficaz de um inibidor da interação de CCR5/CCL5, tal como um antagonista de CCR5. Também são fornecidos métodos de avaliação da gravidade de uma doença que envolve a hipercitocinemia, tal como a COVID-19, através da determinação do nível de CCL5/RANTES em um indivíduo, assim como composições para uso em tais métodos. O pedido de patente está pendente de decisão, aguardando o início do exame técnico no INPI.
O pedido de patente de invenção n° BR 112021012654-6 da empresa americana INCELLDX, INC. foi publicado em 06 de dezembro de 2022. O pedido de patente refere-se a métodos de tratamento de um indivíduo que sofre de COVID-19. Aspectos dos métodos incluindo a administração ao indivíduo de uma quantidade eficaz de um inibidor da interação de CCR5/CCL5, tal como um antagonista de CCR5. Também são fornecidos métodos de avaliação da gravidade de uma doença que envolve a hipercitocinemia, tal como a COVID-19, através da determinação do nível de CCL5/RANTES em um indivíduo, assim como composições para uso em tais métodos. O pedido de patente está pendente de decisão, aguardando o início do exame técnico no INPI.
O pedido de patente de invenção n° BR 112021012654-6 da empresa americana INCELLDX, INC. foi publicado em 06 de dezembro de 2022. O pedido de patente refere-se a métodos de tratamento de um indivíduo que sofre de COVID-19. Aspectos dos métodos incluindo a administração ao indivíduo de uma quantidade eficaz de um inibidor da interação de CCR5/CCL5, tal como um antagonista de CCR5. Também são fornecidos métodos de avaliação da gravidade de uma doença que envolve a hipercitocinemia, tal como a COVID-19, através da determinação do nível de CCL5/RANTES em um indivíduo, assim como composições para uso em tais métodos. O pedido de patente está pendente de decisão, aguardando o início do exame técnico no INPI.
O pedido de patente de invenção n° BR 11 2022 021381 6 da empresa americana PURDUE RESEARCH FOUNDATION foi publicado em 06 de dezembro de 2022. O pedido de patente refere-se compostos para o tratamento de sars que são Inibidores de bis-amida de SARS-CoV-2 (COVID), composições farmacêuticas compreendendo os mesmos; e métodos de tratamento de uma síndrome respiratória aguda grave. O pedido de patente está pendente de decisão, aguardando o início do exame técnico no INPI.
O pedido de patente de invenção n° BR 112022021031-0 da empresa indiana UNILEVER IP HOLDINGS B.V. foi publicado em 06 de dezembro de 2022. O pedido de patente refere-se a uma composição aerossol, produto aerossol, método não terapêutico de sanitização de uma superfície animada ou inanimada e uso não terapêutico de uma composição aerossol. A composição aerossol compreende: a) 60% em peso a 80% em peso de etanol, propanol, isopropanol ou uma mistura dos mesmos; b) 15% em peso a 35% em peso de propelente; e, c) 1% em peso a 5% em peso de água, em que a referida composição compreende de 0,1% em peso a 2% em peso de umectante selecionado a partir de propilenoglicol, dipropilenoglicol ou glicerol e em que a razão de base: propelente é de 70:30 a 80:20 partes em peso, em que a referida base compreende todos os ingredientes que não o referido propelente. O pedido de patente está pendente de decisão, aguardando o início do exame técnico no INPI.
O pedido de patente de invenção n° BR 112022019649-0 das empresas canadenses AKSEERA PHARMA CORP., DR. SHREEMA MERCHANT e MANIT PATEL foi publicado em 27 de dezembro de 2022. O pedido de patente refere-se a composições farmacêuticas e métodos de tratamento da doença infecciosa Covid-19. Também fornece composições farmacêuticas e métodos de profilaxia ou tratamento profilático da doença infecciosa Covid-19. Os referidos métodos envolvem a administração de composições constituídas de uma quantidade terapeuticamente eficaz de canabidiol causando assim o aprimoramento e aumento da imunidade inata do paciente/mamífero/humano. O pedido de patente está pendente de decisão, aguardando o início do exame técnico no INPI.
O pedido de patente de invenção n° BR 112022020107-9 da empresa americana EAGLE PHARMACEUTICALS, INC foi publicado em 29 de novembro de 2022. O pedido de patente refere-se a métodos de uso do dantroleno ou de um pró-fármaco de dantroleno, ou um sal farmaceuticamente aceitável deste, para tratar a Síndrome Respiratória Aguda Grave (SARS). O pedido de patente está pendente de decisão, aguardando o início do exame técnico no INPI.
O pedido de patente de invenção n° BR 112022018504-9 da empresa americana GLOBAL BIOLIFE INC. foi publicado em 29 de novembro de 2022. O pedido de patente refere-se a métodos e composições farmacêuticas para tratar ou limitar a ocorrência de infecções virais por administração de uma quantidade terapeuticamente eficaz de uma composição farmacêutica que alveja o sítio ativo de ACE2. As composições farmacêuticas incluem aquelas de Fórmula I, Fórmula II, Fórmula III, incluindo Fórmulas IIIa e IIIb, e as infecções virais incluindo, mas não se limitando a vírus respiratórios e condições de doença e síndromes que estão associadas às infecções virais. O pedido de patente está pendente de decisão, aguardando o início do exame técnico no INPI.
O pedido de patente de invenção n° BR 112022019182-0 da empresa americana HOMOLOGY MEDICINES, INC. foi publicado em 29 de novembro de 2022. O pedido de patente refere-se a composições de vírus adenoassociado (AAV) que podem restaurar a função do gene IDS em células e métodos para usar essas composições de AAV para tratar distúrbios associados à redução da função do gene IDS. Também são fornecidos composições, sistemas e métodos para fazer as composições de AAV. O pedido de patente está pendente de decisão, aguardando o início do exame técnico no INPI.
O pedido de patente de invenção n° BR112022018793-9 da empresa francesa ABIVAX foi publicado em 29 de novembro de 2022. O pedido de patente refere-se ao uso de um composto de fórmula (i) ou (ii) para tratar ou prevenir uma infecção por coronaviridae e condições relacionadas, composição farmacêutica e medicamento compreendendo os mesmos, uso de um mirna como um biomarcador de uma infecção por coronaviridae, e método para avaliar uma infecção por coronaviridae. A presente invenção diz respeito ao tratamento ou prevenção de uma infecção por Coronaviridae e condições relacionadas a ela; em particular, uma infecção por Coronaviridae em humanos. Assim como, a invenção diz respeito a usos e métodos para avaliar uma infecção por Coronaviridae ou a eficácia de um tratamento de tais infecções. O pedido de patente está pendente de decisão, aguardando o início do exame técnico no INPI.


O pedido de patente de invenção n° BR 11 2022 020172 9 da empresa alemã EBERHARD KARLS UNIVERSITAET TUEBINGEN MEDIZINISCHE FAKULTAET foi publicado em 22 de novembro de 2022. O pedido de patente refere-se a peptídeos, proteínas, ácidos nucleicos e células para uso em métodos imunoterapêuticos. Em particular, a presente invenção se refere à imunoterapia de uma infecção por SARS-CoV-2 (COVID-19). A presente invenção se refere adicionalmente a epítopos de peptídeos de células T associados a SARS-CoV2 que podem, por exemplo, servir como ingredientes farmacêuticos ativos de composições de vacinas que estimulam respostas imunes anti-SARS-CoV2 ou para estimular células T ex vivo e transferir para pacientes. Peptídeos ligados a moléculas do complexo principal de histocompatibilidade (MHC), ou peptídeos como tal, também podem ser alvos de anticorpos, receptores solúveis de células T e outras moléculas de ligação. O pedido de patente está pendente de decisão, aguardando o início do exame técnico no INPI.
O pedido de patente de invenção n° BR 11 2022 020193 1 da empresa americana AGLE PHARMACEUTICALS, INC foi publicado em 22 de novembro de 2021. O pedido de patente refere-se a métodos de uso de dantroleno ou uma pró-droga de dantroleno, ou um sal farmaceuticamente aceitável deste, para tratar infecções por COVID-19 e SARS-CoV-2. O pedido de patente está pendente de decisão, aguardando o início do exame técnico no INPI.
O pedido de patente de invenção n° BR 11 2022 018827 7 da empresa dinamarquesa SYNACT PHARMA APS foi publicado em 22 de novembro de 2022. O pedido de patente refere-se a uma composição compreendendo um derivado de fenil pirrol aminoguanidina para o uso em um método para tratar distúrbios e doenças virais, incluindo distúrbios e doenças sintomáticos virais, incluindo COVID-19 sintomática. O pedido de patente está pendente de decisão, aguardando o início do exame técnico no INPI.
O pedido de patente de invenção n° BR 11 2022 020182 6 do canadense ASOMUNE THERAPEUTICS, INC. e do americano DOUGLAS A. HAMILTON foi publicado em 22 de novembro de 2022. O pedido de patente refere-se a compostos de Fórmula (I) que são formas multiméricas de um peptídeo de ligação monomérico ligado linearmente a frações de PEG para formar os multímeros e seu uso no tratamento ou prevenção de infecções por coronavírus e síndrome do desconforto respiratório agudo. O pedido de patente está pendente de decisão, aguardando o início do exame técnico no INPI.

Fórmula I
O pedido de patente de invenção n° BR 11 2022 020193 1 da empresa americana AGLE PHARMACEUTICALS, INC foi publicado em 22 de novembro de 2021. O pedido de patente refere-se a métodos de uso de dantroleno ou uma pró-droga de dantroleno, ou um sal farmaceuticamente aceitável deste, para tratar infecções por COVID-19 e SARS-CoV-2. O pedido de patente está pendente de decisão, aguardando o início do exame técnico no INPI.
O pedido de patente de invenção n° BR 11 2021 022778 4 da empresa americana PFIZER INC. foi publicado em 22 de novembro de 2022. O pedido de patente refere-se aos compostos de fórmula I em que R1, R2 e são como aqui definidos, composições farmacêuticas compreendendo os compostos e métodos de tratamento de COVID-19 em um paciente através da administração de quantidades terapeuticamente eficazes dos compostos, e métodos de inibição ou prevenção da replicação de SARS-CoV-2 com os compostos. O pedido de patente está pendente de decisão, aguardando o início do exame técnico no INPI.
O pedido de patente de invenção n° BR 112022020193-1 da empresa americana EAGLE PHARMACEUTICALS, INC foi publicado em 22 de novembro de 2022. O pedido de patente refere-se a métodos de uso de dantroleno ou uma pró-droga de dantroleno, ou um sal farmaceuticamente aceitável deste, para tratar infecções por COVID-19 e SARS-CoV-2. O pedido de patente está pendente de decisão, aguardando o início do exame técnico no INPI.
O pedido de patente de invenção n° BR 11 2022 020182-6 das empresas canadense VASOMUNE THERAPEUTICS, INC. e americana DOUGLAS A. HAMILTON foi publicado em 22 de novembro de 2022. O pedido de patente refere-se a compostos de Fórmula (I) que são formas multiméricas de um peptídeo de ligação monomérico ligado linearmente a frações de PEG para formar os multímeros e seu uso no tratamento ou prevenção de infecções por coronavírus e síndrome do desconforto respiratório agudo. O pedido de patente está pendente de decisão, aguardando o início do exame técnico no INPI.

O pedido de patente de invenção n° BR 112022020020-0 da empresa americana PFIZER INC. foi publicado em 22 de novembro de 2022. O pedido de patente refere-se à descoberta de novos métodos para o tratamento da resposta inflamatória patológica associada com pacientes infectados por SARS-CoV-2, compreendendo administrar oralmente ao paciente necessitado de tal tratamento, de uma quantidade terapeuticamente eficaz de um inibidor de JAK, um inibidor de JAK/TYK ou um inibidor de IRAK4 ou uma combinação desses. O pedido de patente está pendente de decisão, aguardando o início do exame técnico no INPI.
O pedido de patente de invenção n° BR 112022019685-7 da empresa norueguesa LIFESCIENCE AS foi publicado em 22 de novembro de 2022. O pedido de patente refere-se a composições compreendendo ácido siálico para inibir ou tratar infecções por Coronavírus, e em particular aquelas causadas por SARS-CoV-2 (síndrome respiratória aguda grave Coronavírus 2). O pedido de patente está pendente de decisão, aguardando o início do exame técnico no INPI.
O pedido de patente de invenção n° BR 112022019876-0 da empresa suíça ECOLE POLYTECHNIQUE FEDERALE DE LAUSANNE foi publicado em 22 de novembro de 2022. O pedido de patente refere-se a composições virucidas compreendendo uma porção de ácido siálico (SA), composições farmacêuticas e composições para desinfecção e/ou esterilização compreendendo as mesmas e usos das mesmas em métodos de desinfecção e/ou esterilização e no tratamento e/ou prevenção de COVID-19 e outras doenças respiratórias causadas por coronavírus e/ou vírus influenza. O pedido de patente está pendente de decisão, aguardando o início do exame técnico no INPI.

O pedido de patente de invenção n° BR 11 2022 018876 5 da empresa inglesa NERRE THERAPEUTICS LIMITED foi publicado em 21 de novembro de 2022. O pedido de patente refere-se a ao uso inovador de antagonistas do receptor de neuroquinina-1 (NK-1) para o tratamento de sepse, choque séptico, síndrome da resposta inflamatória sistêmica (SIRS), síndrome do desconforto respiratório agudo (ARDS) ou síndrome de disfunção múltipla de órgãos (MODS). A invenção se refere adicionalmente a composições farmacêuticas que compreendem antagonistas do receptor de NK-1 e combinações com um ou mais agentes terapêuticos, para esses usos. O pedido de patente está pendente de decisão, aguardando o início do exame técnico no INPI.
O pedido de patente de invenção n° BR 112022019486-2 da empresa japonesa UJIFILM TOYAMA CHEMICAL CO., LTD. foi publicado em 16 de novembro de 2022. O pedido de patente refere-se a um agente terapêutico para infecção por coronavírus. Uma infecção por coronavírus pode ser tratada administrando uma composição farmacêutica composto por 6-flúor-3-hidróxi-2-pirazinacarboxamida ou um sal da mesma como ingrediente ativo a um paciente com infecção por coronavírus com pneumonia não séria. O pedido de patente está pendente de decisão, aguardando o início do exame técnico no INPI.
O pedido de patente de invenção n° BR 112022017060-2 da universidade chinesa SHANGHAITECH UNIVERSITY foi publicado em 16 de novembro de 2022. O pedido de patente refere-se a uma aplicação de dissulfiram na resistência ao coronavírus. Uma aplicação de dissulfiram na preparação de fármacos para tratamento e/ou prevenção de doenças causadas por coronavírus. Por meio de experimentos de atividade enzimática in vitro, verificou-se que o dissulfiram pode inibir bem a atividade da principal protease em coronavírus, preenchendo a falta da técnica anterior para tratar doenças causadas por coronavírus. O pedido de patente está pendente de decisão, aguardando o início do exame técnico no INPI.
O pedido de patente de invenção n° BR 112022019245-2 das empresas americanas GLAXOSMITHKLINE INTELLECTUAL PROPERTY DEVELOPMENT LIMITED (GB); THE GOVERNMENT OF THE UNITED STATES, AS REPRESENTED BY THE SECRETARY OF THE ARMY; e THE HENRY M. JACKSON FOUNDATION FOR THE ADVANCEMENT OF MILITARY MEDICINE, INC. foi publicado em 16 de novembro de 2022. O pedido de patente refere-se aos compostos inibidores de catepsina e sais farmaceuticamente aceitáveis dos mesmos, e combinações dos mesmos, para uso no tratamento ou profilaxia de doença viral em um animal. O pedido de patente está pendente de decisão, aguardando o início do exame técnico no INPI.
O pedido de patente de invenção n° BR 11 2022 018948 6 da empresa americana BIOHAVEN PHARMACEUTICAL HOLDING COMPANY LTD. foi publicado em 16 de novembro de 2022. O pedido de patente refere-se a um método para o tratamento de COVID-19 em um paciente com necessidade de tal tratamento, em que o método inclui a administração ao paciente de uma quantidade terapeuticamente eficaz de inibidor de CGRP. Também é fornecida uma composição farmacêutica para o tratamento de COVID-19 em um paciente com necessidade de tal tratamento, em que a composição farmacêutica inclui uma quantidade terapeuticamente eficaz de inibidor de CGRP. O pedido de patente está pendente de decisão, aguardando o início do exame técnico no INPI.
O pedido de patente de invenção n° BR 112022019334-3 da empresa francesa INSTITUT PASTEUR foi publicado em 16 de novembro de 2022. O pedido de patente refere-se ao método para produzir um genoma viral interferente defeituoso (DVG), partículas interferentes defeituosas compreendendo o DVG e métodos e usos dos mesmos. Também compreende composição farmacêutica, imunogênica ou terapêutica, vacina, uso, polinucleotídeo, vetor de expressão ou plasmídeo e linhagem de células. Particularmente, o pedido refere-se ao uso de um DVG conforme depositado para a preparação de um medicamento para o tratamento de um paciente infectado com coronavírus, em particular, o SARS-CoV-2. O pedido de patente está pendente de decisão, aguardando o início do exame técnico no INPI.
O pedido de patente de invenção n° BR 112022017048-3 da empresa americana VIR BIOTECHNOLOGY, INC. foi publicado em 16 de novembro de 2022. O pedido de patente refere-se a anticorpos e fragmentos de ligação a antígeno do mesmo que podem se ligar a um antígeno de SARS-CoV-2 e, em determinadas modalidades, têm capacidade de neutralizar uma infecção por SARS-CoV-2. Também são providos polinucleotídeos que codificam um anticorpo ou fragmento de ligação a antígeno, vetores e células hospedeiras que compreendem um polinucleotídeo, composições farmacêuticas e métodos para usar os anticorpos atualmente revelados, fragmentos de ligação a antígeno, polinucleotídeos, vetores, células hospedeiras e composições para tratar ou diagnosticar uma infecção por SARS-CoV-2. O pedido de patente está pendente de decisão, aguardando o início do exame técnico no INPI.
O pedido de patente de invenção n° BR X 112022017048-3 da empresa americana VIR BIOTECHNOLOGY, INC. foi publicado em 16 de novembro de 2022. O pedido de patente refere-se a anticorpos contra SARS- CoV-2 e métodos para usar os mesmos. A presente invenção prove anticorpos e fragmentos de ligação a antígeno do mesmo que podem se ligar a um antígeno de SARS-CoV-2 e, em determinadas modalidades, têm capacidade de neutralizar uma infecção por SARS-CoV-2. Também são providos polinucleotídeos que codificam um anticorpo ou fragmento de ligação a antígeno, vetores e células hospedeiras que compreendem um polinucleotídeo, composições farmacêuticas e métodos para usar os anticorpos atualmente revelados, fragmentos de ligação a antígeno, polinucleotídeos, vetores, células hospedeiras e composições para tratar ou diagnosticar uma infecção por SARS-CoV-2. O pedido de patente está pendente de decisão, aguardando o início do exame técnico no INPI.
O pedido de patente de invenção n° BR 112022016784-9 da empresa chinesa INSTITUTE OF MICROBIOLOGY, CHINESE ACADEMY OF SCIENCES foi publicado em 08 de novembro de 2022. O pedido de patente refere-se a um anticorpo monoclonal humanizado para o coronavírus 2019 (2019-nCOV) e o seu uso. O anticorpo é capaz de se ligar especificamente a um domínio de ligação ao receptor (RBD) do 2019-nCOV e bloquear a ligação entre o RBD do 2019-nCOV e a ACE2 e, além disso, inibir a infecção causada pelo 2019-nCOV. O pedido de patente está pendente de decisão, aguardando o início do exame técnico no INPI.
O pedido de patente de invenção n° BR 112022018639-8 da empresa israelense NOVEL CONCEPTS MEDICAL LTD. foi publicado em 08 de novembro de 2022. O pedido de patente refere-se a método para prevenir ou tratar doença respiratória não maligna (NMRD) em um sujeito em necessidade do mesmo. O método compreende administrar ao sujeito uma quantidade eficaz de um componente derivado de uma espécie de planta ou gênero da mesma selecionado a partir do grupo que consiste em uma parte da planta, extrato da mesma, fração da mesma, ingrediente ativo da mesma, análogo sintético da mesma, mimético da mesma ou combinação dos mesmos, em que o componente é capaz de melhorar os sintomas de NMRD e em que a espécie de planta é selecionada a partir do grupo que consiste em Nigella sativa, Thymus capitatus, Thymus vulgaris, Origanum syriacum, Thymbra spicata, Satujera thymbra, Sesamum indicum, Rhus coriaria, Gynostemma polyphyllum, Boswellia sacra e Panax ginseng prevenindo ou tratando NMRD no sujeito. O pedido de patente está pendente de decisão, aguardando o início do exame técnico no INPI.
O pedido de patente de invenção n° BR 112022018639-8 da empresa israelense NOVEL CONCEPTS MEDICAL LTD. foi publicado em 08 de novembro de 2022. O pedido de patente refere-se a método para prevenir ou tratar doença respiratória não maligna (NMRD) em um sujeito em necessidade do mesmo. O método compreende administrar ao sujeito uma quantidade eficaz de um componente derivado de uma espécie de planta ou gênero da mesma selecionado a partir do grupo que consiste em uma parte da planta, extrato da mesma, fração da mesma, ingrediente ativo da mesma, análogo sintético da mesma, mimético da mesma ou combinação dos mesmos, em que o componente é capaz de melhorar os sintomas de NMRD e em que a espécie de planta é selecionada a partir do grupo que consiste em Nigella sativa, Thymus capitatus, Thymus vulgaris, Origanum syriacum, Thymbra spicata, Satujera thymbra, Sesamum indicum, Rhus coriaria, Gynostemma polyphyllum, Boswellia sacra e Panax ginseng prevenindo ou tratando NMRD no sujeito. O pedido de patente está pendente de decisão, aguardando o início do exame técnico no INPI.
O pedido de patente de invenção n° BR 112022018949-4 da universidade americana VANDERBILT UNIVERSITY foi publicado em 08 de novembro de 2022. O pedido de patente refere-se a anticorpos que se ligam a e neutralizam o coronavírus designado SARS-CoV-2, e métodos para uso dos mesmos. O pedido de patente está pendente de decisão, aguardando o início do exame técnico no INPI.
O pedido de patente de invenção n° BR 112022018637-1 da empresa israelense NOVEL CONCEPTS MEDICAL LTD. foi publicado em 08 de novembro de 2022. O pedido de patente refere-se a um método de prevenção ou tratamento de infecção por Coronavírus em um sujeito em necessidade do mesmo. O método compreende administrar ao sujeito uma quantidade eficaz de um componente derivado de uma espécie de planta ou gênero da mesma selecionado a partir do grupo que consiste em uma parte de planta, extrato da mesma, fração da mesma, ingrediente ativo da mesma, análogo sintético da mesma, mimético ou combinação dos mesmos, em que o componente é capaz de melhorar os sintomas da infecção por Coronavírus e em que a espécie de planta é selecionada a partir do grupo que consiste em Nigella sativa, Thymus capitatus, Thymus vulgaris, Origanum syriacum, Thymbra spicata, Satujera thymbra, Sesamum indicum e Rhus coriaria Gynostemma petaphyllum, Boswellia sacra e Panax ginseng, ou qualquer planta que contenha triptofano prevenir ou tratar o Coronavírus no sujeito. O pedido de patente está pendente de decisão, aguardando o início do exame técnico no INPI.
O pedido de patente de invenção n° BR 112022021780-3 da empresa americana TWIST BIOSCIENCE CORPORATION foi publicado em 08 de novembro de 2022. O pedido de patente refere-se a métodos e composições relacionados a bibliotecas de anticorpos otimizados com ácidos nucleicos que codificam para um anticorpo compreendendo sequências modificadas. As bibliotecas aqui descritas compreendem ácidos nucleicos que codificam anticorpos SARS-CoV-2 ou ACE2. Ainda aqui descritas são bibliotecas de proteínas geradas quando as bibliotecas de ácidos nucleicos são traduzidas. O pedido de patente está pendente de decisão, aguardando o início do exame técnico no INPI.
O pedido de patente de invenção n° BR 112022019168-5 da empresa americana TERNS, INC. foi publicado em 01 de novembro de 2022. O pedido de patente refere-se a um método de tratamento de uma doença respiratória, caracterizado pelo fato de que compreende a administração de uma quantidade eficaz de um composto de Fórmula 5, ou um sal farmaceuticamente aceitável do mesmo, a um indivíduo com síndrome da angústia respiratória aguda (SDRA/SARS). O pedido de patente está pendente de decisão, aguardando o início do exame técnico no INPI.
Fórmula
O pedido de patente de invenção n° BR 112022017891-3 da empresa americana HUMANIGEN, INC. foi publicado em 01 de novembro de 2022. O pedido de patente refere-se a métodos para tratar um indivíduo infectado com coronavírus 2019 (SARS-CoV-2) compreendendo administrar ao indivíduo uma quantidade terapeuticamente eficaz de um antagonista de GM-CSF ou uma quantidade terapeuticamente eficaz de um antagonista de GM-CSF e um segundo fármaco, incluindo um agente antiviral, uma vacina anti-SARS-CoV-2 e soro contendo anticorpos policlonais humanos para SARS-CoV-2. O pedido de patente está pendente de decisão, aguardando o início do exame técnico no INPI.
O pedido de patente de invenção n° BR 112022018741-6 da empresa americana STANDARD OF CARE CORPORATION foi publicado em 01 de novembro de 2022. O pedido de patente refere-se a um método de tratamento de uma doença ou distúrbio respiratório em um indivíduo em necessidade do mesmo, o método compreendendo: administrar uma proteína tendo atividade de hialuronidase e/ou 4-metilumbeliferona (4-MU) a um pulmão do indivíduo incluindo, por exemplo, em uma formulação aerossolizada. O pedido de patente está pendente de decisão, aguardando o início do exame técnico no INPI.
O pedido de patente de invenção n° BR 112022018127-2 da empresa brasileira UNILEVER IP HOLDINGS B.V. foi publicado em 25 de outubro de 2022. O pedido de patente refere-se a uma composição de limpeza para uso na limpeza de superfícies. Particularmente, a composição de limpeza é uma composição antimicrobiana que compreende um tensoativo catiônico, um ou mais fenóis substituídos selecionados a partir de timol, sec-butilfenol, carvacrol, eugenol, propilfenol e misturas destes, um ou mais álcoois de terpeno alifáticos, preferivelmente mentol, e um ou mais terpenos insaturados selecionados a partir de limoneno, alfa-terpineno, terpinoleno, cimeno, felandreno e misturas destes em razões selecionadas. O pedido de patente está pendente de decisão, aguardando o início do exame técnico no INPI.
O pedido de patente de invenção n° BR 112022016131-0 da empresa israelense NLC PHARMA LTD foi publicado em 25 de outubro de 2022. O pedido de patente refere-se a os compostos para uso no tratamento de uma infecção por coronavírus; um método de inibição de uma protease 3CL de coronavírus, por meio do contato da protease 3CL com um composto de Fórmula I; bem como a composição farmacêutica dos métodos compreendendo um composto de Fórmula I e pelo menos um fosfolipídio, em que a razão em peso entre o(s) fosfolipídio(s) e o composto na composição está em uma faixa de 10:1 a 1:10. Descreve-se aqui ainda um método de tratamento de uma infecção por coronavírus em um indivíduo em necessidade deste, pela administração ao indivíduo de pelo menos um composto que apresente pelo menos dois dentre: inibição de uma atividade de uma protease 3CL do coronavírus; inibição de inflamação no indivíduo; e inibição de autofagia no indivíduo. O pedido de patente está pendente de decisão, aguardando o início do exame técnico no INPI.
O pedido de patente de invenção n° BR 112022020649-6 da empresa coreana APTABIO THERAPEUTICS INC foi publicado em 25 de outubro de 2022. O pedido de patente refere-se a composição farmacêutica para prevenir ou tratar a fibrose pulmonar, caracterizada pelo fato de que compreende um composto da seguinte Fórmula 1 ou um sal farmaceuticamente aceitável do mesmo:

O pedido de patente está pendente de decisão, aguardando o início do exame técnico no INPI.
O pedido de patente de invenção n° BR 112022018527-8 da empresa americana THE BOARD OF TRUSTEES OF THE UNIVERSITY OF ILLINOIS foi publicado em 25 de outubro de 2022. O pedido de patente refere-se a receptores construídos para coronavírus e seus usos. Os polipeptídeos modificados da enzima conversora de angiotensina 2 (ACE2) são descritos. Os polipeptídeos modificados incluem pelo menos uma substituição de aminoácidos que permite que o polipeptídeo se ligue melhor à glicoproteína de superfície S de coronavírus que usam ACE2 como um receptor de entrada celular, seja por meio de aumentos diretos na afinidade ou por meio de dobramento e expressão aprimorados de ACE2. O uso dos polipeptídeos ACE2 modificados para inibir a entrada, replicação e/ou disseminação de CoV, para profilaxia de CoV pré-exposição e pós-exposição e para tratar uma infecção por CoV (por exemplo, COVID-19). O pedido de patente está pendente de decisão, aguardando o início do exame técnico no INPI.
O pedido de patente de invenção n° BR 112022018236-8 do americano JOHN M.H. GREGG foi publicado em 25 de outubro de 2022. O pedido de patente refere-se ao uso de fármacos antivirais com diferentes mecanismos de ação para o tratamento ou prevenção de infecções virais, como COVID-19 (também conhecido como SARS-CoV-2) e redução de complicações médicas relacionadas à doença viral COVID-19. A presente invenção também se refere a composições e combinações de novas fármacos antivirais formados a partir de fármacos existentes com atividade antiviral, e a administração destes compostos utilizados nestas várias novas combinações, que são incorporadas em sistemas de distribuição pulmonar e oral. O pedido de patente está pendente de decisão, aguardando o início do exame técnico no INPI.
O pedido de patente de invenção n° BR 112022016413-0 da empresa americana ATEA PHARMACEUTICALS, INC. foi publicado em 25 de outubro de 2022. O pedido de patente refere-se a uso de fosforamidatos de nucleotídeos de purina ou sais farmaceuticamente aceitáveis dos mesmos administrados em uma quantidade eficaz para o tratamento ou prevenção de COVID-19, uma infecção causada pelo vírus SARS CoV-2 em um hospedeiro, por exemplo, um humano, em necessidade do mesmo. O pedido de patente está pendente de decisão, aguardando o início do exame técnico no INPI.
O pedido de patente de invenção n° BR 112022013480-0 da empresa americana VERU INC. (US) foi publicado em 25 de outubro de 2022. O pedido de patente refere-se a métodos de tratamento de infecções por coronavírus usando compostos tendo atividade anti-tubulina ou de ruptura da tubulina. O pedido de patente está pendente de decisão, aguardando o início do exame técnico no INPI.
O pedido de patente de invenção n° BR 112022014552-7 da empresa americana AVIRUS, INC. foi publicado em 25 de outubro de 2022. O pedido de patente refere-se a um polipeptídeo recombinante, composição farmacêutica, método de prevenção ou tratamento de uma infecção viral em um indivíduo que necessita do mesmo, molécula de RNA, composição terapêutica, sistema de expressão, polipeptídeo recombinante para tratar infecção por SARS-CoV-2 e polinucleotídeo que codifica o polipeptídeo recombinante. Os polipeptídios recombinantes são para tratar ou prevenir infecção viral que compreende um fragmento Fc de imunoglobulina e pelo menos um receptor viral ou fragmento do mesmo. Também são fornecidas moléculas de RNA, composições terapêuticas e sistemas de expressão que compreendem tais polipeptídeos recombinantes, juntamente com métodos de prevenção ou tratamento de uma infecção viral em um indivíduo que necessita do mesmo, que compreende administrar tais polipeptídeos recombinantes a um indivíduo ou paciente. O pedido de patente está pendente de decisão, aguardando o início do exame técnico no INPI.
O pedido de patente de invenção n° BR 112022017240-0 da empresa italiana SOFAR S.P.A. foi publicado em 18 de outubro de 2022. O pedido de patente refere-se a cepas bacterianas e composições das mesmas para uso no tratamento de infecções virais do trato respiratório, de preferência por coronavírus, por exemplo um coronavírus da síndrome respiratória aguda grave (COVID-19), ao estimular e/ou modular citocinas e/ou marcadores envolvidos nos processos inflamatórios das ditas infecções virais do trato respiratório). O pedido de patente está pendente de decisão, aguardando o início do exame técnico no INPI.
O pedido de patente de invenção n° BR 102021006986-4 da empresa mexicana SIEGFRIED RHEIN, S.A. DE C.V. foi publicado em 18 de outubro de 2022. O pedido de patente refere-se ao uso de nitazoxanida ou sal farmaceuticamente aceitável para a preparação de um medicamento para a prevenção ou o tratamento de infecção causada pelo coronavírus SARS-CoV-2, em que o medicamento contém 600 mg de nitazoxanida. O pedido de patente está pendente de decisão, aguardando o início do exame técnico no INPI.
O pedido de patente de invenção n° BR 11 2022 017243-5 da empresa italiana SOFAR S.P.A. foi publicado em 18 de outubro de 2022. O pedido de patente refere-se a uma composição que compreende lactoferrina para uso oral como antiviral, de preferência para uso no tratamento de infecções virais do sistema respiratório e de sintomas ou transtornos decorrentes ou relacionados às ditas infecções virais, documento infecção viral SARS-coronavírus (COVID-19). O pedido de patente está pendente de decisão, aguardando o início do exame técnico no INPI.
O pedido de patente de invenção n° BR 112022017923-5 da empresa israelense REDHILL BIOPHARMA LTD. foi publicado em 18 de outubro de 2022. O pedido de patente refere-se a um tratamento de infecção por coronavírus. A presente invenção descreve compostos, composições, métodos e kits para o tratamento de doença mediada por CoV, por exemplo, uma doença causada por SARS-CoV-2, SARS ou MERS. Mais especificamente, a invenção refere-se a inibidores eficazes de coronavírus, que podem tratar coronavírus, inclusive o novo coronavírus 2019. Em uma modalidade, a invenção fornece um novo uso de WX-671 como um inibidor eficaz de coronavírus e sua aplicação na preparação de medicamentos para tratar infecção por coronavírus em seres humanos. Em uma modalidade, a invenção fornece um novo uso de ABC294640 como um inibidor eficaz de coronavírus e sua aplicação na preparação de medicamentos para tratar infecção por coronavírus em seres humanos. O pedido de patente está pendente de decisão, aguardando o início do exame técnico no INPI.
O pedido de patente de invenção n° BR 112022017209-5 da empresa chinesa HENAN GENUINE BIOTECH CO., LTD. foi publicado em 11 de outubro de 2022. O pedido de patente refere-se ao uso de um composto representado pela fórmula (I) ou seus sais farmaceuticamente aceitáveis na preparação de um medicamento para prevenir ou tratar uma doença infecciosa por coronavírus. O composto representado pela fórmula (I) é usado para tratar pacientes com pneumonia por novo coronavírus e demonstra vantagens na taxa de eliminação por teste de ácido nucleico viral, o curso de depuração e o tempo de cura e alta. O pedido de patente está pendente de decisão, aguardando o início do exame técnico no INPI.
O pedido de patente de invenção n° BR 112022017008-4 da empresa espanhola PHARMA MAR, S.A. foi publicado em 11 de outubro de 2022. O pedido de patente refere-se a um composto de fórmula geral (I) em que X, Y, n, p, q, e R1-R17 assumem vários significados, para uso no tratamento de infecção por coronavírus. O pedido de patente está pendente de decisão, aguardando o início do exame técnico no INPI.

O pedido de patente de invenção n° BR 112022015374-0 da empresa americana VIR BIOTECHNOLOGY, INC. foi publicado em 11 de outubro de 2022. O pedido de patente refere-se a anticorpos e fragmentos de ligação ao antígeno dos mesmos que podem se ligar a um antígeno SARS-CoV-2 e, em certas modalidades, são capazes de neutralizar uma infecção por SARS-CoV-2 em um indivíduo. Também são providos polinucleotídeos que codificam um anticorpo ou fragmento de ligação ao antígeno, vetores e células hospedeiras que compreendem um polinucleotídeo, composições farmacêuticas e métodos de uso dos anticorpos, fragmentos de ligação ao antígeno, polinucleotídeos, vetores, células hospedeiras e composições presentemente divulgados para tratar ou diagnosticar uma infecção por sarbecovírus e/ou SARS-CoV-2. O pedido de patente está pendente de decisão, aguardando o início do exame técnico no INPI.
O pedido de patente de invenção n° BR 112022016653-2 da empresa espanhola PHARMA MAR, S.A. foi publicado em 11 de outubro de 2022. O pedido de patente refere-se ao uso de PLD com ainda um ou mais agentes antivirais CoV no tratamento de infecção de coronavírus (CoV). O pedido de patente está pendente de decisão, aguardando o início do exame técnico no INPI.
O pedido de patente de invenção n° BR 112022015479-8 da empresa americana EMORY UNIVERSITY foi publicado em 11 de outubro de 2022. O pedido de patente refere-se a derivados de N4-hidroxicitidina, composições farmacêuticas e métodos relacionados às mesmas. Em certas modalidades, a divulgação se refere ao tratamento ou profilaxia do coronavírus 2019-nCoV humano. O pedido de patente está pendente de decisão, aguardando o início do exame técnico no INPI.
O pedido de patente de invenção n° BR 112022015077-6 da empresa americana GENENTECH, INC., da empresa alemã BIONTECH SE e da empresa chinesa F. HOFFMANN-LA ROCHE AG foi publicado em 04 de outubro de 2022. O pedido de patente refere-se a métodos para induzir células T CD8+ específicas de neoepítopo em um indivíduo ou para induzir o tráfico de células T CD8+ específicas de neoepítopo para um tumor em um indivíduo usando uma vacina de RNA ou usando uma vacina de RNA em combinação com um antagonista de ligação ao eixo PD-1. Também são fornecidos neste documento antagonistas de ligação ao eixo PD-1 e vacinas de RNA que incluem um ou mais polinucleotídeos que codificam um ou mais neoepítopos resultantes de mutações somáticas específicas de câncer presentes em um espécime de tumor obtido do indivíduo para uso em métodos para induzir células T CD8+ específicas de neoepítopo em um indivíduo ou para induzir o tráfego de células T CD8+ específicas de neoepítopos para um tumor em um indivíduo. O pedido de patente está pendente de decisão, aguardando o início do exame técnico no INPI.
O pedido de patente de invenção n° BR 112022018200 - da empresa australiana SYDNEY DAVID CULLIS-HILL foi publicado em 29 de setembro 2022. O pedido de patente refere-se a novos métodos compreendendo a administração de polissulfato de pentosano para tratar ou prevenir infecção por coronavírus e toxicidade associada a citocinas, incluindo toxicidade de citocinas resultante da ativação aberrante do sistema imunológico em doença ou infecção por coronavírus, tais como aquelas de SARS-CoV-2. O pedido de patente está pendente de decisão, aguardando o início do exame técnico no INPI.
O pedido de patente de invenção n° BR112022014981-6 da empresa americana STINGRAY THERAPEUTICS, INC. foi publicado em 27 de setembro de 2022. O pedido de patente refere-se a compostos e métodos para a sua preparação e uso como agentes terapêuticos ou profiláticos, por exemplo, para tratamento de câncer, doenças bacterianas ou virais por direcionamento de Ectonucleotídeo Pirofosfatase/Fosfodiesterase-1 (ENPP1). O pedido de patente está pendente de decisão, aguardando o início do exame técnico no INPI.
O pedido de patente de modelo de utilidade n° BR 102022002332-8 da empresa italiana EPITECH GROUP S.P.A. foi publicado em 27 de setembro de 2022. O pedido de patente refere-se a um método de tratamento de uma infecção por COVID-19 através da administração de uma quantidade eficaz de um composto endógeno desprovido de toxicidade significativa. Em particular, a presente invenção se refere a um método de tratamento de um paciente afetado por infecção por COVID-19, compreendendo a administração de uma quantidade eficaz de uma mistura de palmitoiletanolamida ultramicronizada e palmitoiletanolamida micronizada ao referido paciente. O pedido de patente está pendente de decisão, aguardando o início do exame técnico no INPI.
O pedido de patente de invenção n° BR 102021005336-4 da empresa brasileira NANOSCOPING - SOLUCOES EM NANOTECNOLOGIA LTDA – ME foi publicado em 27 de setembro de 2022. O pedido de patente refere-se a uma composição natural nanoencapsulada a base de óleos essenciais, que contém partículas de tamanho médio, compreendidas na faixa de 50 a 600 nanômetros, sendo preferencialmente entre 100 e 400nm, tendo atividade antiviral, antibacteriana, antifúngica e antisséptica tópica ou atividade desinfetante destinada a assepsia das mãos, superfície e objetos para prevenção de infecções virais ou bacteriana, incluindo a prevenção da COVID-19 causada pelo coronavírus SARS-CoV-2. O pedido de patente está pendente de decisão, aguardando o início do exame técnico no INPI.
O pedido de patente de invenção n° BR 112022015502-6 da empresa americana EIGER BIOPHARMACEUTICALS, INC foi publicado em 27 de setembro de 2022. O pedido de patente refere-se a métodos de tratamento de uma infecção por coronavírus em um indivíduo humano. Em algumas modalidades, o método compreende a administração subcutânea ao indivíduo de uma quantidade terapeuticamente eficaz de interferon peguilado lambda-1a. O pedido de patente está pendente de decisão, aguardando o início do exame técnico no INPI.
O pedido de patente de invenção n° BR 112022014278-1 da empresa americana REGENERON PHARMACEUTICALS, INC. foi publicado em 20 de setembro de 2022. O pedido de patente refere-se a compostos, composições e métodos para o tratamento de doenças e distúrbios associados com influenza, incluindo VX-787 e derivados do mesmo, baloxavir e derivados do mesmo e baloxavir marboxila e derivados do mesmo, e conjugados de fármaco de proteína (por exemplo, anticorpo) dos mesmos. O pedido de patente está pendente de decisão, aguardando o início do exame técnico no INPI.
O pedido de patente de invenção n° BR 112022015046-6 da empresa chinesa DALIAN FUSHENG NATURAL MEDICINE DEVELOPMENT CO., LTD. foi publicado em 20 de setembro de 2022. O pedido de patente refere-se ao uso de forsitina e/ou seus derivados, método para a inibição da proteína 3clpro do vírus covid-19, uso de composição de forsitina/forsitosídeo, métodos para uso contra o vírus causador da COVID-19 ou para o tratamento de doenças causadas pelo coronavírus, composição de forsitina/ forsitosídeo e medicamento compreendendo uma composição de forsitina/forsitosídeo. O pedido de patente de invenção prevê o uso de uma composição de forsitina/forsitosídeo, que tem como alvo e inibe a proteína 3CLpro do vírus COVID-19, na fabricação de um medicamento anticoronavírus ou para o tratamento de doenças causadas por coronavírus. Em que o coronavírus é o vírus SARS-CoV-2 e a doença causada pelo coronavírus é a COVID-19. O pedido de patente está pendente de decisão, aguardando o início do exame técnico no INPI.
O pedido de patente de invenção n° BR 112022015361-9 da empresa coreana HAPLNSCIENCE INC. foi publicado em 20 de setembro de 2022. O pedido de patente refere-se a uma composição farmacêutica para prevenir ou tratar doenças pulmonares, composição de alimentos funcionais para a saúde para melhorar ou prevenir doenças pulmonares e método de prevenção ou tratamento de doenças pulmonares em um indivíduo em necessidade do mesmo. São fornecidas uma proteína de ligação de hialuronano e proteoglicano recombinante 1 (HAPLN1), e uma composição para prevenir ou tratar doenças pulmonares, em que a composição compreende pelo menos um selecionado a partir do grupo que consiste em proteína HAPLN1 (proteína de ligação de hialuronano e proteoglicano 1), um gene que codifica a proteína HAPLN1, e um agente eficaz para promover a expressão ou ativação das funções de gene ou proteína HAPLN1 como um ingrediente ativo. A HAPLN1 recombinante de acordo com a presente revelação pode ter efeitos superiores de melhoria dos danos alveolares causados pelo envelhecimento ou redução de elastina e, assim, pode prevenir ou tratar de modo eficaz as doenças pulmonares, como bronquite crônica, asma, enfisema e doença pulmonar obstrutiva crônica. O pedido de patente está pendente de decisão, aguardando o início do exame técnico no INPI.
O pedido de patente de invenção n° BR 112022011098-7 da empresa francesa SANOFI BIOTECHNOLOGY foi publicado em 20 de setembro de 2022. O pedido de patente refere-se métodos para tratamento de distúrbios relacionados a il-4/il-13 digitalmente identificados que correspondem a vários distúrbios com anticorpos anti-IL-4Ralfa e fragmentos dos mesmos. O pedido de patente está pendente de decisão, aguardando o início do exame técnico no INPI.
O pedido de patente de invenção n° BR 112022013888-1 da empresa suíça F. HOFFMANN-LA ROCHE AG foi publicado em 13 de setembro de 2022. O pedido de patente refere-se a um método para reduzir a quantidade de impurezas não agregadas relacionadas ao produto (NAPRIs) em uma solução tamponada de anticorpos monoclonais (mAbs), envolvendo o uso de um filtro de profundidade sintético. A invenção pode ser útil na purificação de anticorpos monoclonais. O pedido de patente está pendente de decisão, aguardando o início do exame técnico no INPI.
O pedido de patente de invenção n° BR 112022014578-0 da empresa americana SIRNAOMICS, INC. foi publicado em 13 de setembro de 2022. O pedido de patente refere-se as composições e métodos para o desenvolvimento de terapias de siRNA potentes para prevenção e tratamento de infecções pelo Corona Vírus (2019-nCoV; COVID-19) são fornecidas. As composições incluem uma composição farmacêutica compreendendo coquetéis de siRNA que têm como alvo os genes virais críticos e transportadores de nanopartículas poliméricas farmaceuticamente aceitáveis e veículos de nanopartículas lipossômicas. Métodos de administração para prevenção e tratamento são fornecidos, incluindo instilação nas vias aéreas, injeções subcutâneas e aerossolização por nebulização. O pedido de patente está pendente de decisão, aguardando o início do exame técnico no INPI.
O pedido de patente de invenção n° BR 112022014114-9 da empresa indiana SAMI-SABINSA GROUP LIMITED foi publicado em 13 de setembro de 2022. O pedido de patente refere-se a uma composição que compreende não menos do que bisdemetoxicurcumina a 20 % em p/p para regeneração de células alveolares danificadas em condições enfisematosas e para o gerenciamento terapêutico de doenças pulmonares obstrutivas crônicas e síndrome de angústia respiratória aguda. A composição compreende adicionalmente demetoxicurcumina a 10-35 % em p/p e curcumina a 10-45 % em p/p. A composição é muito adequada para tratar COPD e ARDS devido a infecções virais, especialmente COVID 19 e para aprimorar a função pulmonar durante a prognose. O pedido de patente está pendente de decisão, aguardando o início do exame técnico no INPI.
O pedido de patente de invenção n° BR 112022011143-6 da universidade belga UNIVERSITEIT GENT foi publicado em 23 de agosto de 2022. O pedido de patente refere-se ao campo de vetores não virais e a composições farmacêuticas compreendendo polipropilenoimina e a um ácido nucleico, e a seu uso na medicina veterinária ou humana. Mais precisamente, refere-se a composições farmacêuticas compreendendo um polímero ou copolímero de polipropilenoimina para o fornecimento ou a transfecção de um ácido nucleico, por exemplo, RNA. As composições farmacêuticas descritas são particularmente úteis para a vacinação (ácido nucleico), terapia de proteína à base de ácido nucleico, terapia de substituição de proteína à base de ácido nucleico, edição genética, edição de base, terapia celular, imunoterapia, terapia de células tronco, medicina regenerativa, silenciamento de gene, inibição de ácido nucleico ou inibição de proteína. O pedido de patente está pendente de decisão, aguardando o início do exame técnico no INPI.
O pedido de patente de invenção n° BR 11 2022 010680-7 das empresas alemã e francesa respectivamente EVOTEC INTERNATIONAL GMBH e SANOFI foi publicado em 16 de agosto de 2022. O pedido de patente refere-se às novas proteínas de ligação ao antígeno associado ao interferon, bem como aos ácidos nucleicos, vetores e sistemas de vetor que codificam tais proteínas de ligação ao antígeno associado ao interferon. A presente invenção também se refere às composições farmacêuticas que compreendem as proteínas de ligação ao antígeno associado ao interferon, ácidos nucleicos, vetores e sistemas de vetor. As novas proteínas de ligação ao antígeno associado ao interferon fornecem melhoras benéficas sobre o estado atual da técnica, por exemplo, pelo fato de que elas interrompem eficazmente a replicação viral e, assim, reduzem a carga viral do HBV. Assim, a presente invenção também fornece usos médicos de tais proteínas de ligação ao antígeno associado ao interferon, ácidos nucleicos, vetores, sistemas de vetor e composições, por exemplo, no tratamento da infecção pelo vírus da hepatite B (HBV) e/ou para reduzir um ou mais sintomas de infecção por HBV em um indivíduo. O presente pedido de patente de invenção também fornece células hospedeiras que compreendem tais ácidos nucleicos, vetores e sistemas de vetores, bem como métodos de produção das proteínas de ligação ao antígeno associado ao interferon de acordo com a invenção usando as referidas células hospedeiras. O pedido de patente está pendente de decisão, aguardando o início do exame técnico no INPI.
O pedido de patente de invenção n° BR 112022011017-0 da empresa japonesa NIPPON SHINYAKU CO., LTD. foi publicado em 16 de agosto de 2022. O pedido de patente refere-se a um composto que tem uma atividade inibitória contra o receptor quinase de PDGF. A presente invenção inclui, por exemplo, um composto representado seguinte fórmula [I] ou um sal farmaceuticamente aceitável do composto, ou um solvato do composto. O composto da presente invenção tem uma atividade inibitória contra o receptor quinase de PDGF. Devido à atividade inibitória do mesmo contra o receptor quinase de PDGF, o composto da presente invenção é útil como um agente terapêutico para doenças respiratórias, câncer, doenças proliferativas do músculo liso, doenças vasculares proliferativas, doenças autoimunes/inflamatórias, doenças metabólicas, doenças vasculares obstrutivas, e similares. O pedido de patente está pendente de decisão, aguardando o início do exame técnico no INPI.

O pedido de patente de invenção n° BR 102022000321-1 das empresas brasileiras REMER CONSULTORES ASSESSORIA EMPRESARIAL LTDA. e PROTEIMAX BIOTECNOLOGIA LTDA foi publicado em 02 de agosto em 2022. O pedido de patente refere-se ao uso de um composto ou de uma combinação de compostos para a preparação de uma composição farmacêutica para reduzir os níveis de TNFa, IL-6, e/ou IL-1ß. A invenção é útil para o tratamento de distúrbios imunes ou metabólicos associados a elevados níveis de TNFa, IL-6, IL-1ß, ou a elevados níveis de ACE2 e as respectivas consequências cardíacas, renais e de pressão arterial, incluindo também os problemas associados a terapias envolvendo anticorpos, como os monoclonais, ou terapias celulares, como a CAR-T, ou de condições como hipertensão, miocardite, pericardite, coagulopatias, eventos trombóticos, cardiovasculares ou renais, ou diabetes tipo 2, e doenças causadas por vírus como o da influenza ou coronavírus, incluindo a COVID-19. A administração in vivo da composição da invenção proporcionou resultados surpreendentes na modulação dos níveis de citocinas em mamíferos, citocinas estas que estão relacionadas a elevados níveis de ACE2, se mostraram correlacionadas à gravidade da doença associada ao SarsCov2 (COVID-19) e vêm sendo apontadas como marcadores indicativos do prognóstico de sua gravidade, e também são relacionadas à miocardite, pericardite, coagulopatias, eventos trombóticos ou cardiovasculares e distúrbios imunes ou metabólicos. É também revelada uma composição farmacêutica e um método terapêutico para o tratamento destas condições. O pedido de patente está pendente de decisão, aguardando o início do exame técnico no INPI.
O pedido de patente de invenção n° BR 11 2022 009834-0 da empresa corena BIONEER CORPORATION foi publicado em 02 de agosto 2022. O pedido de patente refere-se a um oligonucleotídeo de fita dupla CTGF-específico, constructo, nanopartículas e composições farmacêuticas para prevenir ou tratar fibrose e doenças respiratórias e formulações liofilizadas. O pedido de patente está pendente de decisão, aguardando o início do exame técnico no INPI.
O pedido de patente de invenção n° BR 112022008097-2 da empresa chinesa NOVARTIS AG foi publicado em 02 de agosto de 2022. O pedido de patente refere-se a formulações farmacêuticas de um anticorpo contra P-selectina humana; especialmente, SEG101, ou um anticorpo que tem, no máximo, diferença de 3 aminoácidos do crizanlizumabe e a processos para a preparação dos mesmos e usos das formulações. O pedido de patente está pendente de decisão, aguardando o início do exame técnico no INPI.
O pedido de patente de invenção n° BR 112022003611-6 da empresa russa FEDERAL STATE BUDGETARY INSTITUTION ''NATIONAL RESEARCH CENTRE FOR EPIDEMIOLOGY AND MICROBIOLOGY NAMED AFTER THE HONORARY ACADEMICIAN N.F. GAMALEYA'' OF THE MINISTRY OF HEALTH OF THE RUSSIAN FEDERATIO foi publicado em 26 de julho de 2022. O pedido de patente refere-se a um agente farmacêutico para induzir imunidade contra SARS-Cov-2 que contém componente, compreendendo agente na forma de genoma de adenovírus humano recombinante sorotipo (26), com cassete de expressão colocado selecionado de SEQ ID NO: 1, 2, 3, e que contém o componente compreendendo agente na forma de genoma de adenovírus humano recombinante sorotipo, com cassete de expressão colocado selecionado a partir de SEQ ID NO: 1, 2, 3. É criado um agente farmacêutico, que contém componente 1, compreendendo agente na forma de genoma de adenovírus humano recombinante sorotipo (26), com cassete de expressão colocado selecionado a partir de SEQ ID NO: 1, 2, 3, e que contém o componente, compreendendo agente na forma de genoma de adenovírus símio recombinante sorotipo (25), com cassete de expressão colocado selecionado a partir de SEQ ID NO: 4, 2, 3. É criado agente farmacêutico, que contém o componente 1, compreendendo agente na forma de genoma de adenovírus símio recombinante sorotipo (25), com cassete de expressão colocado selecionado a partir de SEQ ID NO: 4, 2, 3, e que contém o componente compreendendo agente na forma de um genoma de adenovírus humano recombinante sorotipo, com um cassete de expressão colocado selecionado a partir de SEQ ID NO: 1, SEQ ID NO: 2, SEQ ID NO: 3. O pedido de patente está pendente de decisão, aguardando o início do exame técnico no INPI.
O pedido de patente de invenção n° BR 112022008730-6 da empresa coreana GOOD T CELLS, INC. foi publicado em 19 de julho de 2022. O pedido de patente refere-se a um epítopo da proteína Lrig-1 (domínios semelhantes à imunoglobulina 1 e repetições ricas em leucina), que é um antígeno presente na superfície de uma célula T reguladora, e um anticorpo ou fragmento de ligação a antígeno que se liga especificamente ao mesmo. O pedido de patente está pendente de decisão, aguardando o início do exame técnico no INPI.
O pedido de patente de invenção n° BR 11 2022 008629 6 da empresa italiana ENTHERA S.R.L. foi publicado em 19 de julho de 2022. O pedido de patente refere-se a anticorpos ou fragmentos de ligação a antígeno dos mesmos que se ligam especificamente ao receptor IGFBP3, especificamente TMEM219, a métodos para sua produção, composições farmacêuticas contendo os ditos anticorpos, e usos dos mesmos. O pedido de patente está pendente de decisão, aguardando o início do exame técnico no INPI.
O pedido de patente de invenção n° BR 112022001080-0 da empresa americana JANSSEN BIOTECH, INC foi publicado em 19 de julho de 2022. O pedido de patente refere-se a domínios VHH que se ligam ao pIgR. O domínio VHH pode competir com a ligação de IgA ao pIgR, ou alternativamente, o domínio VHH pode competir com a ligação de IgA ao pIgR. Os domínios VHH podem ser acoplados a agentes terapêuticos, de modo a facilitar a liberação do agente terapêutico à camada de mucosa por transcitose mediada por pIgR. O agente terapêutico pode ser uma molécula pequena, uma molécula grande ou mesmo um anticorpo. O pedido de patente está pendente de decisão, aguardando o início do exame técnico no INPI.
O pedido de patente de invenção n° BR 112022008039-5 da empresa samoana PRIME REACH TRADING LIMITED foi publicado em 12 de julho de 2022. O pedido de patente refere-se a compostos de 4-amino-imidazoquinolina e usos relacionados. Os compostos da invenção são receptores tipo Toll 7 (TLR7) e agonistas duplos de TLR8, que exibem atividades na indução da expressão de IL-12 e IP-10 sem superindução de IL-6. Os agonistas duplos de TLR 7/8 são medicamentos potencialmente úteis como modificadores da resposta imune. É divulgado o uso de um composto ou sal relacionado, de acordo com a invenção, na fabricação de um medicamento para tratamento de uma doença ou condição em que a ativação de TLR7 e/ou TLR8 proporciona benefícios para um sujeito em necessidade. É divulgado, ainda, um composto ou uma composição farmacêutica para uso no tratamento de uma infecção viral, câncer e/ou uma doença alérgica, ou para uso na ativação de respostas imunes que são eficazes contra uma infecção viral, um tumor e/ou uma doença alérgica em um sujeito em necessidade. O pedido de patente está pendente de decisão, aguardando o início do exame técnico no INPI.
O pedido de patente de invenção n° BR 112022008004-2 da empresa americana TRANEXAMIC TECHNOLOGIES, LLC foi publicado em 12 de julho de 2022. O pedido de patente refere-se composição, método e kit para intensificar a eficácia de um agente farmacêutico. Em uma modalidade, a presente descrição se refere a uma composição para intensificar a eficácia de um agente farmacêutico. Em algumas modalidades, a composição inclui um análogo, derivado, mimético ou pró-fármaco sintético de lisina e o agente farmacêutico. Em algumas modalidades, o análogo, derivado, mimético ou pró-fármaco sintético de lisina e o agente antiviral formam uma combinação sinérgica. Em uma modalidade adicional, a presente descrição refere-se a um método para intensificar a eficácia do agente farmacêutico que geralmente inclui administrar a combinação sinérgica a um indivíduo com necessidade da mesma. Em outra modalidade, a presente descrição refere-se a um kit para intensificar a eficácia do agente farmacêutico que geralmente inclui a combinação sinérgica. O pedido de patente está pendente de decisão, aguardando o início do exame técnico no INPI.
O pedido de patente de invenção n° BR 112022007299-6 da empresa americana OPHIREX, INC foi publicado em 05 de julho de 2022. O pedido de patente refere-se ao tratamento precoce, incluindo tratamento pré-diagnóstico, de sepse e síndromes inflamatórias agudas, como síndrome de resposta inflamatória sistêmica (SRIS) por inibidores de PLA2 e metaloprotease para melhorar o desempenho de antibióticos e resultados antes e após a confirmação do diagnóstico de sepse e/ou SRIS em um paciente ou sujeito. Modalidades adicionais incluem métodos de tratamento de sepse, antraz e coronavírus de síndrome respiratória aguda grave (SARS e SARS-CoV2) e síndromes e composições inflamatórias relacionadas, incluindo composições farmacêuticas e composições de amostras de sangue. Em modalidades adicionais, a presente invenção é direcionada a modalidades que evidenciam que LY315920, LY333013 e inibidores de sPLA2 relacionados são terapêuticos-profiláticos da síndrome de liberação de COVID-19/citocinas particularmente eficazes. Em modalidades, o inibidor de PLA2 é varespladib (LY3 l 5920), metil varespladib (LY3330I 3), AZD2716-(R)-ácido 3-(5'-benzil-2'-carbamoil-[1,1'bifenil]-3-il)-2-metilpropanoico como uma mistura racêmica ou separadamente, como o enantiômero R) e LY433771 (ácido (9-[(fenil)metil]-5-carbamoilcarbazol-4-il) oxiacético), um sal farmaceuticamente aceitável dos mesmos ou uma mistura dos mesmos. Em modalidades, o inibidor de metaloprotease é Prinomastat, Batimastat, marimastat ou vorinostat dosado sozinho ou em combinação com inibidores de sPLA2 preferidos para o tratamento de infecções, condições inflamatórias e feridas decorrentes de várias causas. Métodos e composições para alcançar o tratamento acelerado de feridas e queimaduras, complicações causadas pela toxina metaloprotease do antraz (fator letal), ARDS, síndrome do desconforto respiratório agudo neonatal e pediátrico (ARDS neonatal/pediátrica), incluindo síndrome de aspiração de mecônio também são divulgados.. O pedido de patente está pendente de decisão, aguardando o início do exame técnico no INPI.
O pedido de patente de invenção n° BR 112022007299-6 da empresa americana OPHIREX, INC foi publicado em 05 de julho de 2022. O pedido de patente refere-se ao tratamento precoce, incluindo tratamento pré-diagnóstico, de sepse e síndromes inflamatórias agudas, como síndrome de resposta inflamatória sistêmica (SRIS) por inibidores de PLA2 e metaloprotease para melhorar o desempenho de antibióticos e resultados antes e após a confirmação do diagnóstico de sepse e/ou SRIS em um paciente ou sujeito. Modalidades adicionais incluem métodos de tratamento de sepse, antraz e coronavírus de síndrome respiratória aguda grave (SARS e SARS-CoV2) e síndromes e composições inflamatórias relacionadas, incluindo composições farmacêuticas e composições de amostras de sangue. Em modalidades adicionais, a presente invenção é direcionada a modalidades que evidenciam que LY315920, LY333013 e inibidores de sPLA2 relacionados são terapêuticos-profiláticos da síndrome de liberação de COVID-19/citocinas particularmente eficazes. Em modalidades, o inibidor de PLA2 é varespladib (LY3 l 5920), metil varespladib (LY3330I 3), AZD2716-(R)-ácido 3-(5'-benzil-2'-carbamoil-[1,1'bifenil]-3-il)-2-metilpropanoico como uma mistura racêmica ou separadamente, como o enantiômero R) e LY433771 (ácido (9-[(fenil)metil]-5-carbamoilcarbazol-4-il) oxiacético), um sal farmaceuticamente aceitável dos mesmos ou uma mistura dos mesmos. Em modalidades, o inibidor de metaloprotease é prinomastat, batimastat, marimastat ou vorinostat dosado sozinho ou em combinação com inibidores de sPLA2 preferidos para o tratamento de infecções, condições inflamatórias e feridas decorrentes de várias causas. Métodos e composições para alcançar o tratamento acelerado de feridas e queimaduras, complicações causadas pela toxina metaloprotease do antraz (fator letal), ARDS, síndrome do desconforto respiratório agudo neonatal e pediátrico (ARDS neonatal/pediátrica), incluindo síndrome de aspiração de mecônio também são divulgados. O pedido de patente está pendente de decisão, aguardando o início do exame técnico no INPI.
O pedido de patente de invenção n° BR 102020026481-8 das empresas brasileiras CECIL S/A LAMINAÇÃO DE METAIS e INSTITUTO DE PESQUISAS TECNOLÓGICAS DO Est.S.Paulo S/A foi publicado em 05 de julho de 2022. O pedido de patente refere-se a um produto constituído por nanopartículas de cobre metálico com atividade antimicrobiana e antiviral revestidas com um biopolímero de polissacarídeos, ou um surfactante catiônico para aplicação como agente antimicrobiano, e antiviral ou seja, com ação biocida por efeito de superfície de contato, podendo ser utilizado na área da agricultura, na área da veterinária, na área hospitalar e ambientes diversos. O pedido de patente está pendente de decisão, aguardando o início do exame técnico no INPI.
O pedido de patente de invenção n° BR 112022004906-4 da empresa americana PACIRA THERAPEUTICS, INC. foi publicado em 28 de junho de 2022. O pedido de patente refere-se a composições farmacêuticas e métodos de uso de composições farmacêuticas compreendendo dosagens eficazes de um sistema deliberação e expressão biológica à base de adenovírus para o uso no tratamento ou prevenção de osteoartrite em articulações de humanos ou mamíferos por expressão gênica induzível a longo prazo de antagonista do receptor de interleucina-1 de humanos ou mamíferos (IL-1Ra) em células sinoviais, compreendendo um vetor adenoviral dependente de auxiliar contendo uma sequência de ácido nucleico que codifica um antagonista do receptor de interleucina-1 de humanos ou mamíferos (IL-1Ra), repetições terminais invertidas à esquerda e direita (L ITR e R ITR), o sinal de empacotamento adenoviral e não viral e sequências stuffer de ácido nucleico não codificantes, em que a expressão do gene antagonista do receptor de interleucina-1 de humanos ou mamíferos (IL-1Ra) dentro de células sinoviais é regulada por um promotor sensível à inflamação. O pedido de patente está pendente de decisão, aguardando o início do exame técnico no INPI.
O pedido de patente de invenção n° BR 11 2022 006298 2 da empresa americana ENANTA PHARMACEUTICALS, INC. foi publicado em 28 de junho de 2022. O pedido de patente refere-se a compostos de Fórmula (I), ou ésteres, pro-fármacos ou sais farmaceuticamente aceitáveis dos mesmos: que inibem inibidores de Vírus Sincicial Respiratório Humano (HRSV) ou Metapneumovírus Humano (HMPV). A presente invenção se refere ainda a composições farmacêuticas compreendendo os compostos supracitados para administração a um indivíduo que sofre de infecção por HRSV ou HMPV. A invenção também se refere a métodos para tratar uma infecção por HRSV ou HMPV em um indivíduo ao administrar uma composição farmacêutica compreendendo os compostos da presente invenção. O pedido de patente está pendente de decisão, aguardando o início do exame técnico no INPI.
O pedido de patente de invenção n° BR 112022004941-2 da empresa suíça NOVARTIS AG foi publicado em 28 de junho de 2022. O pedido de patente refere-se a métodos para tratar pacientes com doenças autoimunes, por exemplo, métodos para tratar artrite psoriática (PsA) ou espondiloartrite axial (axSpA), por exemplo, espondiloartrite axial não radiográfica (nr-axSpA) ou espondilite anquilosante (EA), com o uso de antagonistas de IL-17, por exemplo, anticorpos de IL-17, como secuquinumabe. A invenção também se refere a métodos para inibir a progressão de danos estruturais em pacientes com PsA e axSpA com o uso de antagonistas de IL-17, por exemplo, anticorpos de IL-17, como secuquinumabe. A presente invenção também fornece medicamentos, formulações farmacêuticas, formas de dosagem e kits para uso nos métodos descritos. O pedido de patente está pendente de decisão, aguardando o início do exame técnico no INPI.
O pedido de patente de invenção n° BR 112022004776-2 da empresa americana OPSIDIO, LLC foi publicado em 21 de junho de 2022. O pedido de patente refere-se a anticorpos e seus fragmentos de ligação ao antígeno que se ligam ao Fator de Células-Tronco (SCF). Os anticorpos e seus fragmentos de ligação ao antígeno se ligam especificamente a SCF248. A presente invenção ainda se refere a métodos para produzir os anticorpos e a métodos de uso dos anticorpos, incluindo métodos de tratamento para doenças inflamatórias e/ou doenças e distúrbios fibróticos. O pedido de patente está pendente de decisão, aguardando o início do exame técnico no INPI.
O pedido de patente de invenção n° BR 112022004767-3 da empresa russa FEDERAL STATE BUDGETARY INSTITUTION ''NATIONAL RESEARCH CENTRE FOR EPIDEMIOLOGY AND MICROBIOLOGY NAMED AFTER THE HONORARY ACADEMICIAN N.F. GAMALEYA'' OF THE MINISTRY OF HEALTH OF THE RUSSIAN FEDERATION foi publicado em 21 de junho de 2022 e teve o trâmite prioritário admitido em 12 de julho de 2022. O pedido de patente refere-se a um agente de biomolécula para induzir imunidade específica contra o vírus da síndrome respiratória aguda grave SARS-CoV-2, na forma líquida, que contém um único componente ativo, compreendendo o vetor de expressão incluindo: o genoma da cepa recombinante de adenovírus humano sorotipo 26 ou 5, em que as regiões E1 e E3 são deletadas, o vetor com um cassete de expressão integrado selecionado a partir de SEQ ID NO:1, SEQ ID NO:2 ou SEQ ID NO:3; ou a cepa recombinante de adenovírus símio sorotipo 25, em que as regiões E1 e E3 são deletadas, o vetor com um cassete de expressão integrado selecionado a partir de SEQ ID NO:4, SEQ ID NO:2 ou SEQ ID NO:3. A cepa recombinante de adenovírus humano sorotipo 26 pode incluir a região ORF6-Ad26 substituída por ORF6-Ad5. Uma solução de tampão do agente na forma líquida contém o seguinte, % em massa: tris de 0,1831 a 0,3432; cloreto de sódio de 0,3313-0,6212; sacarose de 3,7821-7,0915; cloreto de magnésio hexa-hidratado de 0,0154-0,0289; EDTA de 0,0029-0,0054; polissorbato-80 de 0,0378-0,0709; etanol 95% de 0,0004-0,0007; e água para encher. O agente pode ser administrado por rotinas intranasais e/ou intramusculares. A presente invenção promove respostas imunes humorais e mediadas por células contra o vírus SARS-CoV-2 entre amplos estratos da população. O pedido de patente foi examinado pelo INPI e foi indeferido em primeira instância.
O pedido de patente de invenção n° BR 112022005995-7 da empresa americana ADIMAB, LLC foi publicado em 21 de junho de 2022. O pedido de patente refere-se a variantes de domínio CH1 manipuladas para ligação preferencial a um domínio kappa CL ou a um domínio lambda CL, bem como polipeptídeos, por exemplo, cadeias pesadas de anticorpos ou anticorpos, compreendendo tais variantes de domínio CH1 manipuladas e composições farmacêuticas compreendendo tais variantes de domínio CH1 e/ou tais polipeptídeos e métodos para fazer e usar tais variantes de domínio CH1 são fornecidas. As variantes do domínio CH1 minimizam o emparelhamento incorreto de cadeia pesada-cadeia leve e promovem o emparelhamento cognato de cadeia pesada-cadeia leve, melhorando assim a geração de anticorpos multiespecíficos, por exemplo, biespecíficos. Também são fornecidos métodos para fazer bibliotecas de variantes de domínio CH1 e métodos para identificar uma ou mais variantes de domínio CH1. O pedido de patente está pendente de decisão, aguardando o início do exame técnico no INPI.
O pedido de patente de invenção n° BR 112022005026-7 da empresa americana TOTUS MEDICINES INC. foi publicado em 21 de junho de 2022. O pedido de patente refere-se a conjugados terapêuticos que se ligam covalentemente a um alvo biológico. Também são fornecidos, neste documento, métodos de administração das composições a um indivíduo em necessidade. O pedido de patente está pendente de decisão, aguardando o início do exame técnico no INPI.
O pedido de patente de invenção n° BR 112021025720-9 da empresa americana ICONIC THERAPEUTICS, INC. e da empresa canadense ZYMEWORKS INC. foi publicado em 21 de junho de 2022. O pedido de patente refere-se a anticorpos que se ligam especificamente ao fator tecidual humano (TF), conjugados anticorpo-fármaco (ADCs) anti-TF e composições compreendendo os anticorpos ou ADCs. Também são fornecidos, no presente documento, métodos para produzir e usar os anticorpos ou ADCs, tais como agentes terapêuticos e métodos de diagnóstico. O pedido de patente está pendente de decisão, aguardando o início do exame técnico no INPI.
O pedido de patente de invenção n° BR 112022001255-1 da empresa americana GENZYME CORPORATION foi publicado em 14 de junho de 2022. O pedido de patente refere-se a métodos de tratamento de um distúrbio mediado por anticorpos (por exemplo, uma doença autoimune) usando um antagonista de FcRn, por exemplo, um polipeptídeo de ligação (por exemplo, um anticorpo e/ou uma imunoadesina), compreendendo um domínio Fc modificado. A presente invenção também se refere a métodos de aprimoramento de diagnóstico por imagem usando um antagonista de FcRn. A presente invenção refere-se ainda a métodos de redução da exposição de tecido normal a um anticorpo radiomarcado durante o diagnóstico por imagem usando um antagonista de FcRn descrito no presente relatório descritivo. Também são fornecidos métodos que compreendem administração a um indivíduo de uma quantidade terapeuticamente eficaz de um antagonista de FcRn descrito no presente relatório descritivo. O pedido de patente está pendente de decisão, aguardando o início do exame técnico no INPI.
O pedido de patente de invenção n° BR 112022000965-8 da empresa americana BRII BIOSCIENCES, INC foi publicado em 14 de junho de 2022. O pedido de patente refere-se a um pró-fármaco derivado de adenosina que pode ter atividade inibidora da transcriptase reversa in vivo. Esta divulgação também é direcionada a uma composição farmacêutica compreendendo o derivado de adenosina que pode ser usado para o tratamento de infecção por HIV ou infecção por vírus de RNA. O pedido de patente está pendente de decisão, aguardando o início do exame técnico no INPI.
O pedido de patente de invenção n° BR 112022004910-2 da empresa americana UNIVERSITY OF UTAH RESEARCH FOUNDATION foi publicado em 07 de junho de 2022. O pedido de patente refere-se a compostos de benzimidazol e métodos de uso desses compostos para o tratamento de hepatite (por exemplo, hepatite C), infecções por vírus de RNA (por exemplo, vírus da Zika, vírus da dengue, vírus de Powassan, vírus da Chikungunya, enterovírus, vírus sintático respiratório (VSR), febre do Vale do Rift, vírus da gripe, vírus Tacaribe, vírus Mayaro, vírus do Nilo Ocidental, vírus da febre amarela e coronavírus) e distúrbios de proliferação celular descontrolada (por exemplo, câncer). O pedido de patente está pendente de decisão, aguardando o início do exame técnico no INPI.
O pedido de patente de invenção n° BR 112022004910-2 da universidade americana UNIVERSITY OF UTAH RESEARCH FOUNDATION foi publicado em 07 de junho de 2022. O pedido de patente refere-se a compostos de benzimidazol e métodos de uso desses compostos para o tratamento de hepatite, infecções por vírus de RNA (por exemplo, vírus da Zika, vírus da dengue, vírus de Powassan, vírus da Chikungunya, enterovírus, vírus sintático respiratório (VSR), febre do Vale do Rift, vírus da gripe, vírus Tacaribe, vírus Mayaro, vírus do Nilo Ocidental, vírus da febre amarela e coronavírus) e distúrbios de proliferação celular descontrolada (por exemplo, câncer). O pedido de patente está pendente de decisão, aguardando o início do exame técnico no INPI.
O pedido de patente de invenção n° BR 112022001338-8 da empresa americana MAYO FOUNDATION FOR MEDICAL EDUCATION AND RESEARCH foi publicado em 07 de junho de 2022. O pedido de patente refere-se a preparações de exossoma e/ou Produto de Exossoma Purificado (PEP) incluem proteínas antioxidantes e proteínas antivirais. As composições que incluem exossomas e/ou PEP podem ser usadas para tratar um indivíduo que tem ou que está em risco de ter uma condição ou dano tecidual causado, pelo menos em parte pelo estresse oxidativo. As composições que incluem exossomas e/ou PEP também podem ser usadas para tratar um indivíduo que tem ou está em risco de ter uma infecção viral. O pedido de patente está pendente de decisão, aguardando o início do exame técnico no INPI.
O pedido de patente de invenção n° BR 112022003745-7 da empresa suíça NOVARTIS AG foi publicado em 31 de maio de 2022. O pedido de patente refere-se a proteínas de fusão adequadas para uso como um medicamento ou ferramenta de pesquisa. Os usos terapêuticos das proteínas de fusão podem incluir a prevenção ou o tratamento de distúrbios microvasculares e de órgão acionados por sistema imunológico e inflamatório agudos ou crônicos, por exemplo, lesão renal aguda, síndrome do desconforto respiratório agudo, sepse, infarto do miocárdio agudo, fibrose de tecido e outras lesões em órgão que resultam do trauma no tecido. O pedido de patente está pendente de decisão, aguardando o início do exame técnico no INPI.
O pedido de patente de invenção n° BR 112022004058-0 da empresa americana CIDARA THERAPEUTICS, INC. foi publicado em 31 de maio de 2022. O pedido de patente refere-se a composições e métodos para o tratamento de infecções virais incluem conjugados contendo inibidores da neuraminidase viral (por exemplo, zanamivir, peramivir ou análogos dos mesmos) ligados a um monômero Fc, um domínio Fc e um peptídeo de ligação a Fc, uma proteína de albumina ou peptídeo de ligação à albumina. Em particular, os conjugados podem ser usados no tratamento de infecções virais (por exemplo, infecções virais de influenza) O pedido de patente está pendente de decisão, aguardando o início do exame técnico no INPI.
O pedido de patente de invenção n° BR 112022004058-0 da empresa americana CIDARA THERAPEUTICS, INC. foi publicado em 31 de maio de 2022. O pedido de patente refere-se a composições e métodos para o tratamento de infecções virais incluem conjugados contendo inibidores da neuraminidase viral (por exemplo, zanamivir, peramivir ou análogos dos mesmos) ligados a um monômero Fc, um domínio Fc e um peptídeo de ligação a Fc, uma proteína de albumina ou peptídeo de ligação à albumina. Em particular, os conjugados podem ser usados no tratamento de infecções virais (por exemplo, infecções virais de influenza). O pedido de patente está pendente de decisão, aguardando o início do exame técnico no INPI.
O pedido de patente de invenção n° BR 112022003868-2 da empresa chinesa AKESO BIOPHARMA, INC foi publicado em 31 de maio de 2022. O pedido de patente refere-se a um anticorpo, polipeptídeo, polinucleotídeo, vetor, célula hospedeira, método para preparar o anticorpo monoclonal anti-CD47, conjugado de anticorpo, anticorpo multiespecífico, proteína de fusão, kit, linhagem de células de hibridoma, usos do anticorpo, composição farmacêutica, método in vivo ou in vitro, em que o anticorpo é secretado pela linhagem de células de hibridoma depositada na CCTCC sob o nº: C2018135. O pedido de patente está pendente de decisão, aguardando o início do exame técnico no INPI.
O pedido de patente de invenção n° BR 112022003673-6 da empresa alemã ATRIVA THERAPEUTICS GMBH foi publicado em 24 de maio de 2022. O pedido de patente refere-se a inibidores de MEK que são capazes de exibir um ou mais efeitos terapêuticos benéficos. Os inibidores de MEK podem ser usados na prevenção e/ou tratamento de infecção viral. Os inibidores de MEK em combinação com inibidores de endonuclease dependente de cap são capazes de exibir um ou mais efeitos terapêuticos benéficos no tratamento de doenças virais. O pedido de patente está pendente de decisão, aguardando o início do exame técnico no INPI.
O pedido de patente de invenção n° BR 11 2022 003814-3 da empresa americana G TECH BIO LLC foi publicado em 24 de maio de 2022. O pedido de patente refere-se a composições e métodos para tratar infecções virais. A presente invenção fornece métodos e composições que usam constructos de ácidos nucleicos recombinantes ou uma partícula similar a vírus incompetente para replicação que codifica uma quimiocina, citocina ou proteína indutora de apoptose (por exemplo, Caspase 9 (Casp9)), ou outras toxinas em uma forma que só pode ser transcrita na presença de uma polimerase viral. Estes métodos podem ser adaptados para atingir muitas infecções virais e reduzir ou eliminar a carga viral e fornecer um tratamento fundamentalmente diferente para infecções virais. O pedido de patente está pendente de decisão, aguardando o início do exame técnico no INPI.
O pedido de patente de invenção n° BR 112022003434-2 das empresas coreanas DAEWOONG THERAPEUTICS INC. e DAEWOONG PHARMACEUTICAL CO., LTD. foi publicado em 24 de maio de 2022. O pedido de patente refere-se a uma composição farmacêutica para prevenção ou tratamento de infecções por coronavírus, a composição farmacêutica compreendendo uma composição de liberação retardada de niclosamida ou um sal farmaceuticamente aceitável da mesma. Além disso, refere-se a um método para prevenção ou tratamento de infecções por coronavírus usando a composição de liberação retardada. O pedido de patente está pendente de decisão, aguardando o início do exame técnico no INPI.
O pedido de patente de invenção n° BR 112022001359-0 das empresas chinesas SHANGHAI HENLIUS BIOTECH, INC., SHANGHAI HENLIUS BIOPHARMACEUTICAL CO., LTD. e SHANGHAI HENLIUS BIOLOGICS CO., LTD. foi publicado em 24 de maio de 2022. O pedido de patente refere-se a anticorpos anti-CD73, variantes e fragmentos de ligação ao antígeno dos mesmos. Os anticorpos, as variantes e os fragmentos de ligação ao antígeno dos mesmos se ligam a CD73 humano com alta afinidade e suprimem a atividade enzimática de CD73 e, opcionalmente, induzem a internalização de CD73. São adicionalmente fornecidas moléculas de ácido nucleico isoladas que codificam os anticorpos anti-CD73, as variantes e os fragmentos de ligação ao antígeno dos mesmos, e um vetor de expressão relacionado e uma célula hospedeira. É fornecido um método para a preparação dos anticorpos anti-CD73, das variantes e dos fragmentos de ligação ao antígeno dos mesmos. São adicionalmente fornecidas composições farmacêuticas relacionadas e um método para uso das ditas composições farmacêuticas no tratamento de um indivíduo. O pedido de patente está pendente de decisão, aguardando o início do exame técnico no INPI.
O pedido de patente de invenção n° BR 102020020993-0 da universidade brasileira UNIVERSIDADE FEDERAL DE CAMPINA GRANDE foi publicado em 10 de maio de 2022. O pedido de patente refere-se a uma composição farmacêutica entre zingerona, 6-gingerol e 6-shogaol como composição de fármacos antivirais para tratamento e profilaxia da COVID-19. Na obtenção de uma composição que apresenta potencial de inibição da enzima de replicação viral (NSP9) do SARS-CoV-2, evidenciada através de simulações computacionais na área de modelagem molecular. A invenção tem potencial aplicabilidade na composição de novos compostos terapêuticos que possam ser usados no combate à COVID-19. O pedido de patente está pendente de decisão, aguardando o início do exame técnico no INPI.
O pedido de patente de invenção n° BR 112022014716-3 da empresa chinesa NOVARTIS AG foi publicado em 11 de outubro de 2022. O pedido de patente refere-se a métodos, regimes de tratamento, usos, kits, composições e medicamentos para tratar uma doença inflamatória ou obstrutiva das vias aéreas, como asma, incluindo asma grave ou DPOC, utilizando-se um anticorpo anti-TSLP ou fragmento de anticorpo anti-TSLP. O pedido de patente está pendente de decisão, aguardando o início do exame técnico no INPI.
O pedido de patente de invenção n° BR 112021022419-0 da empresa americana PFIZER INC foi publicado em 10 de maio de 2022 e teve o trâmite prioritário concedido em 11 de outubro de 2022. O pedido de patente refere-se a compostos de Fórmula I em que R, R1, R2, R3, p, q e q' são como definidos aqui, composições farmacêuticas compreendendo os compostos, métodos de tratar infecção por coronavírus, tal como COVID-19 em um paciente por administração de quantidades terapeuticamente eficazes dos compostos, e métodos de inibição ou prevenção de replicação de coronavírus, tal como, SARS-CoV-2 com os compostos. O pedido de patente está pendente de decisão, em fase de exame técnico no INPI, tendo um parecer de exigência técnica publicado em 20 de dezembro de 2022.

O pedido de patente de invenção n° BR 10 2020 021927- 8 dos brasileiros FATIMA ANTUNES COELHO e ROBSON LUIS FERNANDES foi publicado em 10 de maio de 2022. O pedido de patente refere-se a um medicamento antiviral, formulação e respectivo processo de obtenção. Trata-se se de um medicamento antiviral, formulação e seu respectivo processo de obtenção, pertencente ao campo de aplicação dos produtos farmacotécnicos e quimicamente elaborados, desenvolvido no sentido de atuar no tratamento de doenças respiratórias, notadamente aquelas relacionadas ao Coronavírus (Covid-19), vírus H1N1, além de rinites alérgicas e demais malefícios similares, o qual consiste da combinação e mistura de componentes ativos específicos (nanopartículas de prata e 3,8 p-mentanodiol em solução de glicólis e/ou álcoois), concebido inicialmente na forma de um líquido para tratamento via oral e/ou nasal (ilimitado quanto à sua forma de apresentação final do produto), resultando na desativação de vírus e morte de fungos, germes, micróbios, bactérias e demais microrganismos patogênicos afins, cuja atuação se mostra eficaz até mesmo na fase inicial da doença (replicação viral). O pedido de patente está pendente de decisão, aguardando o início do exame técnico no INPI.
O pedido de patente de invenção n° BR 112022002827-0 da empresa americana BAYLOR COLLEGE OF MEDICINE foi publicado em 10 de maio de 2022. O pedido de patente refere-se a composições e métodos para prevenção de infecção viral e/ou prevenção de reativação de um vírus latente em um indivíduo. Os métodos envolvem administrar profilaticamente pelo menos uma linhagem de células T específicas para antígeno de um terceiro doador e/ou um minibanco de doador e/ou banco de doador a um indivíduo. O indivíduo pode ser um paciente que recebeu um transplante (por exemplo, um transplante de tecido, órgão sólido ou medula óssea) ou que necessita de tal transplante ou está imunossuprimido ou necessita de terapia imunossupressora. O pedido de patente está pendente de decisão, aguardando o início do exame técnico no INPI.
O pedido de patente de invenção n° BR 112022002819-9 da empresa americana CYTIMM THERAPEUTICS, INC. foi publicado em 10 de maio de 2022. O pedido de patente refere-se a polipeptídeos de interleucina 2 (IL-2) modificados, polinucleotídeos, por exemplo, DNA, RNA ou vetor viral, que codificam os polipeptídeos de IL-2 modificados e são configurados para expressar os referidos polipeptídeos de IL-2 modificados in vitro e/ou in vivo, conjugados compreendendo os polipeptídeos de IL-2 modificados e usos dos mesmos. O pedido de patente está pendente de decisão, aguardando o início do exame técnico no INPI.
O pedido de patente de invenção n° BR 102020011964-8 da universidade brasileira UNIVERSIDADE ESTADUAL PAULISTA JULIO DE MESQUITA FILHO foi publicado em 10 de maio de 2022. O pedido de patente refere-se composição de heparina não fracionada de alto peso molecular para ação antiviral. Trata-se de composição de heparina não fracionada de alto peso molecular cujo mecanismo farmacológico compreende um agente modulador na infecção por SARSCoV-2 tendo ação em proteínas de adesão e inibindo a clivagem viral. O uso da composição de heparina não fracionada de alto peso molecular compõe a diminuição da carga viral entre 90 a 100% em cópias virais/mL. O pedido de patente está pendente de decisão, aguardando o início do exame técnico no INPI.
O pedido de patente de invenção n° BR 112021026832-4 da empresa americana FRED HUTCHINSON CANCER RESEARCH CENTER e da universidade americana UNIVERSITY OF WASHINGTON foi publicado em 10 de maio de 2022. O pedido de patente refere-se a vetores adenovirais dependentes de auxiliar sorotipo 35 (Ad35). Em várias modalidades, vetores Ad35 dependentes de auxiliar podem ser usados para distribuir uma carga terapêutica a um sujeito em necessidade. Cargas exemplificativas podem codificar proteínas de substituição, anticorpos, CARs, TCRs, pequenos RNAs e sistemas de edição de genoma. Em certas modalidades, um vetor Ad35 dependente de auxiliar é manipulado para integração de uma carga em um genoma de célula hospedeira. A presente divulgação inclui ainda métodos de terapia gênica que incluem administrar um vetor Ad35 dependente de auxiliar a um sujeito em necessidade. O pedido de patente está pendente de decisão, aguardando o início do exame técnico no INPI.
O pedido de patente de invenção n° BR 112021026565-1 da empresa belga GLAXOSMITHKLINE BIOLOGICALS S.A foi publicado em 03 de maio de 2022. O pedido de patente refere-se a composições imunogênicas compreendendo polipeptídeos imunogênicos de Haemophilus influenzae e Moraxella catarrhalis e sua utilização no tratamento ou prevenção de uma exacerbação aguda de doença pulmonar obstrutiva crônica (AE-COPD) em um indivíduo, por exemplo, humano. O pedido de patente está pendente de decisão, aguardando o início do exame técnico no INPI.
O pedido de patente de invenção n° BR 112021024127-2 da empresa americana GRITSTONE BIO, INC. foi publicado em 26 de abril de 2022. O pedido de patente refere-se a composições que incluem adenovírus modificados. Também são divulgados nucleotídeos, células e métodos associados às composições, incluindo seu uso como vacinas. Também são divulgados aqui vetores virais usando o sistema de promotor TET e métodos para produzir vírus tendo os mesmos. O pedido de patente está pendente de decisão, aguardando o início do exame técnico no INPI.
O pedido de patente de invenção n° BR 102020009852-7 da empresa brasileira CELLURIS PARTICIPACOES LTDA foi publicado em 19 de abril de 2022. O pedido de patente refere-se a um complexo formado por uma molécula de sirna conjugada com peptídeo penetrante celular capaz de inibir a síntese da proteína s viral e uso do dito complexo para o tratamento de infecções virais. Ele consiste em um complexo formado por uma molécula de RNA interferente (siRNA) conjugada com um peptídeo penetrante celular (CPP) carregado positivamente, compreendendo entre 5 a 30 resíduos, formando o complexo siRNA-CPP capaz de inibir a síntese da proteína viral S. A síntese da proteína S viral (spike protein) é fundamental para entrada do vírus nas células hospedeiras, sendo assim, a presente invenção é uma alternativa de tratamento para infecções virais. Dessa forma, o complexo siRNA-CPP da presente invenção otimiza a absorção do ácido nucleico e é administrado por via inalatória, aumentando sua biodisponibilidade e rápida entrega aos pulmões. De forma ainda mais particular, a presente invenção tem como objetivo o uso do complexo para o tratamento da síndrome respiratória aguda grave 2 (SARS-CoV-2). O pedido de patente está pendente de decisão, aguardando o início do exame técnico no INPI.
O pedido de patente de invenção n° BR 11 2022 020821-9 da empresa americana EXCALIBUR PHARMACEUTICALS, INC foi publicado em 14 de abril de 2022. O pedido de patente refere-se a métodos e usos envolvendo composições farmacêuticas de pirfenidona (por exemplo, pílulas de pirfenidona para liberação prolongada (por exemplo, comprimidos)) no tratamento de COVID -19, tratamento e/ou prevenção de viremia e/ou doença induzida por viremia causada por um vírus e/ou uma infeção com um vírus (por exemplo, vírus de DNA, vírus de RNA, por exemplo, coronavírus (por exemplo,, coronavírus -2 da síndrome respiratória aguda grave (SARS-CoV -2) e variantes do mesmo, coronavírus da síndrome respiratória aguda grave (SARS-CoV), coronavírus da síndrome respiratória do Oriente Médio (MERS- CoV)), em um indivíduo (por exemplo, indivíduo a COVID -19). São providos métodos de redução de níveis elevados de um ou mais marcadores de inflamação (por exemplo, CRP, ferritina, LDH), inibição de resposta inflamatória (por exemplo,, induzidos por vírus) e/ou inibindo uma cascata por uma ou mais citocinas pró-inflamatórias (por exemplo, TNF-alfa, IFN-gama, IL- 1beta, IL -6, IL-12) e/ou em um indivíduo (por exemplo, um indivíduo com COVID -19 opcionalmente tendo contraindicações de fígado para pirfenidona). O pedido de patente está pendente de decisão, aguardando o início do exame técnico no INPI.
O pedido de patente de invenção n° BR 112021026389-6 da empresa americana THE JOHNS HOPKINS UNIVERSITY foi publicado em 12 de abril de 2022. O pedido de patente refere-se a métodos e materiais para expansão direcionada de células T reguladoras (TRegs). Por exemplo, uma ou mais proteínas de fusão de anticorpo/citocina de cadeia única (imunocitocinas) que podem se ligar a um receptor heterotrimérico incluindo um polipeptídeo receptor-a de interleucina-2 (IL-2Ra), um polipeptídeo receptor-ß de interleucina-2 (IL-2Rß) e um polipeptídeo de cadeia gama comum (yc) (e.g., um complexo polipeptídico IL-2Ra/IL-2Rß/yc) podem ser administradas a um mamífero para estimular as TRegs dentro do mamífero para reduzir ou eliminar uma resposta imunológica neste mamífero. Em alguns casos, são fornecidos métodos e materiais que podem ser usados para tratar um mamífero tendo uma condição que pode se beneficiar da redução ou eliminação de uma resposta imunológica dentro do mamífero. Por exemplo, uma ou mais imunocitocinas de cadeia única que podem se ligar a um complexo polipeptídico IL-2Ra/IL-2Rß/yc podem ser administradas a um mamífero tendo uma condição que pode se beneficiar da redução ou eliminação de uma resposta imunológica para tratar o mamífero. O pedido de patente está pendente de decisão, aguardando o início do exame técnico no INPI.
O pedido de patente de invenção n° BR 112022000739-6 da empresa americana GEMINI THERAPEUTICS SUB, INC. e da empresa neozelandesa STICHTING SANQUIN BLOEDVOORZIENING foi publicado em 12 de abril de 2022. O pedido de patente refere-se a novos anticorpos isolados, sintéticos ou recombinantes e fragmentos dos mesmos específicos para o fator H, ou ácidos nucleicos ou vetores que codificam tais anticorpos e fragmentos. É ainda fornecido o uso de tais anticorpos, fragmentos, ácidos nucleicos ou vetores para inibir a ativação do complemento e tratamento de distúrbios associados à ativação do complemento. O pedido de patente está pendente de decisão, aguardando o início do exame técnico no INPI.
O pedido de certificado de adição de patente de invenção n° BR 132020019354-5 do brasileiro HERMES PAULO DE AMORIM FILHO foi publicado em 29 de março de 2022. O pedido de certificado de adição de patente refere-se a uma composição que detém: água de 60 – 65,95%; espessante acrílico de 1 – 1,5%; tensoativo não iônico de 0,05 - 0,2%; antiespumante de 0,03 - 0,2%; antioxidante de 0,01 – 0,15%; cloreto de alquil dimetil benzil amônio (80%) de 0,2 – 1,0%; dispersão coloidal de prata de 0,2 – 1,0%; sílica de 0,01 – 0,5%; copolímero acrílico metalizado de 1 – 3%; copolímero acrílico em dispersão 8 – 15%; copolímero acrílico estirenado em dispersão de 5 – 10%; cera polietilênica de 1,5 – 2,5%; alcalinizante de 0,05 – 0,5%. O pedido de patente está pendente de decisão, aguardando o início do exame técnico no INPI.
O pedido de patente de invenção n° BR 112021022658-3 da empresa irlandesa JANSSEN SCIENCES IRELAND UNLIMITED COMPANY foi publicado em 29 de março de 2022. O pedido de patente refere-se a compostos da fórmula (I) tendo atividade antiviral, em particular, tendo uma atividade inibitória na replicação do vírus sincicial respiratório (RSV).

A invenção refere-se ainda a composições farmacêuticas compreendendo estes compostos e aos compostos para uso no tratamento da infecção pelo vírus sincicial respiratório. O pedido de patente está pendente de decisão, aguardando o início do exame técnico no INPI.
O pedido de patente de invenção n° BR 112021023054-8 da empresa suíça NOVARTIS AG foi publicado em 29 de março de 2022. O pedido de patente refere-se a várias formas cristalinas anidras do composto N-(3-(6-amino-5-(2-(N-metilacrilamido)etóxi)pirimidin-4-il)-5-fluoro-2-metilfenil)-4-ciclopropil-2-fluorobenzamida, assim como composições, método de fabricação e métodos de uso das mesmas. Essas formas cristalinas são úteis no tratamento de doenças e distúrbios que são tipicamente amenizados pela inibição de BTK. Tais doenças e distúrbios podem incluir distúrbios inflamatórios e autoimunes e inflamação pulmonar e do trato respiratório. O pedido de patente está pendente de decisão, aguardando o início do exame técnico no INPI.
O pedido de patente de invenção n° BR 112022004570-0 da empresa suíça NOVARTIS AG foi publicado em 07 de junho de 2022. O pedido de patente refere-se a combinações que compreendem um anticorpo ou fragmento de ligação ao antígeno do mesmo, por exemplo, um anticorpo monoclonal ou fragmento de ligação ao antígeno do mesmo, que se liga especificamente à ENTPD2 (por exemplo, proteína ENTPD2 humana) e um anticorpo ou fragmento de ligação ao antígeno do mesmo, por exemplo, um anticorpo monoclonal ou fragmento de ligação ao antígeno do mesmo, que se liga especificamente à CD73 (por exemplo, proteína CD73 humana) e métodos de uso dessas combinações. O pedido de patente está pendente de decisão, aguardando o início do exame técnico no INPI.
O pedido de patente de invenção n° BR 112022004920-0 da empresa americana EXCEPGEN INC. foi publicado em 28 de junho de 2022. O pedido de patente refere-se a um sistema para a expressão da proteína alvo em conjunto com a proteína intensificadora. Mais especificamente, refere-se a um conjugado terapêutico (Fórmula II) que forma uma ligação covalente com uma quinase ou pseudoquinase, em que a quinase é PI3-quinase (PI3K). A proteína intensificadora pode ser uma proteína viral que bloqueia o transporte nucleocitoplasmático. Também são fornecidos polinucleotídeos, vetores e células compreendendo proteínas alvo e sequências de ácidos nucleicos de proteínas intensificadoras. O pedido de patente está pendente de decisão, aguardando o início do exame técnico no INPI.

(II)
O pedido de patente de invenção n° BR 112022001389-2 da empresa holandesa SAPREME TECHNOLOGIES B.V. e da empresa alemã CHARITÉ - UNIVERSITÄTSMEDIZIN BERLIN foi publicado em 23 de março de 2022. O pedido de patente refere-se a um derivado de saponina à base de uma saponina compreendendo uma aglicona triterpenoide e uma primeira cadeia sacarídica e/ou uma segunda cadeia sacarídica, e compreendendo: uma estrutura de núcleo aglicona compreendendo um grupo aldeído que foi derivatizado; e/ou a primeira cadeia sacarídica em que a primeira cadeia sacarídica compreende um grupo carboxila, que foi derivatizado; e/ou a segunda cadeia sacarídica em que a segunda cadeia sacarídica compreende pelo menos um grupo acetóxi que foi derivatizado. A invenção também se refere a uma primeira composição farmacêutica compreendendo o derivado de saponina da invenção. Além disso, a invenção refere-se a uma combinação farmacêutica compreendendo a primeira composição farmacêutica da invenção e uma segunda composição farmacêutica compreendendo qualquer um ou mais de um conjugado anticorpo-toxina, um conjugado receptor-ligante-toxina, um conjugado anticorpo-fármaco, um conjugado receptor-ligante-fármaco, um conjugado anticorpo-oligonucleotídeo ou um conjugado receptor-ligante-oligonucleotídeo. A invenção também se refere à primeira composição farmacêutica ou à combinação farmacêutica da invenção, para uso como um medicamento, ou uso no tratamento ou profilaxia de um câncer, uma doença infecciosa, infecção viral, hipercolesterolemia, hiperoxaluria primária, hemofilia A, hemofilia B, doença de fígado relacionada com alfa-1-antitripsina, porfiria hepática aguda, amiloidose mediada por transtirretina, ou uma doença autoimune. Além disso, a invenção refere-se a um método in vitro ou ex vivo para transferir uma molécula do exterior de uma célula para o interior de dita célula, compreendendo colocar em contato dita célula com a molécula e com um derivado de saponina da invenção. O pedido de patente está pendente de decisão, aguardando o início do exame técnico no INPI.
O pedido de patente de invenção n° BR 112021023542-6 da empresa belga UCB BIOPHARMA SRL foi publicado em 22 de março de 2022. O pedido de patente refere-se ao campo de fabricar moléculas de anticorpo recombinantes. Em particular, métodos para purificar tais moléculas de anticorpo recombinantes são providas em que imidazol ou um análogo de imidazol é adicionado durante a elução da molécula de anticorpo recombinante a partir de uma resina de cromatografia por afinidade, tal como uma resina com base em proteína A. O pedido de patente está pendente de decisão, aguardando o início do exame técnico no INPI.
O pedido de patente de invenção n° BR 112022001148-2 das empresas francesas MNEMO THERAPEUTICS, INSTITUT CURIE e INSERM (INSTITUT NATIONAL DE LA SANTE ET DE LA RECHERCHE MEDICALE) foi publicado em 15 de março de 2022. O pedido de patente refere-se a uma célula imune aprimorada que expressa um receptor antígeno-específico, tal como um CAR ou TCR, na qual o SUV39H1 está inativado, opcionalmente combinado com interrupção do locus TRAC e/ou deleção de um ou mais ITAMs. Também fornece composições compreendendo tais células, métodos de produção de tais células e usos de tais células na terapia celular adotiva, por exemplo, no tratamento do câncer ou doenças inflamatórias. O pedido de patente está pendente de decisão, aguardando o início do exame técnico no INPI.
O pedido de patente de invenção n° BR 112021026411-6 da empresa americana VERSEAU THERAPEUTICS, INC. foi publicado em 15 de março de 2022. O pedido de patente refere-se a composições anti-LRRC25 (por exemplo, anticorpos monoclonais e fragmentos de ligação ao antígeno dos mesmos), que regulam fenótipos inflamatórios de células mieloides, tais como células mieloides supressoras, monócitos, macrófagos, neutrófilos e/ou células dendríticas, incluindo polarização, ativação e/ou função, e a métodos de uso dessas composições anti-LRRC25 para propósitos terapêuticos, diagnósticos, prognósticos e de triagem. O pedido de patente está pendente de decisão, aguardando o início do exame técnico no INPI.
O pedido de patente de invenção n° BR 112022000328-5 da empresa americana PROTAGONIST THERAPEUTICS, INC. foi publicado em 15 de março de 2022. O pedido de patente refere-se a novos inibidores peptídicos do receptor de interleucina-23 e composições e métodos relacionados do uso desses inibidores peptídicos para tratar ou prevenir uma variedade de doenças e distúrbios, incluindo doenças inflamatórias intestinais. O pedido de patente está pendente de decisão, aguardando o início do exame técnico no INPI.
O depósito do pedido dividido BR 122021025285-8 do pedido de patente de invenção n° BR 112018076913-4 da empresa americana EMORY UNIVERSITY foi notificado em 03 de março de 2022. O pedido de patente refere-se a compostos e composições para o tratamento de doenças infecciosas e métodos de tratamento de tais doenças. Os compostos e composições incluem derivados de clevidina. Os compostos e composições incluem derivados de clevidina em combinação com um outro agente antiviral. Os compostos e composições incluem derivados de clevidina em combinação com um fosforamidato de lamivudina, adfovir, tenofovir, telbivudina, entecavir, ou suas combinações. O pedido de patente está pendente de decisão, aguardando o início do exame técnico no INPI.
O pedido de patente de invenção n° BR 112022000628-4 das empresas chinesas SHANGHAI JUNSHI BIOSCIENCES CO., LTD. e SUZHOU JUNMENG BIOSCIENCES CO., LTD foi publicado em 03 de março de 2022. O pedido de patente refere-se a anticorpos que se ligam especificamente a TIGIT ou aos fragmentos de ligação ao antígeno dos anticorpos e a uma composição dos mesmos. A presente invenção também se refere a uma molécula de ácido nucleico que codifica os anticorpos ou os seus fragmentos de ligação ao antígeno, um vetor de expressão e uma célula hospedeira para expressão dos anticorpos ou seus fragmentos de ligação ao antígeno, bem como os usos terapêuticos e diagnósticos dos anticorpos. O pedido de patente está pendente de decisão, aguardando o início do exame técnico no INPI.
O pedido de patente de invenção n° BR 102020016119-9 da empresa brasileira COMISSÃO NACIONAL DE ENERGIA NUCLEAR e da universidade UNIVERSIDADE FEDERAL DE SÃO PAULO foi publicado em 15 de fevereiro de 2022. O pedido de patente refere-se a ao campo da nanotecnologia e da química orgânica, mais especificamente nanoestruturas poliméricas para encapsulamento de fármacos, e descreve nanopartículas (ou nanossistemas) com base nos polímeros ácido polilático (PLA) e álcool polivinílico (PVA) dopadas com os fármacos hidroxicloroquina (HCQ) e azitromicina (AZT), combinados ou não, que funcionam como sistemas de liberação controlada (drug delivery systems). A presente invenção também descreve mecanismos de admissão do nanofármaco final e seu uso tanto para tratamento profilático da síndrome respiratória aguda provocada pelo SARS-CoV-2, que causa a COVID-19, quanto para tratamento terapêutico das fases iniciais e intermediárias da progressão da COVID-19, associada ou não a processos infecciosos bacterianos. As nanopartículas foram sintetizadas por dupla emulsificação, obtendo-se nanopartículas de PLA / PVA / HCQ / AZT homogêneas, uniformes, estáveis, com eficácia de encapsulamento dos fármacos acima de 69%, distribuição de tamanho com diâmetro variando preferencialmente entre 300 nm e 400 nm, dependendo dos parâmetros de controle do processo. Adicionalmente, as nanopartículas foram analisadas quanto aos seus efeitos citotóxico e antiviral in vitro contra SARS-CoV-2, conferindo menos do que 10% de toxicidade e inibindo a replicação viral acima de 99% na concentração de 3,12 mg/mL das ditas nanopartículas. Dentre os mecanismos de admissão do nanofármaco final, pode-se empregar formulação hidrossolúvel ou pó inalatório a ser administrado pelo trato respiratório de forma passiva por inalação ou nebulização ou de forma ativo por inalação na forma de spray aerossol. O pedido de patente está pendente de decisão, aguardando o início do exame técnico no INPI.
O pedido de patente de invenção n° BR 112021024310-0 da universidade americana MORY UNIVERSITY foi publicado em 15 de fevereiro de 2022. O pedido de patente refere-se a compostos, composições e métodos para prevenir, tratar ou curar uma infecção por coronavírus, picornavírus e/ou vírus Hepeviridae em seres humanos ou outros hospedeiros animais. Os vírus específicos que podem ser tratados incluem os enterovírus. Em uma modalidade, os compostos podem ser usados para tratar uma infecção por um vírus de síndrome respiratória aguda grave, como coronavírus humano 229E, SARS, MERS, SARS-CoV-1 (OC43) e SARS-CoV-2. Em outra modalidade, os métodos são usados para tratar um paciente coinfectado por dois ou mais desses vírus, ou uma combinação de um ou mais desses vírus e norovírus. O pedido de patente está pendente de decisão, aguardando o início do exame técnico no INPI.
O pedido de patente de invenção n° BR 112021024310-0 da universidade americana EMORY UNIVERSITY foi publicado em 15 de fevereiro de 2022. O pedido de patente refere-se a compostos, composições e métodos para prevenir, tratar ou curar uma infecção por coronavírus, picornavírus e/ou vírus Hepeviridae em seres humanos ou outros hospedeiros animais. Os vírus específicos que podem ser tratados incluem os enterovírus. Em uma modalidade, os compostos podem ser usados para tratar uma infecção por um vírus de síndrome respiratória aguda grave, como coronavírus humano 229E, SARS, MERS, SARS-CoV-1 (OC43) e SARS-CoV-2. Em outra modalidade, os métodos são usados para tratar um paciente coinfectado por dois ou mais desses vírus, ou uma combinação de um ou mais desses vírus e norovírus. O pedido de patente está pendente de decisão, aguardando o início do exame técnico no INPI.
O pedido de patente de invenção n° BR 112021024916-8 da empresa austríaca FIREBRICK PHARMA LIMITED foi publicado em 15 de fevereiro de 2022. O pedido de patente refere-se a métodos para prevenção de infecções por vírus altamente patogênicos (HIP), através da aplicação às membranas mucosas nasais uma preparação tópica compreendendo o agente antimicrobiano de amplo espectro, iodopovidona (PVP-1). Os ditos vírus incluem coronavírus SARS e MERS, tal como SARS-CoV-2 (que causa COVID-19), Filoviridae tal como vírus Ebola (EBOV), Vírus de Marburg (MARV), Vírus do Sudão (SUDV), Vírus da Floresta Tai (TAFV) e Vírus Bundibugyo (BDBV), vírus de influenza pandêmica tal como II5N1, II5N9, II7N3, II7N7, II9N2 e IIIN1, e Arenaviridae que causa febre de Lassa, Junin e Machupo, Bunyaviridae que causa febre hemorrágica da Crimeia-Congo, febre do Vale do Rift, febres hemorrágicas de Hantaan, e Flaviviridae que causa febre amarela, dengue, febre hemorrágica de Omsk, doença da floresta de Kyasanur. O pedido de patente de invenção refere-se ainda a um método para diminuir as infecções secundárias de uma infecção viral primária de HP causada por bactérias ou fungos, tal como Mycoplasma pneumoniae, S. aureus, K. pneumoniae, S. pneumoniae, M. catarrhalis, P. aeruginosa. S. pyogenes ou Streptococcus agalactiae. O pedido de patente está pendente de decisão, aguardando o início do exame técnico no INPI.
O pedido de patente de invenção n° BR 102020015514-8 da univesidade brasileira UNIVERSIDADE FEDERAL DE CAMPINA GRANDE foi publicado em 08 de fevereiro de 2022. O pedido de patente refere-se a uma composição farmacêutica entre alicina e do mentol como composição de fármacos antivirais para tratamento e profilaxia da COVID-19. A composição apresenta potencial de inibição da enzima de replicação viral (NSP9) do SARSCoV-2, evidenciada através de simulações computacionais na área de modelagem molecular. A invenção tem potencial aplicabilidade na composição de novos compostos terapêuticos que possam ser usados no combate a COVID-19. O pedido de patente está pendente de decisão, aguardando o início do exame técnico no INPI.
O pedido de patente de invenção n° BR 102020015177-0 da universidade brasileira UNIVERSIDADE FEDERAL DE MINAS GERAIS da empresa brasileira 2HEAL INDUSTRIA E COMERCIO DE PRODUTOS QUIMICOS PARA USO INDUSTRIAL LTDA foi publicado em 08 de fevereiro de 2022. O pedido de patente refere-se a materiais em rede para liberação controlada de alta atividade e eficiência antiviral, principalmente contra o coronavírus e o processo para impregnação compostos de inclusão de clorexidina:beta-ciclodextrina nas proporções molares 1:1 ou 1:2 clorexidina:beta-ciclodextrina apresentando princípios ativos antivirais utilizando as matrizes como base em materiais em rede, poliméricos degradáveis e ou biodegradáveis, tecido não tecido, tecidos, papel, celulose, combinação desses materiais com adesivos ou não revestidos ou laminados com sistema de liberação modificada ou controlada como sistemas de liberação controlada desses compostos antivirais. Os materiais em rede apresentam características físico-química com fios longos, finos e flexíveis com capacidade única de absorção de princípios ativos como antivirais, especificamente com compostos de inclusão de clorexidina:beta-ciclodextina. Considerando que houve inibição da infecção viral, pode-se concluir que os composto de inclusão clorexidina:ciclodextrinas foram eficazes para a inativação/destruição de partículas virais em tecidos, e, portanto, pode ser utilizada na forma diluída (1:4) como potencial agente virucida em tecidos para todos os vírus do grupo Coronavírus pelo tempo de contato a partir de 02 minutos e até 10 dias. Outra característica do composto de inclusão ou produto encapsulado foi 10, 100 e 1000 vezes mais eficaz em comparação ao não encapsulado. O pedido de patente está pendente de decisão, aguardando o início do exame técnico no INPI.
O pedido de patente de invenção n° BR 112021019959-4 da empresa dinamarquesa NOVO NORDISK A/S foi publicado em 08 de fevereiro de 2022. O pedido de patente refere-se a um anticorpo biespecífico compreendendo um primeiro sítio de ligação ao antígeno capaz de se ligar ao Fator VII(a) e um segundo sítio de ligação ao antígeno capaz de se ligar a TLT-1, formulações farmacêuticas compreendendo tais anticorpos biespecíficos e seus usos. O pedido de patente está pendente de decisão, aguardando o início do exame técnico no INPI.
O pedido de patente de invenção n° BR 112021025877-9 da empresa francesa ENYO PHARM foi publicado em 08 de fevereiro de 2022. O pedido de patente refere-se a uma nova classe de derivados de amina terciária da fórmula (I) e seus usos para tratar infecções virais, particularmente infecções virais respiratórias. A presente invenção se refere adicionalmente a composições farmacêuticas que compreendem compostos da fórmula (I). O pedido de patente está pendente de decisão, aguardando o início do exame técnico no INPI.

O pedido de patente de invenção n° BR 112021025956-2 da empresa sueca BIOARCTIC AB foi publicado em 08 de fevereiro de 2022. O pedido de patente refere-se a um anticorpo ou a uma sua porção de ligação ao antígeno, que se liga a um neo-epítopo de um fragmento C-terminal da apolipoproteína E, a métodos de produção de um tal anticorpo ou de uma porção de ligação ao antígeno, e aos seus usos terapêuticos e de diagnóstico. O pedido de patente está pendente de decisão, aguardando o início do exame técnico no INPI.
O pedido de patente de invenção n° BR 112021024820-0 da empresa chinesa SHANDONG BOAN BIOTECHNOLOGY CO., LTD. foi publicado em 25 de janeiro de 2022. O pedido de patente refere-se a um anticorpo anti-PDL1 ou fragmento de ligação ao antigênio do mesmo, e adicionalmente são conferidos uma proteína de fusão bifuncional contra PDL1 e TGFß e um método de preparação da mesma e o uso dos mesmos. O anticorpo ou fragmento de ligação ao antigênio ou proteína de fusão bifuncional tem uma ou mais das seguintes vantagens: uma atividade de ligação de TGFß1 melhorada, uma afinidade melhorada para PDL1, uma capacidade melhorada de bloquear a ligação de PDL1 e PD1, uma atividade funcional melhorada para bloqueio de TGFß1, uma capacidade melhorada para promover a secreção de IFN-Y por células T, um melhor efeito de imunorregulação. O pedido de patente está pendente de decisão, aguardando o início do exame técnico no INPI.
O pedido de patente de invenção n° BR 112021024001-2 da empresa da Republica Dominicana AYBAR ECOTECHNOLOGIES CORP. foi publicado em 25 de janeiro de 2022. O pedido de patente refere-se a formulações farmacêuticas antibacterianas de grande espectro compreendendo lisozima e métodos de tratamento para prevenir ou curar doenças de etiologia bacteriana. Excipientes fornecidos na formulação farmacêutica compreendendo lisozima aumentam a estabilidade e eficácia da lisozima para o tratamento de infecções bacterianas em um mamífero. A formulação farmacêutica que compreende lisozima não produz efeitos secundários prejudiciais nos tecidos ou órgãos durante o tratamento prolongado. A formulação pode ser usada para tratar infecções bacterianas da pele, regiões mucosas e administrada na corrente sanguínea de um paciente, incluindo infecções respiratórias. A formulação é útil no tratamento de infecções bacterianas, incluindo aquelas que ocorrem junto com infecções virais, particularmente infecções virais com um componente respiratório, incluindo COVID-19. O pedido de patente está pendente de decisão, aguardando o início do exame técnico no INPI.
O pedido de patente de invenção n° BR 112021024938-9 da empresa suíça NOVARTIS AG foi publicado em 25 de janeiro de 2022. O pedido de patente refere-se a anticorpos antirreceptor-1 de Peptídeo Natriurético (NPR1), incluindo anticorpos agonistas que podem ativar o receptor NPR1, composições farmacêuticas que compreendem os mesmos e métodos de tratamento que compreendem os mesmos. O pedido de patente está pendente de decisão, aguardando o início do exame técnico no INPI.
O pedido de patente de invenção n° BR 112021024997-4 da empresa inglesa OXFORD BIOTHERAPEUTICS LTD foi publicado em 25 de janeiro de 2022. O pedido refere-se a anticorpos e a outras proteínas terapêuticas direcionadas contra o membro da família SLAM 6 (SLAMF6), também conhecido como NTB-A ou CD352, ácidos nucleicos que codificam tais anticorpos e proteínas terapêuticas, a métodos para preparar anticorpos e outras proteínas terapêuticas e se refere ao uso de anticorpos e outras proteínas terapêuticas direcionadas contra o SLAMF6 para o tratamento contra doenças. O pedido de patente está pendente de decisão, aguardando o início do exame técnico no INPI.
O pedido de patente de invenção n° BR 112021024956-7 da empresa americana TENEOBIO, INC. foi publicado em 25 de janeiro de 2022. O pedido refere-se a anticorpos multiespecíficos humanos de cadeia pesada (por exemplo, UniAbsTM) que se ligam a CD22 e CD3, juntamente com métodos de preparação de tais anticorpos, composições, incluindo composições farmacêuticas, compreendendo tais anticorpos, e seu uso para tratar distúrbios que são definidos pela expressão de CD22. O pedido de patente está pendente de decisão, aguardando o início do exame técnico no INPI.
O pedido de patente de invenção n° BR 112021024001-2 da empresa panamense AYBAR ECOTECHNOLOGIES CORP foi publicado em 25 de janeiro de 2022. O pedido de patente refere-se uma formulação farmacêutica antibacteriana de amplo espectro que compreende lisozima e métodos de tratamento para prevenir ou curar doenças de etiologia bacteriana. Excipientes fornecidos na formulação farmacêutica compreendendo lisozima aumentam a estabilidade e eficácia da lisozima para o tratamento de infecções bacterianas em um mamífero. A formulação farmacêutica que compreende lisozima não produz efeitos secundários prejudiciais nos tecidos ou órgãos durante o tratamento prolongado. A formulação pode ser usada para tratar infecções bacterianas da pele, regiões mucosas e administrada na corrente sanguínea de um paciente, incluindo infecções respiratórias. A formulação é útil no tratamento de infecções bacterianas, incluindo aquelas que ocorrem junto com infecções virais, particularmente infecções virais com um componente respiratório, incluindo COVID-19. O pedido de patente está pendente de decisão, aguardando o início do exame técnico no INPI.
O pedido de patente de invenção n° BR 112021024648-7 da empresa irlandesa JANSSEN SCIENCES IRELAND UNLIMITED COMPANY foi publicado em 18 de janeiro de 2022. O pedido de patente refere-se a pró-fármacos de quinazolina para o tratamento de infecções virais e outras doenças. O pedido de patente de invenção refere-se a compostos de fórmula (I), composições farmacêuticas compreendendo tais compostos e métodos de uso de tais compostos através da indução da resposta imune T helper 1 (Th1) para tratar infecções, doenças e distúrbios. Os compostos divulgados também podem ser considerados pró-fármacos e adjuvantes de vacina. O pedido de patente está pendente de decisão, aguardando o início do exame técnico no INPI.

O pedido de patente de invenção n° BR 112021024956-7 da empresa japonesa TAKEDA PHARMACEUTICAL COMPANY LIMITED foi publicado em 18 de janeiro de 2022. O pedido refere-se a métodos de purificação de anticorpos anti-a4b7 humanizado, tal como vedolizumabe, produzido em uma cultura de células de mamífero, assim como a composições resultantes dos referidos processos de purificação. O pedido de patente está pendente de decisão, aguardando o início do exame técnico no INPI.
O pedido de patente de invenção n° BR 112021014645-8 da universidade americana UNIVERSITY OF WASHINGTON foi publicado em 11 de janeiro de 2022. O pedido de patente refere-se a métodos de edição de um gene em uma célula que envolvem o contato da célula com um modulador de forquilha de replicação, bem como células com edição e métodos de uso das mesmas para o tratamento de doenças. O pedido de patente está pendente de decisão, aguardando o início do exame técnico no INPI.
O pedido de patente de invenção n° BR 112021023692-9 da empresa americana REGENERON PHARMACEUTICALS, INC. foi publicado em 04 de janeiro de 2022. O pedido de patente refere-se a composições e métodos para adaptar partículas de vírus adeno-associado (AAV) que compreendem capsídeos de AAV de animal não primata, AAV remoto ou uma combinação dos mesmos. O AAV adaptado adequadamente pode ser uma plataforma de terapia gênica viável para o tratamento de um paciente em necessidade e pode ser particularmente útil em pacientes excluídos das modalidades de tratamento atuais que envolvem partículas terapêuticas de AAV atuais devido aos seus altos títulos de anticorpos contra as partículas terapêuticas de AAV atuais. O pedido de patente está pendente de decisão, aguardando o início do exame técnico no INPI.
O pedido de patente de invenção n° BR 112021019272-7 das empresas chinesas JIANGSU HENGRUI MEDICINE CO., LTD. e SHANGHAI HENGRUI PHARMACEUTICAL CO., LTD. foi publicado em 04 de janeiro de 2022. O pedido de patente refere-se a uma composição farmacêutica contendo anticorpo contra IL-5 ou um fragmento de ligação ao antígeno do mesmo em uma solução tampão. Além disso, a composição farmacêutica contém ainda um sacarídeo e um tensoativo não iônico. O pedido de patente está pendente de decisão, aguardando o início do exame técnico no INPI.
O pedido de patente de invenção n° BR 112021019128-3 da empresa americana ABCURO, INC. foi publicado em 04 de janeiro de 2022. O pedido de patente refere-se a anticorpos de depleção de membro 1 da subfamília G do receptor tipo lectina de célula assassina (KLRG1). O receptor tipo lectina de célula assassina G1 (KLRG1) é expresso em células T e NK, que se ligam a ligantes em células epiteliais e mesenquimais. O ligante para KLRG1 foi descrito como sendo E-caderina, N-cadelina e R-cadelina. A presente divulgação se refere e resulta da descoberta e caracterização de anticorpos que se ligam ao domínio extracelular (ECD) de KLRG1, mas não interferem com sua interação com os ligantes E-caderina, N-caderina e R-caderina. Os anticorpos descritos foram derivados por tecnologia de hibridoma de camundongo e podem ser humanizados enxertando suas regiões determinantes de complementaridade (CDRs) em uma estrutura humana. Os anticorpos descritos podem ser usados como agentes terapêuticos eficazes. Vários anticorpos ou fragmentos de ligação ao antígeno destes anticorpos, juntamente com vários métodos terapêuticos e/ou diagnósticos, entre outras características, são fornecidos na presente divulgação. O pedido de patente está pendente de decisão, aguardando o início do exame técnico no INPI.
O pedido de patente de invenção n° BR 112021019772-9 da empresa americana FATE THERAPEUTICS, INC. foi publicado em 04 de janeiro de 2022. O pedido de patente refere-se a métodos e composições para a obtenção de células efetoras derivadas funcionalmente aprimoradas obtidas a partir da diferenciação alvejada de iPSCs geneticamente modificadas por genoma. As células derivadas de iPSC fornecidas no presente documento têm edição de genoma estável e funcional que entrega efeitos terapêuticos melhorados ou aprimorados. Também são fornecidas composições terapêuticas e o uso das mesmas que compreendem as células efetoras derivadas funcionalmente aprimoradas sozinhas ou com anticorpos ou inibidores de via de sinalização em terapias de combinação. O pedido de patente está pendente de decisão, aguardando o início do exame técnico no INPI.
O pedido de patente de invenção n° BR 112021022029-1 da empresa dinamarquesa CHR. HANSEN A/S e foi publicado em 28 de dezembro de 2021. O pedido de patente refere-se a métodos para encapsular um agente bioativo, como um microrganismo, métodos para fabricação de um produto alimentício, de nutrição, cosmético, produto para a saúde das plantas, saúde das sementes ou farmacêutico modificado compreendendo partículas de heteropolímero encapsulando um agente bioativo, como um microrganismo, composições e produtos que compreendem partículas de heteropolímero de um composto fenólico e uma proteína, e um agente bioativo encapsulado nos mesmos que pode ser obtido por esses métodos. Também é fornecido um método para entregar um agente bioativo a um objeto, compreendendo a administração ao referido objeto o alimento, nutrição, cosmético, produto para a saúde das plantas, saúde das sementes ou farmacêutico modificado aqui descrito. O pedido de patente está pendente de decisão, aguardando o início do exame técnico no INPI.
O pedido de patente de invenção n° BR 102021019505-3 brasileira ANA MARIA DE ARAÚJO RODRIGUES (BR/MG) foi publicado em 28 de dezembro de 2021. Em 16 de novembro de 2021 havia sido admitido o trâmite prioritário do pedido. O pedido de patente refere-se a uma composição farmacêutica in silico e o seu uso no combate à infecção causada pelo vírus SARSCoV2, que possibilita o aumento da vida útil do paciente, com qualidade, ao resolver o problema dos danos causados pelo vírus indicado, com prevenção de eventuais sequelas durante a infecção do organismo humano. O seu uso possibilita a recuperação do organismo do paciente e redução dos índices de mortalidade pela pandemia do coronavírus, registrados no mundo, predominantemente nos anos de 2020 e 2021. O pedido de patente está exame técnico no INPI, tendo recebido uma notificação de conhecimento de parecer (despacho 7.1) em 28 de junho de 2022.
O pedido de patente de invenção n° BR 112021023692-9 da empresa americana REGENERON PHARMACEUTICALS, INC. foi publicado em 04 de janeiro de 2022. O pedido de patente refere-se composições e métodos para adaptar partículas de vírus adeno-associado (AAV) que compreendem capsídeos de AAV de animal não primata, AAV remoto ou uma combinação dos mesmos. O AAV adaptado adequadamente pode ser uma plataforma de terapia gênica viável para o tratamento de um paciente em necessidade e pode ser particularmente útil em pacientes excluídos das modalidades de tratamento atuais que envolvem partículas terapêuticas de AAV atuais devido aos seus altos títulos de anticorpos contra as partículas terapêuticas de AAV atuais. O pedido de patente está pendente de decisão, estando em fase de exame técnico no INPI.
O pedido de patente de invenção n° BR 102020011679-7 da empresa brasileira REDE MORIAH SAÚDE LTDA foi publicado em 21 de dezembro de 2021. O pedido de patente refere-se a uma composição farmacêutica indicada para assepsia e barreira protetora via nasal, uso da referida composição e medicamento que compreende a dita composição. A presente invenção se refere a uma composição farmacêutica indicada para administrada via nasal/tópica que compreende PVPI (povidona-iodo) e cloreto de sódio. Trata-se de uma barreira de proteção não alcançada por nenhum outro produto disponível no mercado nacional. O principal objetivo é oferecer uma barreira de proteção pela via respiratória, ou seja, uma das principais entradas de microrganismos. O pedido de patente está pendente de decisão, aguardando o início do exame técnico no INPI.
O pedido de patente de invenção n° BR 102021016873-0 da empresa brasileira UNIVERSIDADE FEDERAL DE VIÇOSA teve o trâmite prioritário concedido em 07 de dezembro de 2021 e foi publicado na mesma data. O pedido de patente refere-se ao uso do medicamento ambenônio (DB01122) como potencial inibidor de proteases de coronavírus, macromolécula essencial no ciclo reprodutivo da família de vírus causadores de infecções, principalmente respiratórias. O ambenônio é usado, atualmente, no tratamento da doença muscular myasthenia gravis, por ser um inibidor de acetilcolinesterase, principalmente receptores muscarínico e nicotínico. A proposta do atual pedido de patente foi baseada em estudos computacionais de uma representante do grupo das main proteases de coronavírus, a 3CLpro de SARS-COV-2. Foi verificado que existe potencial de inibição do fármaco em relação à atividade da 3CLpro viral, e consequentemente seu uso no tratamento da covid-19, coronaviroses e infecções respiratórias causadas pelo coronavírus. O pedido de patente foi examinado pelo INPI e foi indeferido em 17 de maio de 2022.
O pedido de patente de invenção n° BR 112021017890-2 da empresa chinesa SUZHOU CONNECT BIOPHARMACEUTICALS, LTD foi publicado em 07 de dezembro de 2021. O pedido de patente refere-se a uma composição líquida compreendendo um anticorpo do receptor alfa de interleucina-4 humana. A presente invenção fornece uma composição líquida que compreende um anticorpo para o receptor alfa de interleucina-4 humana. A composição líquida compreende o anticorpo em uma concentração de 50 a 200 mg/ml; e um tampão, um agente de proteção e um tensoativo como adjuvantes. A composição líquida tem um pH de 5,4 a 6,4. O pedido de patente está pendente de decisão, aguardando o início do exame técnico no INPI.
O pedido de patente de invenção n° BR 112021017860-0 da empresa americana MORPHOSYS AG (DE) foi publicado em 07 de dezembro de 2021. O pedido de patente refere fornece novos anticorpos ou fragmentos de anticorpos que se ligam especificamente a C5aR de humano. Em particular, refere-se a anticorpos ou fragmentos de anticorpos que têm propriedades benéficas combinadas e são, portanto, úteis para o tratamento de doenças inflamatórias ou autoimunes ou câncer. O pedido de patente está pendente de decisão, aguardando o início do exame técnico no INPI.
O pedido de patente de invenção n° BR 112021020605-1 da empresa alemã ATRIVA THERAPEUTICS GMBH foi publicado em 07 de dezembro de 2021. O pedido de patente refere-se ao PD-0184264 para uso em um método para o tratamento de uma infecção viral ou de uma coinfecção viral e bacteriana. São também fornecidas composições compreendendo tais inibidores para uso no tratamento de uma infecção por vírus e na prevenção e/ou no tratamento de uma coinfecção bacteriana. O pedido de patente está pendente de decisão, estando em fase de exame técnico no INPI.
O pedido de patente de invenção n° BR 112021018585-2 da empresa alemã ATRIVA THERAPEUTICS GMBH foi publicado em 07 de dezembro de 2021. O pedido de patente refere-se aos inibidores RSK que são capazes de exibir um ou mais efeitos terapêuticos benéficos. Os inibidores RSK podem ser usados na prevenção e/ou tratamento de infecções virais. Os inibidores RSK sós ou em combinação com outros compostos inibidores antivirais, são capazes de exibir um ou mais efeitos terapêuticos benéficos no tratamento de doenças virais. O pedido de patente está pendente de decisão, estando em fase de exame técnico no INPI.
O pedido de patente de invenção n° BR 112021019110-0 da empresa belga GALAPAGOS NV foi publicado em 30 de novembro de 2021. O pedido de patente refere-se a compostos, métodos para a produção de ditos compostos, composições farmacêuticas compreendendo os ditos compostos e métodos para a profilaxia e/ou tratamento de doenças inflamatórias, doenças autoimunes, dor, fibrose e/ou doenças proliferativas através de administração de ditos compostos. O pedido de patente está pendente de decisão, aguardando o início do exame técnico no INPI.
O pedido de patente de invenção n° BR 112021016973-3 da empresa coreana DAEWOONG PHARMACEUTICAL CO., LTD. foi publicado em 30 de novembro de 2021. O pedido refere-se a uma composição que compreende LRRD2 de Slit3 ligado à albumina para prevenção ou tratamento de uma doença muscular, e mais particularmente provê uma proteína de fusão que compreende LRRD2 de Slit3 ligado à albumina, uma molécula de ácido nucleico que codifica a proteína de fusão, um vetor recombinante compreendendo a molécula de ácido nucleico, um transformante compreendendo o vetor recombinante, um método para preparar uma proteína de fusão usando o transformante, uma composição compreendendo a proteína de fusão para prevenção ou tratamento de uma doença muscular, e uma composição compreendendo a proteína de fusão para melhorar a meia vida in vivo de LRRD2 da proteína Slit 3. O pedido de patente está pendente de decisão, aguardando o início do exame técnico no INPI.
O pedido de patente de invenção n° BR 112021013807-2 da empresa sueca ASTRAZENECA AB foi publicado em 30 de novembro de 2021. O pedido de patente refere-se a compostos de heteroarila e suas preparações farmacêuticas. A invenção se relaciona adicionalmente com métodos de tratamento ou prevenção de doenças cardiovasculares e métodos de tratamento de sepses ou choque séptico, usando os novos compostos heterocíclicos descritos no presente documento. O pedido de patente está pendente de decisão, aguardando o início do exame técnico no INPI.
O pedido de patente de invenção n° BR 112021019217-4 da empresa americana GENZYME CORPORATION foi publicado em 30 de novembro de 2021. O pedido de patente refere-se a métodos e sistemas para a produção contínua de proteínas recombinantes. Em concretizações particulares, a invenção refere-se a métodos e sistemas usando cromatografia por captura, cromatografia de pós-captura, filtração de vírus, e ultrafiltração/diafiltração para a produção contínua de proteínas recombinantes. O pedido de patente está pendente de decisão, aguardando o início do exame técnico no INPI.
O pedido de patente de invenção n° BR 102020004988-7 da universidade brasileira UNIVERSIDADE FEDERAL DO RIO GRANDE DO SUL e HOSPITAL DE CLÍNICAS DE PORTO ALEGRE GENZYME CORPORATION foi publicado em 30 de novembro de 2021. O pedido de patente refere-se a uma composição nasal para entrega de enzima recombinante. Descreve a composição de uma formulação contendo a isoflavona genisteína como vetor para a forma recombinante da enzima iduronidase, com tamanho nanométrico (menor 1,0 micrômetro) a fim de ser administrado in vivo para fins de tratamento da mucopolissacaridose tipo I. A presente invenção pertence ao campo da nanotecnologia e consiste em formulações que podem ser utilizadas nas áreas farmacêutica e médica. O pedido de patente está pendente de decisão, aguardando o início do exame técnico no INPI.
O pedido de patente de invenção n° BR 112021017853-8 da empresa americana GENERATION BIO CO. foi publicado em 30 de novembro de 2021. O pedido de patente refere-se a vetores de ceDNA que têm estrutura linear e contínua para entrega e expressão de um transgene. Os vetores de ceDNA compreendem um cassete de expressão flanqueado por duas sequências ITR, em que o cassete de expressão codifica um transgene que codifica proteína FVIII. Alguns vetores de ceDNA compreendem ainda elementos cis-reguladores, incluindo chaves reguladoras. São ainda fornecidos neste documento métodos e linhagens celulares para expressão confiável de genes de proteína FVIII in vitro, ex vivo e in vivo com o uso dos vetores de ceDNA. O pedido de patente está pendente de decisão, aguardando o início do exame técnico no INPI.
O pedido de patente de invenção n° BR 112021019022-8 das empresas espanholas ESTEVE PHARMACEUTICALS, S.A. e UNIVERSITAT AUTÒNOMA DE BARCELONA foi publicado em 30 de novembro de 2021. O pedido de patente refere-se a métodos para a produção de altas titulações de vetores virais recombinantes, mais particularmente vetores AAV recombinantes, de modo que os métodos podem ser efetivamente empregados em uma escala que é adequada para a aplicação prática de técnicas de terapia genética. O pedido de patente está pendente de decisão, aguardando o início do exame técnico no INPI.
O pedido de patente de invenção n° BR 112021019120-8 da empresa americana BAYLOR COLLEGE OF MEDICINE foi publicado em 30 de novembro de 2021. O pedido de patente refere-se a linhagens de células T específicas para múltiplos vírus respiratórios e métodos de uso das mesmas para tratar e prevenir infecções virais. O pedido de patente está pendente de decisão, aguardando o início do exame técnico no INPI.
O pedido de patente de invenção n° BR 112021019476-2 da empresa israelense NOVAREMED LTD. foi publicado em 30 de novembro de 2021. O pedido de patente de invenção refere-se a uma forma polimórfica de (S,S)-2-N(3-O- (propan-2-ol)-1-propil-4-hidroxibenzeno)-3-fenilpropilamida ou, de forma sinônima, de N-[2-(4-Hidroxi-fenil)-1-(2-hidroxi-propoximetil)-etil]-3-fenil-propionamida e para o tratamento ou profilaxia de dor, inflamação e / ou autoimunidade e fornece um método para tratar ou prevenir a dor, inflamação e / ou autoimunidade, bem como o uso dessa forma polimórfica na fabricação de medicamentos para o tratamento ou profilaxia de dor (de preferência nociceptiva ou neuropática), inflamação e / ou autoimunidade em humanos e / ou animais não humanos. O pedido de patente está pendente de decisão, aguardando o início do exame técnico no INPI.
O pedido de patente de invenção n° BR 112021012225-7 da empresa alemã CHARITÉ - UNIVERSITÄTSMEDIZIN BERLIN e da empresa holandesa SAPREME TECHNOLOGIES B.V. foi publicado em 30 de novembro de 2021. O pedido de patente refere-se a uma estrutura molecular adequada para a ligação covalente de pelo menos uma molécula biologicamente ativa a uma molécula transportadora, a estrutura compreendendo uma estrutura polimérica e as moléculas biologicamente ativas ligadas covalentemente à referida estrutura polimérica, e em que a estrutura compreende ainda um grupo químico para acoplamento covalente do arcabouço à molécula transportadora. A molécula biologicamente ativa tem um peso molecular de 3.000 Dalton ou menos, como 1.700 Dalton - 1.950 Dalton. A molécula biologicamente ativa é uma molécula anfifílica em algumas modalidades. A molécula biologicamente ativa é uma única molécula específica ou é uma mistura de diferentes tipos de moléculas, quando mais de uma molécula biologicamente ativa está covalentemente ligada à estrutura polimérica (ou oligomérica). Em particular, o invento refere-se a conjugados de anticorpo-fármaco baseados em anticorpos monoclonais com janela terapêutica melhorada do fármaco devido à ligação covalente de (um grupo de) moléculas potenciadoras, p. Ex. uma carga útil, como uma toxina ou oligonucleotídeo de proteína para o ADC, ou alternativamente, devido à coadministração de um ADC e um conjugado de direcionamento de célula compreendendo (um grupo de) moléculas potenciadoras para um paciente em necessidade. A invenção também se refere a um método para a produção de uma estrutura adequada para a ligação covalente de uma molécula biologicamente ativa a uma molécula transportadora, proporcionando um agrupamento de moléculas potenciadoras. Além disso, a invenção se refere a um método para a produção de um arcabouço ligado covalentemente a uma molécula transportadora, o arcabouço compreendendo uma molécula biologicamente ativa ligada covalentemente, a molécula transportadora compreendendo um anticorpo e uma carga útil. O pedido de patente está pendente de decisão, aguardando o início do exame técnico no INPI.
O pedido de patente de invenção n° BR 102021009124-0 do brasileiro HELITON GONÇALVES SANTANA (BR/AM) foi publicado em 30 de novembro de 2021. O pedido de patente refere-se a um processo (1) de obtenção de um composto fitoterápico (2) para o tratamento e profilaxia da síndrome respiratória grave, com foco para a covid-19. O composto fitoterápico (2) é extraído a partir da planta Aranto (3), e atua na modulação da resposta inflamatória imune, garantindo a proteção do organismo. O pedido de patente está pendente de decisão, aguardando o início do exame técnico no INPI.
O pedido de patente de invenção n° BR 112021012222-2 da empresa holandesa SAPREME TECHNOLOGIES B.V. e a empresa alemã CHARITÉ - UNIVERSITÄTSMEDIZIN BERLIN foi publicado em 30 de novembro de 2021. O pedido de patente refere-se a uma combinação terapêutica, compreendendo uma primeira molécula proteica compreendendo um primeiro local de ligação para ligação a um primeiro epítopo de uma primeira molécula de superfície celular, a primeira molécula proteica fornecida com pelo menos uma saponina covalentemente ligada a um resíduo de aminoácido da referida primeira molécula proteica, e compreendendo uma segunda composição farmacêutica compreendendo uma segunda molécula proteica diferente da primeira molécula proteica, a segunda molécula proteica compreendendo um segundo sítio de ligação para ligação a um segundo epítopo de uma segunda molécula de superfície celular diferente da primeira molécula de superfície celular e compreendendo uma fração efetora, em que o segundo epítopo é diferente do primeiro epítopo. Um aspecto da invenção é uma composição compreendendo a primeira molécula proteica e a segunda molécula proteica da invenção. A invenção também se refere a um conjugado anticorpo-fármaco compreendendo a primeira molécula proteica da invenção e uma porção efetora. Um aspecto da invenção refere-se a uma composição farmacêutica compreendendo a composição ou o conjugado anticorpo-fármaco da invenção e, opcionalmente, compreendendo ainda um excipiente farmaceuticamente aceitável. A invenção também se refere à combinação terapêutica ou à composição ou ao conjugado anticorpo-fármaco ou à composição farmacêutica da invenção, para uso como um medicamento. O pedido de patente está pendente de decisão, aguardando o início do exame técnico no INPI.
O pedido de patente de invenção n° BR 112021018627-1 da empresa americana REGENERON PHARMACEUTICALS, INC. foi publicado em 23 de novembro de 2021. O pedido refere-se a métodos para o tratamento de alergia compreendendo selecionar um paciente com uma alergia e administrar uma quantidade terapeuticamente eficaz de um inibidor da via de IL-4/IL-13 (por exemplo, um anticorpo anti-receptor de IL-4 ou um fragmento de ligação a antígeno do mesmo) em combinação com uma quantidade terapeuticamente eficaz de um agente que esgota as células plasmáticas (por exemplo, um anticorpo biespecífico anti-BCMA/anti-CD3). Em certas modalidades, um agente de ablação de células plasmáticas tal como um anticorpo biespecífico anti-BCMA/anti-CD3 elimina por ablação as células plasmáticas, incluindo células plasmáticas IgE+, enquanto que o inibidor da via de IL-4/IL-13 previne a produção de novas células plasmáticas IgE+, eliminando assim a IgE alérgeno-específica do paciente. O pedido de patente está pendente de decisão, aguardando o início do exame técnico no INPI.
O pedido de patente de invenção n° BR 112021013206-6 da empresa americana REPERTOIRE IMMUNE MEDICINES, INC. foi publicado em 23 de novembro de 2021. O pedido refere-se a uma biblioteca de peptídeos, seus usos e método de isolamento de pares de Linfócito-Peptídeo que compreende: (a) o contato de um grande número de linfócitos com uma biblioteca de peptídeos, em que a biblioteca de peptídeos tem uma diversidade de mais de 1.000; e (b) a produção de um grande número de compartimentos, em que um compartimento do grande número compreende (i) um linfócito do grande número de linfócitos ligado a um peptídeo da biblioteca de peptídeos e (ii) um suporte de captura. O pedido de patente está pendente de decisão, aguardando o início do exame técnico no INPI.
O pedido de patente de invenção n° BR 112021018409-0 da empresa suíça HUMABS BIOMED SA foi publicado em 23 de novembro de 2021. O pedido refere-se a um anticorpo, caracterizado pelo fato de que compreende as sequências de CDR1, CDR2 e CDR3 de cadeia pesada como mostrado nas SEQ ID NO: 1, SEQ ID NO: 2 e SEQ ID NO: 3, respectivamente; as sequências de CDR1, CDR2 e CDR3 de cadeia leve como mostrado nas SEQ ID NO: 4, SEQ ID NO: 5 e SEQ ID NO: 6, respectivamente; e as mutações M428L e N434S na região constante da cadeia pesada. O anticorpo ainda, especialmente, se liga à hemaglutinina de um vírus influenza A. O pedido de patente está pendente de decisão, aguardando o início do exame técnico no INPI.
O pedido de patente de invenção n° BR 112021018451-1 das empresas chinesas JIANGSU HENGRUI MEDICINE CO., LTD. e SHANGHAI HENGRUI PHARMACEUTICAL CO., LTD. foi publicado em 23 de novembro de 2021.O pedido de patente pertence ao campo dos biofármacos e refere-se a um anticorpo biespecífico que se liga especificamente a VEGF e ANG2. Especificamente, refere-se a anticorpos de domínio único anti-ANG2 ou fragmento de ligação ao antígeno dos mesmos, anticorpos anti-VEGF ou fragmento de ligação ao antígeno dos mesmos, bem como à preparação e aplicação dos anticorpos biespecíficos formados pela fusão do anticorpo de domínio único anti-ANG2 e do anticorpo anti-VEGF. O pedido de patente está pendente de decisão, aguardando o início do exame técnico no INPI.

O pedido de patente de invenção n° BR 112021014074-3 da empresa americana REGENERON PHARMACEUTICALS, INC. foi publicado em 23 de novembro de 2021. O pedido de patente refere-se a anticorpos e fragmentos de ligação ao antígeno (p. ex., anticorpos humanos) que se ligam especificamente à subunidade gama do receptor de IL2 (IL2R) humano. Métodos para tratar ou prevenir doenças mediadas pela IL2R (p. ex., doença do enxerto contra o hospedeiro) usando os anticorpos e fragmentos são também providos juntamente com métodos para produzir os anticorpos e fragmentos. O pedido de patente está pendente de decisão, aguardando o início do exame técnico no INPI.
O pedido de patente de invenção n° BR 112021017147-9 da empresa norueguesa OSLO UNIVERSITETSSYKEHUS HF foi publicado em 09 novembro de 2021. O pedido de patente invenção refere-se a proteínas recombinantes que possuem uma sequência de aminoácidos correspondente ou relacionada ao domínio de homologia de repetição de trombospondina tipo 1 de um membro das proteínas da família CCN e ao seu uso. Além disso, refere-se a proteínas de fusão compreendendo uma sequência de aminoácidos correspondente ou relacionada ao domínio de homologia de repetição de trombospondina tipo 1 de um membro das proteínas da família CCN combinadas com um parceiro de fusão e, opcionalmente, uma região ligante. Além disso, são descritos novos fragmentos Fc resistentes à protease. O pedido de patente está pendente de decisão, estando em fase de exame técnico no INPI.
O pedido de patente de invenção n° BR 112021014313-0 da empresa americana ARONORA INC. (US) e a Universidade OREGON HEALTH & SCIENCE UNIVERSITY foi publicado em 05 de outubro de 2021. O pedido de patente refere-se anticorpos humanizados contra o fator xi que tem efeitos anti-trombóticos e anti-inflamatórios e usos dos mesmos. São descritas moléculas de ligação que compreendem anticorpos humanizados, fragmentos, variantes e derivados dos mesmos, composições, métodos e kits que compreendem os mesmos, em que as moléculas de ligação se ligam especificamente a FX1 e FX1a. As moléculas de ligação têm capacidade para se ligar e formar um complexo imune com o domínio A2 do fator X1 e, assim, interromper o complexo molecular de ativação de contato sem afetar a atividade ou ativação do fator XI hemostático. A molécula de ligação desta é útil para inibir com segurança a trombose e a inflamação sem comprometer a hemostase. As moléculas de ligação, composições, métodos e kits fornecidos no presente documento são, portanto, destinados a tratar, inter alia, doenças e afecções relacionadas a trombose e inflamação. Além disso, são fornecidos polinucleotídeos que codificam as moléculas de ligação desta revelação, vetores que compreendem os polinucleotídeos e células hospedeiras para a produção dos polinucleotídeos. O pedido de patente está pendente de decisão, aguardando o início do exame técnico no INPI.
O pedido de patente de invenção n° BR 112021015034-0 da empresa americana ELI LILLY AND COMPANY entrou em fase nacional no Brasil e foi publicado em 05 de outubro de 2021. O pedido refere-se a formulações farmacêuticas aquosas que compreendem um anticorpo anti-IL-17A, especialmente o IXEKIZUMABE; sacarose e um tensoativo (polissorbato 20 ou polissorbato 80). O pedido de patente está pendente de decisão, aguardando o início do exame técnico no INPI.
O pedido de patente de invenção n° BR 102020006268-9 da empresa brasileira EMS S.A. foi publicado em 28 de setembro de 2021. O pedido refere-se ao uso de hidroxicloroquina sozinha ou em combinação farmacêutica com um ou mais antibióticos, na preparação de uma composição farmacêutica para profilaxia e tratamento de COVID-19 e suas variantes e kit contendo a referida combinação. O pedido de patente está pendente de decisão, aguardando o início do exame técnico no INPI.
O pedido de patente de invenção n° BR 112021014420-0 da empresa chinesa TUOJIE BIOTECH (SHANGHAI) CO., LTD. foi publicado em 21 setembro de 2021. O pedido de patente invenção refere-se a um anticorpo quimérico e um anticorpo humanizado que compreende uma região CDR do anticorpo anti-CD79B, uma composição farmacêutica que compreende o anticorpo anti-CD79B ou o fragmento de ligação ao antígeno do mesmo, e um uso do mesmo como um fármaco anticâncer. Particularmente, a presente invenção refere-se a um anticorpo anti-CD79B humanizado e um uso do mesmo na preparação de um fármaco para o tratamento de linfoma (tal como DLBCL). O pedido de patente está pendente de decisão, estando em fase de exame técnico no INPI.
O pedido de patente de invenção n° BR 112021013571-5 da empresa americana COMPASS THERAPEUTICS LLC foi publicado em 21 setembro de 2021. O pedido de patente invenção refere-se a formulações estáveis compreendendo (a) um anticorpo anti-CD137 humano (ou fragmentos de ligação ao antígeno do mesmo) em uma concentração de 1 mg/ml a e 100 mg/ml, em que o anticorpo anti-CD137 compreende uma CDR3 de cadeia pesada de SEQ ID NO: 126, em que X é qualquer aminoácido, e (b) um tampão compreendendo histidina., e ao uso das formulações em métodos para tratar ou melhorar várias doenças e condições, incluindo câncer, que são passíveis de tratamento com um anticorpo CD137. O pedido de patente está pendente de decisão, estando em fase de exame técnico no INPI.
O pedido de patente de invenção n° BR 112021012647-3 da empresa chinesa AKESO BIOPHARMA, INC foi publicado em 14 de setembro de 2021. O pedido de patente de invenção refere-se a um anticorpo ou um fragmento de ligação ao antígeno do mesmo que se liga à IL4RA, de preferência IL4RA humana, caracterizado por: (1) o anticorpo compreender: uma HCDR1, compreendendo ou consistindo na sequência estabelecida na SEQ ID NO: 9; uma HCDR2, compreendendo ou consistindo na sequência estabelecida na SEQ ID NO: 10 e uma HCDR3, compreendendo ou consistindo na sequência estabelecida na SEQ ID NO: 11, uma LCDR1, compreendendo ou consistindo na sequência estabelecida na SEQ ID NO: 12, uma LCDR2, compreendendo ou consistindo na sequência estabelecida na SEQ ID NO: 13, e uma LCDR3, compreendendo ou consistindo na sequência estabelecida na SEQ ID NO: 14, . O pedido de patente está pendente de decisão, aguardando o início de exame técnico no INPI.
O pedido de patente de invenção n° BR 112021011982-5 da empresa francesa OSE IMMUNOTHERAPEUTICS foi publicado em 14 de setembro de 2021. O pedido de patente de invenção refere-se a anticorpos anti-humano-PD-1 monoclonal humanizados compreendendo: (a) uma VH compreendendo ou consistindo em uma sequência de aminoácidos de SEQ ID NO: 21; e (b) uma VL compreendendo ou consistindo em uma sequência de aminoácidos de SEQ ID NO: 24, em que o anticorpo ou fragmento de ligação a antígeno do mesmo é um antagonista da ligação de PD-L1 e/ou PD-L2 humanos à PD-1 humana., ácidos nucleicos que codificam os mesmos e usos dos mesmos no melhoramento de respostas imunológicas ao ativar células T e tratar doenças, como câncer e uma doença infecciosa. O pedido de patente está pendente de decisão, aguardando o início de exame técnico no INPI.
O pedido de patente de invenção n° BR 112021012555-8 da empresa russa JOINT STOCK COMPANY BIOCAD foi publicado em 14 de setembro de 2021. O pedido de patente de invenção refere-se a um anticorpo monoclonal humanizado ou fragmento de ligação de antígeno do mesmo que se liga especificamente à família TRBV9 do receptor de células T humanas.; a um ácido nucleico que codifica o anticorpo ou fragmento de ligação de antígeno do mesmo; um vetor de expressão; um método para preparar o referido anticorpo e o uso do referido anticorpo no tratamento de doenças ou distúrbios associados à família de receptores de células T humanas. O pedido de patente é direcionado à geração de anticorpos que podem ser usados para tratar, em particular AS, doença celíaca e doenças malignas do sangue, cuja patogênese envolve os TCRs da família TRBV9. O pedido de patente está pendente de decisão, aguardando o início de exame técnico no INPI.
O pedido de patente de invenção n° BR 112021011939-6 da empresa suíça F. HOFFMANN-LA ROCHE AG foi publicado em 14 de setembro de 2021. O pedido de patente refere-se a anticorpos que se ligam a cd3 e tyrp-1, ao polinucleotídeo isolado, a célula hospedeira e ao método para produzi-lo, a composição farmacêutica e usos deste anticorpo. Também incluem anticorpos multiespecíficos para ativação de células T, e aos polinucleotídeos que codificam tais anticorpos. O pedido de patente está pendente de decisão, aguardando o início do exame técnico no INPI.
O pedido de patente de invenção n° BR 112021011257-0 das empresas chinesas SHANGHAI JUNSHI BIOSCIENCES CO., LTD. e SUZHOU JUNMENG BIOSCIENCES CO., LTD. foi publicado em 31 de agosto de 2021. O pedido de patente refere-se a um anticorpo ou um fragmento funcional do mesmo que se liga especificamente à IL-17A com alta afinidade. Também são fornecidos uma molécula de ácidos nucleicos que codifica o anticorpo ou fragmento funcional do mesmo descrito no presente documento, um vetor de expressão e uma célula hospedeira para expressar o anticorpo ou fragmento funcional do mesmo descrito no presente documento e um método para preparar o anticorpo ou fragmento funcional do mesmo descrito no presente documento. A presente invenção também fornece uma composição farmacêutica que compreende o anticorpo ou fragmento funcional do mesmo descrito no presente documento e o uso do anticorpo ou fragmento funcional do mesmo descrito no presente documento para o tratamento de uma doença de disfunção imune. O pedido de patente está pendente de decisão, aguardando o início do exame técnico no INPI.
O pedido de patente de invenção n° BR 112021017074-0 da empresa americana NOVAVAX, INC. entrou em fase nacional em 27 de agosto de 2021. O pedido de patente refere-se a métodos de imunização materna compreendendo a administração de uma composição que compreende uma proteína F de RSV e um adjuvante a uma mulher grávida carregando um bebê gestacional, em que o método induz uma resposta imune contra, pelo menos, um sintoma associado à infecção do trato respiratório inferior RSV (LRTI) no bebê após o nascimento. O pedido de patente está pendente de decisão, aguardando o início do exame técnico no INPI.
O pedido de patente de invenção n° BR 112021010364-3 das empresas americanas AGENSYS, INC. e SEAGEN INC. foi publicado em 24 de agosto de 2021 O pedido de patente de invenção refere-se a composições farmacêuticas, contendo um conjugado de anticorpo-fármaco que compreende um anticorpo ou fragmento de ligação a antígeno do mesmo que se liga à 191P4D12 conjugado a uma ou mais unidades de monometil auristatina E (MMAE) e um excipiente farmaceuticamente aceitável que compreende L-histidina, polissorbato-20 (TWEEN-20) e pelo menos um dentre di-hidrato de trealose e sacarose. O pedido de patente está pendente de decisão, aguardando o início de exame técnico no INPI.

O pedido de patente de invenção n° BR 112021010453-4 da empresa britânica LEO PHARMA A/S foi publicado em .24 de agosto de 2021. O pedido de patente de invenção refere-se a um composto de acordo com a fórmula I (I), úteis no em tratamento de doenças dérmicas, tais como, por exemplo, psoríase, espondilite anquilosante e artrite psoriática. O pedido de patente está pendente de decisão, aguardando o início de exame técnico no INPI.

O pedido de patente de invenção n° BR 112021010047-4 da empresa americana BIOVERATIV THERAPEUTICS INC. foi publicado em 24 de agosto de 2021. O pedido de patente refere-se a vetores lentivirais que compreendem uma sequência de ácido nucleico codificando um polipeptídeo com atividade de fator IX (FIX) e métodos de uso de tais vetores lentivirais. Os vetores lentivirais direcionados ao fígado podem ser usados para a terapia gênica, em que a aplicação do gene lentiviral permite uma integração estável na expressão transgênica no genoma de células-alvo (por exemplo, hepatócitos) de indivíduos pediátricos (por exemplo, neonatos) ou adultos, alcançando uma melhoria na expressão FIX em doses baixas de vetor lentiviral. O presente pedido também apresenta métodos de tratamento de distúrbios hemorrágicos, como a hemofilia (por exemplo, hemofilia B), compreendendo administrar a um indivíduo que necessita de um vetor lentiviral direcionado para o fígado, compreendendo uma sequência de ácidos nucleicos que codifica um polipeptídeo com sequência de atividade FIX em doses baixas. O pedido de patente está pendente de decisão, aguardando o início do exame técnico no INPI.
O pedido de patente de invenção n° BR 112021010060-1 da empresa americana BRISTOL-MYERS SQUIBB COMPANY foi publicado em 24 de agosto de 2021. O pedido de patente refere-se anticorpo que compreende uma extensão c-terminal de cadeia leve do mesmo, tornando-o adequado para conjugação por meio de transamidação mediada por transglutaminase. Além disso, o presente pedido fornece sítios de conjugação alternativos e estruturas conjugadas para diversificar as opções diposníveis para o desenvolvimento de produtos biológicos. O pedido de patente está pendente de decisão, aguardando o início do exame técnico no INPI.
O pedido de patente de invenção n° BR 112021010374-0 da empresa americana 23ANDME, INC. foi publicado em 24 de agosto de 2021. O presente pedido refere-se proteínas de ligação, tais como anticorpos e fragmentos de ligação ao antígeno, que se ligam especificamente às citocinas de IL-36 humanas, IL-36a, IL-36ß e/ou IL36y, e bloqueiam as vias de sinalização estimuladas por IL-36. As composições compreendendo tais proteínas de ligação e métodos de produção e uso de tais proteínas de ligação também são fornecidas. O pedido de patente está pendente de decisão, aguardando o início do exame técnico no INPI.
O pedido de patente de invenção n° BR 112021010432-1 da empresa alemã IMMATICS BIOTECHNOLOGIES GMBH foi publicado em 24 de agosto de 2021. O pedido de patente refere-se a peptídeos, proteínas, ácidos nucleicos e células para utilização em métodos de imunoterapia. A presente invenção refere-se também a epítopos de peptídeos obtidos de células T associadas a tumores, isoladamente ou combinados com outros peptídeos associados a tumores, que podem atuar como ingredientes farmacêuticos ativos de composições vacinais que estimulam respostas imunes antitumorais ou que estimulam células T ex vivo, que são depois transferidas a pacientes. O pedido de patente está pendente de decisão, aguardando o início do exame técnico no INPI.
O pedido de patente de invenção n° BR 102021004050-5 da UNIVERSIDADE FEDERAL DO CEARÁ foi publicado em 10 de agosto de 2021. O pedido de patente refere-se à utilização de peptídeos sintéticos produzidos a partir da sequência da proteína ECA2 humana no combate da infecção causada pelo vírus SARS-CoV-2 (covid-19). A vantagem apontada seria que a utilização dos peptídeos sintéticos derivados da proteína ECA2 humana levariam a uma toxicidade e alergenicidade reduzidas para humanos; a possibilidade de obtenção dos peptídeos com alto grau de pureza; o baixo custo de obtenção dos peptídeos; a produção em larga escala e a alta estabilidade dos peptídeos, pois poderiam ser armazenados secos por muito tempo sem perder a atividade. O pedido de patente está pendente de decisão, aguardando o início do exame técnico no INPI.
O pedido de patente de invenção n° BR 102021007901-0 dos brasileiros YGUREY TIARAJU ELMANO DE OLIVEIRA e RUBIA FERNANDA DE OLIVEIRA MUNHOZ foi publicado em 08 de agosto de 2021. O pedido refere-se a uma formulação enxaguante bucal para a obtenção de um produto inibidor do poder de transmissão do coronavírus, em especial o SARS-CoV-2, e redutor dos sintomas que afetam o corpo das pessoas infectadas e sua duração. A formulação contém uma mistura de componentes onde, em volume q.s.p 100 de uma base de água destilada, são adicionados: 0,2% de Digluconato Clorhexidina (Clorexidina) e 0,2% de aroma de menta líquido. O produto resultante é líquido, do tipo enxaguante bucal a ser utilizado especialmente por pessoas infectadas pelo coronavírus, em especial a cepa SARS-CoV-2. O pedido de patente está pendente de decisão, aguardando o início do exame técnico no INPI.
Em 27 de julho de 2021, foi publicado o pedido de patente de invenção n° BR 102021007872-3 dos brasileiros YGUREY TIARAJU ELMANO DE OLIVEIRA e RUBIA FERNANDA DE OLIVEIRA MUNHOZ. O pedido refere-se a uma formulação para solução nasal (gotas ou spray) desenvolvida para inibir ou reduzir a ação de contágio por vírus, especialmente o vírus SARS-CoV-2 e patologias relacionadas. A formulação é composta por base de água purificada volume q.s.p 100, 0,2% de clorexidina (ação antimicrobiana), 0,04% de lidocaína (anestésico e lubrificante) e 0,9% de cloreto de sódio (conservante, espessante e descongestionante nasal).
O pedido de patente de invenção n° BR 122021012627-5 da universidade americana EMORY UNIVERSITY foi publicado em 20 de julho de 2021, quando foi admitido o trâmite prioritário por tratar-se de medicamento para o tratamento da covid-19. O pedido de patente refere-se a composições farmacêuticas que compreendem um excipiente farmaceuticamente aceitável e um composto selecionado dos seguintes. O pedido de patente está pendente de decisão, em fase de exame técnico no INPI.
O pedido de patente de invenção n° BR 112021013337-2 da empresa dinamarquesa BACTOLIFE APS entrou em fase nacional em 06 de julho de 2021. O pedido de patente refere-se a proteínas, composições e seu uso, em que a referida proteína compreende um primeiro peptídeo tendo uma primeira especificidade de ligação, um segundo peptídeo tendo uma segunda especificidade de ligação e um ligante, em que o referido primeiro e o referido segundo peptídeo se ligam a pelo menos uma superfície de patógeno componente e / ou pelo menos uma molécula produzida por um patógeno. O pedido de patente está pendente de decisão, aguardando o início do exame técnico no INPI.
O pedido de patente de invenção n° BR 102020023728- 4 da UNIVERSIDADE FEDERAL DO CEARÁ foi publicado em 08 de junho de 2021. O pedido de patente refere-se à utilização de peptídeos sintéticos produzidos com base na sequência de aminoácidos de proteínas vegetais, para o combate da infecção causada pelo SARS-CoV-2, aliviando ou eliminando os sintomas da doença covid-19. Esta invenção apresenta-se como uma alternativa contra o SARS-CoV-2. As principais vantagens da utilização dos peptídeos sintéticos são: capacidade de impedir a entrada do vírus SARS-CoV-2 nas células humanas, evitando a infecção; promover a evolução clínica (redução dos sintomas da covid-19) do paciente; e ausência de toxicidade dos peptídeos; e baixo custo de obtenção dos peptídeos. O pedido de patente está pendente de decisão, aguardando o início do exame técnico no INPI.
O pedido de patente de invenção n° PI 0609924-6 da empresa americana PULMATRIX INC. foi publicado em 11 de maio de 2010. O pedido de patente refere-se a formulações condutoras que contêm agentes condutores, tais como sais, sanguíneos iônicos, ou outras substâncias que estão em um estado ionizado ou facilmente ionizados em um ambiente de solvente aquoso ou orgânico. Um ou mais agentes ativos, tais como antivirais, antimicrobianos, anti-inflamatórios, proteínas ou peptídeos, podem ser opcionalmente incluídos com a formulação. O agente ativo pode ser administrado com ou incorporado dentro da formulação, ou pode ser administrado após a formulação condutora ser administrada. Quando aplicada a fluidos de revestimento mucoso, a formulação altera as propriedades físicas tais como a tensão de superfície, elasticidade da superfície e viscosidade do revestimento mucoso. A formulação é administrada em uma quantidade suficiente para alterar as propriedades biofísicas nos revestimentos mucosos do corpo. As formulações podem ser administradas para várias finalidades diferentes: reduzir a disseminação de doenças infecciosas, tanto virais como bacterianas, tais como SARS, influenza, tuberculose, e RSV em humanos e doença de casco e boca em animais com casco fendido; minimizar a contaminação do ambiente devido a formação de partículas durante a respiração, tosse, espirro ou fala que é particularmente importante em aplicações de esterilização de ambientes; diminuir ou prevenir a ocorrência de apneia obstrutiva do sono e alguns casos de síndrome do intestino irritável; e controlar a cinética de absorção de moléculas de fármacos e patógenos. O pedido de patente está pendente de decisão, aguardando o início do exame técnico no INPI.
O pedido de patente de invenção n° BR 102021000764-8, publicado em 04 de maio de 2021, dos russos BEIJAMIN JAMES DE SOUZA e LEONID YAMPOLSKY MIKHAILOVICH intitulado COMPOSIÇÃO E MÉTODO PARA OBTENÇÃO DE MEDICAMENTO COM ATIVIDADE ANTIVIRAL E ANTIBACTERIANA PARA SARS-CoV-2, encontra-se em exame prioritário no INPI por se tratar de tecnologia relacionada à covid-19. A matéria se refere a uma composição ativa e seu método de obtenção baseada na teoria do elemento da matriz mecanismo de solvatação de correção do cluster estrutural do meio a nível celular; o mesmo é capaz de reestruturar o meio ambiente a nível celular molecular, realizando uma atividade antiviral e antibacteriana de forma rápida e eficaz, com baixa toxicidade e reações alegóricas. Consiste em um complexo bioinorgânico com atividade polidirecional não específica, e cuja formulação consiste na composição de sais em sua forma estável, CuSO4 10-4 – 10-6 mol/l, ZnSO4 10-4– 10-6mol/l, FeCl3 10-4 – 10-8 mol/l, AgNO3 10-6– 10-8 mol/l, Sc2(S04)3 10-6 – 10-8 mol/l, MgSO4 10-4 – 10-6 mol/l, com concentração total = 10-4 mol/l, misturados em ordem e em condições especiais.
O pedido de patente de invenção n° PI 0905601-7 da empresa japonesa ONO PHARMACEUTICAL CO., LTD. foi publicado em 02 de maio de 2012. O pedido de patente refere-se a um composto tendo uma atividade oral e uma atividade antagonística de receptor cysLT1/cysLT2de longa duração potente, foi desenvolvido o composto da fórmula (I): que exibe atividade antagonística potente contra o receptor de cys-LT1/cysLT 2, e tem efeitos de longa duração mesmo no caso de administração oral, e, portanto, é útil como um agente oral para a prevenção e/ou tratamento de uma variedade de doenças, por exemplo, doença respiratória (por exemplo, asma (asma brônquica, etc.), doença pulmonar obstrutiva crônica (COPD), enfisema pulmonar, bronquite crônica, pneumonia (pneumonia intersticial, etc.), síndrome respiratória aguda severa (SARS), síndrome da angústia respiratória aguda (ARDS), síndrome da apneia, rinite alérgica, sinusite (sinusite aguda, sinusite crônica, etc.), fibrose pulmonar, tosse (tosse crônica, etc.), e similares). O pedido de patente está pendente de decisão, aguardando o início do exame técnico no INPI.
O pedido de patente de invenção n° PI 0409484-0 da empresa chinesa ARES TRADING S.A foi publicado em 02 de maio de 2006. O pedido de patente refere-se ao uso de interferon (IFN) para a fabricação de um medicamento utilizável para o tratamento e/ou prevenção de síndrome respiratória aguda severa (SARS) que é descrito na presente invenção. O pedido de patente está pendente de decisão, aguardando o início do exame técnico no INPI.
Em 29 de dezembro de 2020 foi publicado o pedido de patente de invenção n° BR 112020018209-5 da Universidade americana EMORY UNIVERSITY. O pedido refere-se a composições farmacêuticas que compreendem o composto de Fórmula 1, úteis para tratar ou prevenir uma infecção viral, um coronavírus humano, coronavírus SARS, coronavírus MERS, dentre outros. O pedido de patente de invenção está pendente de decisão, aguardando o início do exame técnico no INPI.

O pedido de patente de invenção n° BR 112020015475-0 da empresa coreana CELLTRION INC foi publicado em 08 de dezembro de 2020. O pedido relaciona-se a uma molécula ligadora tendo atividade de neutralização contra o coronavírus que causa a Síndrome Respiratória do Oriente Médio (MERS-CoV). Mais particularmente, o pedido relaciona-se a uma molécula ligadora tendo forte habilidade de ligar a uma proteína spike de MERS-CoV e atividade de neutralização contra MERS-CoV, sendo útil para prevenir, tratar ou diagnosticar a infecção por MERS-CoV. O pedido de patente está pendente de decisão, aguardando o início do exame técnico no INPI.
O pedido de patente de invenção n° BR 112020005177-2 da empresa americana JANSSEN BIOPHARMA, INC. foi publicado em 15 de setembro de 2020. O pedido refere-se a compostos de Fórmula (I) úteis na preparação de uma composição farmacêutica ou medicamento para o tratamento panviral (Picornaviridae, Flaviviridae, Filoviridae, Pneumoviridae e Coronaviridae), opcionalmente em que as doenças virais são selecionadas de uma infecção por Rinovírus na família Picornaviridae; uma infecção por vírus da Dengue ou uma infecção por Hepacivirus na família Flaviviridae; uma infecção por Ebolavirus na família Filoviridae; uma infecção por vírus sincicial respiratório humano (HRSV) na família Pneumoviridae; e uma infecção viral por α-coronavírus humano ou uma infecção viral por β-coronavírus humano na família Coronaviridae. O pedido de patente está pendente de decisão, aguardando o início do exame técnico no INPI.

O pedido de patente de invenção n° BR 112012016618-2 da empresa americana REGENERON PHARMACEUTICALS, INC. teve o trâmite prioritário, solicitado pelo Ministério da Saúde, concedido em 12 de maio de 2020 e foi publicado em 02 de junho de 2020. O pedido de patente refere-se a formulações farmacêuticas compreendendo um anticorpo humano que se liga especificamente a um receptor de interleucina-6 humano (hIL-6R). As formulações podem conter, adicionalmente, e/ou pelo menos um tensoativo não iônico. As formulações farmacêuticas da presente invenção exibem um grau considerável de estabilidade dos anticorpos depois do armazenamento por diversos meses. O pedido de patente foi examinado pelo INPI e foi indeferido em 05 de janeiro de 2021. Em 23 de janeiro de 2021 a empresa deu entrada ao recurso ao indeferimento. Em 06 de julho de 2021 o recurso foi reconhecido e o foi negado o provimento, sendo mantido o indeferimento do pedido.
O pedido de patente de invenção n° BR 112013027517-0 da empresa americana SELECTA BIOSCIENCES, INC teve o trâmite prioritário, solicitado pelo Ministério da Saúde, concedido em 12 de maio de 2020. O pedido de patente refere-se a nanotransportadores sintéticos tolerogênicos para indução de células b reguladoras. São divulgados métodos de nanotransportadores sintéticos, e composições relacionadas, compreendendo células B e/ou epítopos restritos a MHC de Classe II e imunossupressores de modo a gerar respostas imunes tolerogênicas, tais como a geração de células B reguladoras específicas de antigênio. O pedido de patente foi examinado pelo INPI e foi indeferido em 13 de outubro de 2020. Em 29 de dezembro de 2020 foi mantido o indeferimento, uma vez que não foi apresentado recurso dentro do prazo.
O pedido de patente de invenção n° BR 112019007931-9 das empresas francesas UNIVERSITE CLAUDE BERNARD LYON 1, INSTITUT NATIONAL DE LA SANTE ET DE LA RECHERCHE MEDICALE (INSERM), CENTRE NATIONAL DE LA RECHERCHE SCIENTIFIQUE (CNRS) foi publicado em 02 de julho de 2019. O presente pedido refere-se a composições farmacêuticas ou veterinárias antivirais úteis na prevenção e/ou tratamento de infecções causadas por coronavírus MERS-CoV (Síndrome Respiratória do Oriente Médio), caracterizada por compreender, um carreador farmacêutico adequado, pelo menos um composto escolhido de apigenina e berberina. O pedido de patente está pendente de decisão, aguardando o início do exame técnico no INPI.
O pedido de patente de invenção n° BR 112017025052-7 da empresa alemã GLAXOSMITHKLINE INTELLECTUAL PROPERTY DEVELOPMENT LIMITED foi publicado em 07 de agosto de 2018. O pedido refere-se a um composto derivado de ácido 3-(6-cloro-3-oxo-3,4-di-hidro-(2H)-1,4-benzotiazol-4-il)propanoico, uso do mesmo como inibidor de KMO e composição farmacêutica que compreende o referido composto, útil no tratamento de várias condições ou distúrbios tais como pancreatite aguda e outras condições ou distúrbios mediados por KMO. O pedido de patente está pendente de decisão, aguardando o início do exame técnico no INPI.

O pedido de patente de invenção n° BR 112017013193-5 da empresa alemã GLAXOSMITHKLINE INTELLECTUAL PROPERTY DEVELOPMENT LIMITED foi publicado em 02 de janeiro de 2018. O pedido refere-se a um composto de fórmula (I) e os seus sais são inibidores de KMO e úteis no tratamento de várias perturbações, por exemplo, pancreatite aguda, doença renal crônica, doença renal aguda, insuficiência renal aguda, outras patologias associadas com a síndrome de resposta inflamatória sistêmica (SIRS), doença de Huntington, a doença de Alzheimer doença, ataxias espinocerebelares, doença de Parkinson, complexo de SIDA-demência, a infecção pelo HIV, esclerose lateral amiotrófica (ALS), depressão, esquizofrenia, sepsia, choque cardiovascular, traumatismo grave, com lesão pulmonar aguda, síndrome respiratória aguda grave, colecistite aguda, queimaduras graves, pneumonia, extensos procedimentos cirúrgicos, isquemia intestinal, doença hepática aguda grave, grave encefalopatia hepática aguda ou insuficiência renal aguda. O pedido de patente está pendente de decisão, aguardando o início do exame técnico no INPI.

O pedido de patente de invenção n° BR 112016006122-5 da empresa americana NOVAVAX, INC foi publicado em 26 de setembro de 2017. O pedido refere-se à composição imunogênica compreendendo nanopartículas contendo proteínas do vírus da MERS em estruturas poliméricas, e composições contendo as nanopartículas formuladas para administração como composições imunogênicas. Além disso, tal pedido provê construções de vetores que codificam as proteínas, e células hospedeiras contendo os vetores construídos. O pedido também inclui métodos para produzir as nanopartículas e administrá-las a vertebrados, incluindo métodos para induzir respostas imunes à MERS que reduzem ou previnem a infecção pelo vírus. O pedido de patente está pendente de decisão, aguardando o início do exame técnico no INPI.
O pedido de patente de invenção n° PI0817250-1 da empresa japonesa CHUGAI SEIYAKU KABUSHIKI KAISHA foi publicado em 17 de junho de 2014. Em 12 de maio de 2020, teve o trâmite prioritário solicitado pelo Ministério da Saúde e concedido por tratar-se de matéria relacionada à COVID-19. O pedido de patente refere-se a anticorpo antirreceptor da IL-6. Foram encontradas encontro de mutações de aminiácidos específicas na região variável, região de estrutura principal e região constante de TOCILIZUMABE, e isto permite reduzir o risco de imunogenicidade e a heterogeneidade originadas de ligações dissulfeto na região de clivagem, bem como aperfeiçoar a atividade de ligações de antígeno, famacocinética, estabilidade sob condições ácidas e estabilidade em preparações em concentração alta. O pedido de patente foi examinado e indeferido. Em 12 de janeiro de 2021 foi mantida a decisão de indeferimento, uma vez que a requerente não apresentou recurso dentro do prazo legal.
O pedido de patente de invenção n° PI0818196-9 da empresa americana Revalesio Corporation foi publicado em 23 de agosto de 2011. O pedido de patente refere-se a composições e métodos para tratar ou prevenir doenças respiratórias ou do pulmão, ou condições caracterizadas por obstrução ou limitação de fluxo de ar, ou um sintoma dos mesmos (por exemplo: asma, rinite, rinite alérgica (e.g. via respiratória nasal), e doenças pulmonar obstrutiva crônica (COPD) e condições associadas à COPD (por exemplo: bronquite, enfisema, asma), enfisema, pneumonia, bronquite, influenza, SARS, tuberculose, e coqueluche, e assim por diante) em um sujeito em necessidade dos mesmos através da administração de uma composição terapêutica a qual compreende, pelo menos, um fluido gerado eletro-cineticamente (incluindo fluido gerado eletro-cineticamente enriquecido com gás) como apresentados aqui, o fluido aquoso eletro-cineticamente alterado, adequado para alterar a estrutura de membrana celular ou atuar suficientemente para fornecer a modulação da transdução do sinal intracelular, em que o tratamento da doença do pulmão ou um sintoma do mesmo. Aspectos adicionais relacionados a composições terapêuticas, e métodos de tratamento combinados compreendendo administração de, pelo menos, um fluido gerado eletro-cineticamente em combinação com, pelo menos, um agente terapêutico adicional. O pedido de patente encontra-se arquivado definitivamente, desde 19 de dezembro de 2017.
O pedido de patente de invenção n° PI0612983-8 da empresa americana NOVARTIS AG foi publicado em 14 de dezembro de 2010. O pedido de patente refere-se a novos métodos e composição para inibição viral, particularmente inibição de HCV e SARS. A invenção também fornece composições incluindo novos derivados de oxoazepanila tamida úteis para inibição viral. O pedido de patente encontra-se arquivado definitivamente, desde 21 de novembro de 2012.
O pedido de patente de invenção n° PI0606870-7 da empresa japonesa ONO PHARMACEUTICAL CO., LTD foi publicado em 27 de julho de 2009. O pedido de patente refere-se a um composto representado pela fórmula (I) onde todos os símbolos são conforme definido no relatório descritivo, um sal do mesmo, um solvato do mesmo ou uma pró-droga do mesmo, cujo composto apresenta atividade antagonística do receptor de leucotrieno, a qual se espera de ser mais efetiva que aquela dos antagonistas de receptores de leucotrieno atualmente usados em experimentos clínicos. Portanto, o composto da presente invenção é também de utilidade na prevenção e/ou tratamento de doenças mediadas pelo receptor de leucotrieno, tais como, as doenças respiratórias (como, por exemplo, asma brônquica, doença pulmonar obstrutiva crônica, enfisema pulmonar, bronquite crônica, pneumonia (incluindo pneumonite intersticial)), síndrome respiratória aguda grave (SARS), síndrome aguda de aflição respiratória (ARDS), rinite alérgica, sinusite (incluindo sinusite aguda, sinusite crônica, etc.), e de utilidade como um expectorante ou um agente antítussigeno. O pedido de patente encontra-se arquivado definitivamente, desde 10 de abril de 2012.

O pedido de patente de invenção n° PI 0606148-6 da empresa americana NEW YORK BLOOD CENTER foi publicado em 02 de junho de 2009. O pedido de patente refere-se a um anticorpo isolado capaz de ligar-se ao domínio de ligação do receptor da proteína spike da síndrome respiratória aguda grave - associada com o coronavírus (SARS-CoV) de forma a inibir competitivamente a ligação da SARS-CoV para as células principais. Estes mAbs ou substâncias podem ser usadas: 1) como agentes imunizantes passivos para a prevenção da infecção da SARS-CoV; 2) como reagentes biológicos para o diagnóstico da infecção da SARS-CoV; 3) como imunoterapêuticos para tratamento inicial da infecção da SARS-CoV; e 4) como provas para estudar a imunogenicidade, antigenicidade, estrutura e função da proteína S da SARS-CoV. O pedido de patente está pendente de decisão, aguardando o início do exame técnico no INPI.
O pedido de patente de invenção n° PI0512173-6 da empresa americana The New York Blood Center, Inc. foi publicado em 12 de fevereiro de 2008. O pedido de patente refere-se a uma composição imunogênica e métodos para potenciar uma resposta imune específica a um antígeno, para estimular uma resposta celular com secreção de citocinas, para gerar uma resposta imune em um mamífero em necessidade do mesmo contra oncocercíase, e para prevenir SARS e HIV em um mamífero. O método compreende a administração ao mamífero de uma quantidade eficaz de Ov-ASP, ou pelo menos uma subunidade de Ov-ASP, e uma porção antigênica. O pedido de patente encontra-se arquivado definitivamente, desde 09 de outubro de 2012.
O pedido de patente de invenção n° PI0318349-1 do pesquisador sigapurense Lin Zhem-Man foi publicado em 01 de agosto de 2006. O pedido de patente refere-se a um tratamento de superfície de pulmões infectados pela SARS, baseado no novo conceito médico do resultado. A 'Terapia O1' é a parte mais importante do 'tratamento de superfície'. O líquido esterilizante que é aplicado nos lobos pulmonares é o líquido para tratamento de superfície para a terapia O1 dos pulmões. O nome formal desse líquido é Perfluor (PFC) e o esterilizante é o ozônio. O pedido de patente encontra-se arquivado definitivamente, desde 11 de dezembro de 2007.
O pedido de patente de invenção n° PI 0410467-6 da empresa americana WYETH HOLDINGS CORPORATION foi publicado em 30 de maio de 2006. O pedido refere-se composições e métodos para tratamento de Síndrome Respiratória Aguda Severa (SARS) através de inibidores de citoquinas inflamatórias associadas a SARS incluindo infecção de coronavírus associada a SARS (SARS-CoV). Inibidores de TNF são revelados, como no uso de referidos inibidores para tratamento de SARS, incluindo SARS-CoV. O pedido de patente está pendente de decisão, aguardando o início do exame técnico no INPI.
O pedido de patente de invenção n° PI0409711-4 da empresa americana Sciclone Pharmaceuticals, Inc. foi publicado em 02 de maio de 2006. O pedido de patente refere-se a um tratamento ou prevenção de infecções respiratórias virais com peptídeos da alfa timosina. Um peptídeo da alfa timosina é administrado em um paciente que tenha contraído, ou esteja com risco de contrair uma infecção respiratória viral, uma infecção por coronavírus e/ou SARS. O pedido de patente encontra-se arquivado definitivamente, desde 16 de outubro de 2012.
O pedido de patente de invenção n° PI9707535-3 da empresa sueca LTB4 Sweden AB foi publicado em 04 de janeiro de 2001. O pedido de patente refere-se a à utilização de leucotrieno B~ 4~ (LTB~ 4~), variantes e derivados do mesmo como um agente terapêutico no tratamento ou prifilaxia de infecções virais causadas por vírus humano e animal. A presente invenção também diz respeito à utilização de LTB~ 4~, variantes e derivados do mesmo como um agente antineoplástico no profilaxia e tratamento de canceres induzidos por vírus tumorais e em outras doenças neoplásicas. Os vírus humano e animal são vírus de ADN, tais como parvoviridae, papovaviridade, adenoviridae, heropesviridae, poxviridae e hepadnaviridae, vírus de ARN, tais como picornaviridae, togaviridae, orthomyxoviridae, paramyxoviridae, coronaviridae, reoviridae, oncornaviridae e filoviridae em geral, e Retroviridae tais como HIV-1 E HIV-2. O pedido de patente foi examinado pelo INPI e indeferido em 25 de março de 2008.
O pedido de patente de invenção n° PI9710206-7 da empresa canadense Virocell, Inc. foi publicado em 10 de agosto de 1999. O pedido de patente refere-se ao uso de um agente Interleucina 8-(IL-8) para o tratamento de infecção viral causada por vírus humanos e de animais, e câncer causado por oncovírus. O agente IL-8 pode ser uma proteína IL-8 ou um seu análogo tendo uma atividade biológa da IL-8. A infecção viral pode ser de vírus de ADN selecionado do grupo consistindo de parvoridae, papovaviridae, adenoviridae, herpesviridae, poxviridae e hepadnaviridae, ou de um vírus do ARN selecionado do grupo consistindo de retroviridae, excluindo o HIV-1 e o HIV-2, picornaviridae, togaviridae, ortomixoviridae, paramixoviridae, coronaviridae, reoviridae, oncornaviridae e filoviridae. O pedido de patente encontra-se arquivado definitivamente, desde 06 de novembro de 2011.
Trâmite prioritário admitido – medicamentos
Em 10 de janeiro de 2023 foi admitido o trâmite prioritário do pedido de patente de invenção n° BR 112022019206-1 da empresa sueca TX MEDIC AB, que foi publicado em 08 de novembro de 2023. O pedido de patente refere-se ao sulfato de dextrana, ou um sal farmaceuticamente aceitável do mesmo, para uso no tratamento de uma infecção por coronavírus ou doença infecciosa e infecções causadas por outros patógenos de ligação a HSPG. O pedido também se refere ao tratamento de doenças inflamatórias, tais como ARDS e SIRS, que podem ocorrer em conexão com tais infecções. O pedido de patente está pendente de decisão, aguardando o início do exame técnico no INPI.
Em 20 de dezembro de 2022 foi admitido o trâmite prioritário do pedido de patente de invenção n° BR 112022019090-5 da empresa alemã INFLARX GMBH, que foi publicado em 08 de novembro de 2022. O pedido de patente refere-se a um inibidor da atividade de C5a em condição médica causada por ou associada à infecção por um coronavírus. O pedido também está relacionado ao uso de um inibidor da atividade de C5a na redução da resposta inflamatória em um indivíduo que sofre de uma infecção por coronavírus. O pedido de patente está relacionado adicionalmente a um inibidor da atividade de C5a para uso para melhora da função de órgãos, em particular função pulmonar e/ou função hepática, em um indivíduo que sofre de uma infecção por coronavírus. O pedido de patente está em fase de EXAME TÉCNICO no INPI, tendo recebido a notificação de conhecimento de parecer técnico em 16 de maio de 2023.
Em 03 de novembro de 2021 foi admitido o trâmite prioritário do pedido de patente de invenção n° BR 102021016375-5 da empresa brasileira GRAL BIOATIVOS LTDA e foi publicado em 30 de novembro de 2021. O pedido refere-se a um processo de produção de nanopartículas biogênicas de prata que compreende reduzir a prata, a partir de uma solução de nitrato de prata (AgNO3), com uma solução de extrato de casca de Trichilia catigua (catuaba) como agente redutor. O processo pode compreender ainda a obtenção de soluções de nanopartículas biogênicas de prata coloidal e micelar. Também se refere a nanopartículas biogênicas de prata e aos usos das mesmas. As nanopartículas biogênicas de prata, obtidas pelo processo da presente invenção, possuem importante atividade antimicrobiana, podendo ser aplicadas em materiais e formulações cosméticas, farmacêuticas, medicamentosas e sanitizantes em geral, ou utilizadas para a fabricação de formulações de interesse, com o fim conferir atividade contra microrganismos. O pedido de patente está pendente de decisão, estando em fase de exame técnico no INPI.
Em 27 de julho de 2021 foi admitido o trâmite prioritário do pedido de patente de invenção n° BR 112020010581-3 da universidade americana EMORY UNIVERSITY, por se tratar de matéria relacionada à covid-19; tendo sido publicado em 10 de novembro de 2020. O pedido refere-se a derivados de N4-hidroxicitidina de fórmula I, composições farmacêuticas e métodos relacionados a elas, preferencialmente aos compostos A, B e C. Tais compostos e suas composições são úteis no tratamento ou profilaxia de infecções virais, tais como, Encefalite Equina Oriental, Ocidental e Venezuelana (EEE, WEE e VEE, respectivamente), coronavírus humano, coronavírus SARS e coronavírus MERS, febre Chikungunya (CHIK), Ebola, Influenza, RSV e Infecções por vírus Zika. O pedido de patente de invenção está pendente de decisão, estando em fase de exame técnico no INPI.

preferencialmente:

MOLNUPIRAVIR (EIDD-2801)
(A) (B) (C)
Em 13 de julho de 2021 foi admitido o trâmite prioritário do pedido de patente de invenção n° BR 112016025009-5 da empresa americana REGENERON PHARMACEUTICALS, INC solicitado pelo Ministério da Saúde brasileiro. O pedido refere-se a anticorpos monoclonais que se ligam à proteína spike do coronavírus causador da Síndrome Respiratória do Oriente Médio (MERS-CoV), e aos métodos de utilização. Tais anticorpos são anticorpos humanos e são úteis para inibir ou neutralizar a atividade de MERS-CoV, proporcionando assim um meio para o tratamento ou prevenção da infecção MERS em seres humanos. O pedido também se refere a uma combinação de um ou mais anticorpos que se ligam à proteína de superfície spike de MERS-CoV para uso no tratamento de infecção de MERS. Em certas modalidades, um ou mais anticorpos se ligam a epítopos distintos não concorrentes compreendidos no domínio de ligação do receptor da proteína de superfície spike de MERS-CoV. O pedido de patente de invenção está pendente de decisão, estando em fase de exame técnico no INPI.
Em 20 de junho de 2021 foi admitido o trâmite prioritário do pedido de patente de invenção n° BR 112020015534-9 da empresa americana REGENERON PHARMACEUTICALS, INC solicitado pelo Ministério da Saúde brasileiro, tendo sido publicado em 05 de outubro de 2021. O pedido refere-se a anticorpos e fragmentos de ligação a antígeno que se ligam especificamente a uma proteína Spike de SARS-CoV-2 de coronavírus e métodos de uso de tais anticorpos e fragmentos para o tratamento ou prevenção de infecções virais como infecções pelo coronavírus. O pedido de patente está pendente de decisão, aguardando o início do exame técnico no INPI.
Em 02 de junho de 2020 foi admitido o trâmite prioritário do pedido de patente de invenção n° PI 0910455-0 da empresa americana GILEAD SCIENCES, INC foi publicado em 14 de fevereiro de 2018. O pedido de patente refere-se a análagos de carba-nucleosídeo 1- substituído para tratamento antiviral, mais particularmente a inibidores de RNA polimerase dependente de RNA de vírus da hepatite C. O pedido de patente está pendente de decisão, estando em fase de exame técnico no INPI.
Em 12 de maio de 2020 foi admitido o trâmite prioritário do pedido de patente de invenção n° BR 11201527288-6 da empresa americana SELECTA BIOSCIENCES, INC. solicitado pelo Ministério da Saúde brasileiro, tendo sido publicado em 25 de julho de 2017. O pedido refere-se a composições e métodos que fornecem efeitos farmacodinâmicos específicos para macromoléculas terapêuticas. Os efeitos podem resultar de doses reduzidas de macromoléculas terapêuticas em combinação com doses de imunossupressor. O pedido de patente de invenção está pendente de decisão, estando em fase de exame técnico no INPI.
Em 12 de maio de 2020 foi admitido o trâmite prioritário do pedido de patente de invenção n° BR 112018014123-2 da empresa indiana DR. REDDY'S LABORATORIES LIMITED solicitado pelo Ministério da Saúde brasileiro, tendo sido publicado em 11 de dezembro de 2018. O pedido refere-se a um método para estabilizar uma preparação farmacêutica aquosa suscetível a degradação por formulação em um sistema de tampão duplo, em que os tampões individuais são selecionados a partir de tampão fosfato, aspartato, glutamato e succinato. O pedido de patente está pendente de decisão, aguardando o início do exame técnico no INPI.
Em 12 de maio de 2020 foi admitido o trâmite prioritário do pedido de patente de invenção n° BR 112015027281-9 da empresa americana SELECTA BIOSCIENCES, INC. solicitado pelo Ministério da Saúde brasileiro. Tal pedido refere-se a combinações de dosagens de macromoléculas terapêuticas e imunossupressores para reduzir respostas imunológicas humorais indesejadas. Em algumas modalidades são fixados a nanocarreadores sintéticos, em combinação com dosagens de macromoléculas terapêuticas sem nanocarreadores sintéticos e métodos relacionados que fornecem respostas imunológicas humorais reduzidas. O pedido de patente de invenção está pendente de decisão, estando em fase de exame técnico no INPI.
Em 12 de maio de 2020 foi admitido o trâmite prioritário do pedido de patente de invenção n° BR 122020002482-8 da empresa americana SELECTA BIOSCIENCES, INC. solicitado pelo Ministério da Saúde brasileiro. Tal pedido ainda não foi publicado.
O pedido de patente de invenção n° BR 112018002404-0 da empresa alemã MERCK PATENT GMBH foi publicado em 18 de setembro de 2018 e teve o trâmite prioritário concedido, por ser uma tecnologia relacionada à covid-19, em 12 de maio de 2020. O pedido de patente refere-se ao uso de um composto de FGF-18 em combinação com um ingrediente ativo adicional, selecionado do grupo de um inibidor de IL-6, um inibidor do receptor de IL-6, um inibidor de NGF ou um composto de toxina botulínica. Dita composição pode ser usada para o tratamento de um distúrbio da cartilagem, tal como osteoartrite ou lesão de cartilagem. O pedido de patente foi examinado e indeferido em 17 de novembro de 2020. O depositante solicitou recurso ao indeferimento e a este foi negado o provimento, tendo sido mantido o indeferimento, em 06 de julho de 2021.
O pedido de patente de invenção n° BR 112022021454-5 da empresa britânica THIRTY RESPIRATORY LIMITED foi publicado em 31 de janeiro de 2023. O pedido de patente refere-se a um ou mais agentes selecionados dentre ácidos carboxílicos orgânicos, ácidos redutores não carboxílicos orgânicos, óxido nítrico (NO), uma composição geradora de óxido nítrico, uma combinação ou associação combinável de ingredientes para uma composição geradora de óxido nítrico e misturas dos mesmos, para uso como um agente antiviral contra o coronavírus SARS-CoV ou SARS-CoV-2. O pedido de patente está pendente de decisão, aguardando o início do exame técnico no INPI.
O pedido de patente de invenção n° BR 11 2022 023117 2 da empresa americana THE REGENTS OF THE UNIVERSITY OF CALIFORNIA foi publicado em 17 de janeiro de 2023. O pedido de patente refere-se a anticorpos, incluindo anticorpos de domínio único, que se ligam ao vírus SARS-CoV2 e métodos de tratamento usando anticorpos de domínio único que se ligam ao vírus SARS- CoV2. O pedido de patente está pendente de decisão, aguardando o início do exame técnico no INPI.
O pedido de patente de invenção n° BR 11 2023 003078 1 da empresa americana VITRUVIAE LLC foi publicado em 23 de maio de 2023. O pedido de patente refere-se a inter alia, ao uso de terapia direcionada de fosfotidilserina ou açúcar patogênico para o gerenciamento e tratamento de infecções microbianas, incluindo Zika, Dengue, Nilo Ocidental, Ebola, H1N1, Enterovírus, Leishmaniose, Malária e Coronavírus SARS-COV. Em um aspecto, a invenção está relacionada a um construto de fusão compreendendo um domínio Ig-Fc ou outro arcabouço de proteína, tal como albumina, e um peptídeo, proteína ou fragmento de anticorpo que se liga a fosfatidilserina e/ou um peptídeo ou proteína que se liga a e/ou reconhece um PAMP expresso por um micróbio. Outros aspectos são descritos. O pedido de patente está pendente de decisão, aguardando o início do exame técnico no INPI.
|
O pedido de patente de invenção n° BR 11 2023 013982 1 da empresa coreana ABION INC. foi publicado em 19 de setembro de 2023. O pedido de patente refere-se a um método de administração profilática contra vírus respiratórios, compreendendo a administração de interferon-beta a um indivíduo potencialmente infectado por vírus respiratórios e, de forma mais específica, a um método para conter a infecção de autorreplicação por vírus respiratórios em um indivíduo exposto a potencial infecção por vírus respiratórios, pela administração de interferon-beta como um ingrediente ativo para células respiratórias através da respiração na forma de administração direta a células infectadas ou potencialmente infectadas com um vírus respiratório. O pedido de patente está pendente de decisão, aguardando o início do exame técnico no INPI. |