Ir para o Conteúdo 1 Ir para a Página Inicial 2 Ir para o menu de Navegação 3 Ir para a Busca 4 Ir para o Mapa do site 5
Abrir menu principal de navegação
Instituto Nacional do Seguro Social - INSS
Termos mais buscados
  • imposto de renda
  • inss
  • assinatura
  • cnh social
  • mei
Termos mais buscados
  • imposto de renda
  • inss
  • assinatura
  • Acesso à Informação
    • Institucional
      • Agenda de Autoridades
      • Estrutura
      • Galeria de Ex-presidentes
      • Institucional
      • Perfil Profissional Desejável
      • Quem é Quem
    • Ações e Programas
      • Carta de Serviços
      • Fundo de Amparo ao trabalhador – FAT
      • Governança
      • PDP - Plano de Desenvolvimento de Pessoas
      • Programa de Educação Previdenciária – PEP
      • Programas, projetos, ações, obras e atividades
      • Renúncias de Receitas
    • Acordos de Cooperação Técnica - ACT's
      • Acordos de Cooperação Técnica - ACT's
      • Acordos de Cooperação Técnica - ACT's - NACIONAIS
      • Encontre seu ACT por Estado (UF)
      • Protocolos de intenções
    • Acordos de Cooperação Técnica (ACTs) de Mensalidades Associativas
      • Cópia dos Acordos de Cooperação Técnica (ACTs)
    • Auditorias
      • Sobre a Auditoria-Geral
      • Programa de Gestão e Melhoria da Qualidade – PGMQ
      • Planejamento e divulgação de resultados
    • Avisos sobre Sistemas
    • Convênios e Transferências
      • Acordos de Cooperação Técnica Nacionais
      • Créditos Consignados
      • Repasses e transferências de recursos financeiros
    • Corregedoria
    • Dados Abertos
      • Dados Abertos
    • Imóveis
    • Informações Classificadas
    • Judicialização de Benefícios
    • Lei Geral de Proteção de Dados Pessoais (LGPD)
    • Leilões e Imóveis
    • Licitações e Contratos
    • Lista de Serviços do INSS
    • Números do INSS
      • Ouvidoria - Painel Resolveu?
      • Painel Previdenciário
    • Participação Social
      • Audiências Públicas
      • Consultas Públicas
      • Editais de chamamento público
      • Ouvidoria
      • Outras Ações
    • Perguntas Frequentes
    • Receitas e Despesas
      • Receitas e Despesas
      • Viagens a serviço
      • Beneficiários do Orçamento da Emenda do Relator - RP9
    • Serviço de Informação ao Cidadão - SIC
      • Autoridade de monitoramento
      • Como fazer um Pedido de Acesso à Informação
      • Fluxos
      • Painel de Acesso à Informação (CGU)
      • Pedido de Acesso à Informação
      • Por dentro da LAI
      • Prazos
      • Recursos x Reclamação
      • Relatórios
    • Servidores
      • Servidores
      • Concursos Públicos
      • Chamamento público e processo seletivo simplificado de temporários
      • Terceirizados
    • Transparência e Prestação de Contas
      • Ações Civis Públicas
      • Ações de supervisão e controle
      • Acompanhamento do Termo de Acordo STF Processo RE 1.171.152/SC
      • Autorização de Pagamento (AP) perícias judiciais
      • Contato da autoridade de monitoramento LAI e SIC
      • Estrutura organizacional
      • Legislação
      • Licitações e contratos
      • Órgãos de Controle
      • Portal Transparência Previdenciária
      • Prestação de Contas Anual
      • Programas, projetos, ações, obras e atividades
      • Remuneração recebida por ocupante de cargo, aposentados e pensionistas
      • Repasses e transferências de recursos financeiros
      • Relatório de Resultados do Instituto Nacional do Seguro Social
      • Termos de Compromisso com Financeiras
      • PGD
  • Assuntos
    • Comitê gestor da reabilitação integral
    • Laboratório de inovação do INSS - LabPrev
    • Ministério da Previdência
    • Servidores aposentados e pensionistas - RPPU
  • Composição
    • Presidência (01.001)
    • Gabinete - GABPRE (01.001.0)
      • Quem é quem
      • Competências
      • Divisão de Gerenciamento de Convocações (01.001.004)
      • Serviço Técnico Administrativo do Gabinete (01.001.006)
      • Coordenação de Normas e Procedimentos do Gabinete (01.001.11)
      • Coordenação-Geral de Planejamento e Gestão (01.001.3)
    • Assessoria de Comunicação Social - ASCOM (01.001.6)
      • Divisão de Comunicação Administrativa (01.001.601)
      • Serviço de Publicidade Legal (01.001.602)
      • Coordenação de Comunicação Institucional (01.001.61)
      • Coordenação de Relacionamento com a Imprensa (01.001.62)
    • Auditoria-Geral - AUDGER (01.100)
      • Coordenação-Geral de Auditoria em Benefícios (01.100.2)
      • Coordenação-Geral de Auditoria em Gestão Interna (01.100.3)
      • Coordenação-Geral de Planejamento e Avaliação da Auditoria (01.100.5)
      • Unidades Descentralizas
    • Diretoria de Tecnologia da Informação - DTI (01.111)
      • Serviço Técnico Administrativo (01.111.001)
      • Coordenação de Planejamento e Suporte a Contratações (01.111.01)
      • Coordenação-Geral de Tecnologia da Informação (01.111.2)
      • Coordenação-Geral de Serviços Digitais e Sistemas de Atendimento (01.111.3)
      • Coordenação-Geral de Gestão do Atendimento (01.111.4)
      • Coordenação-Geral de Gestão das Centrais de Análise (01.111.5)
    • Diretoria de Governança, Planejamento e Inovação - DIGOV (01.112)
      • Serviço Técnico Administrativo (01.112.001)
      • Coordenação-Geral de Governança, Riscos e Integridade (01.112.2)
      • Coordenação-Geral de Conformidade, Prevenção e Inovação (01.112.4)
      • Ouvidoria (01.112.5)
      • Coordenação-Geral de Apuração e Cobrança Administrativa de Benefícios (01.112.6)
    • Procuradoria Federal Especializada - PFE-SEDE (01.200)
      • Subprocuradoria-Geral (01.200.1)
      • Coordenação-Geral de Matéria de Licitações, Parcerias e Residual (01.200.2)
      • Coordenação-Geral de Matéria de Benefícios (01.200.3)
      • Coordenação-Geral de Matéria de Pessoal e Patrimônio (01.200.7)
      • Coordenação-Geral de Assuntos Judiciais e Extrajudiciais (01.200.8)
      • Unidades Descentralizadas
    • Diretoria de Orçamento Finanças e Logística - DIROFL (01.300)
      • Serviço Técnico Administrativo (01.300.001)
      • Coordenação-Geral de Recursos Logísticos (01.300.1)
      • Coordenação-Geral de Orçamento, Finanças e Contabilidade (01.300.2)
      • Coordenação-Geral de Engenharia e Patrimônio Imobiliário (01.300.3)
      • Coordenação-Geral de Licitações e Contratos (01.300.4)
    • Diretoria de Benefícios e Relacionamento com o Cidadão - DIRBEN (01.500)
      • Serviço Técnico Administrativo (01.500.001)
      • Coordenação-Geral de Reconhecimento de Direitos (01.500.1)
      • Coordenação-Geral de Articulação e Gestão da DIRBEN (01.500.2)
      • Coordenação-Geral de Serviços Previdenciários e Assistenciais (01.500.3)
      • Coordenação-Geral de Administração de Informações do Segurado (01.500.4)
      • Coordenação-Geral de Pagamento de Benefícios (01.500.5)
    • Diretoria de Gestão de Pessoas - DGP (01.700)
      • Serviço Técnico Administrativo (01.700.001)
      • Divisão de Acompanhamento de Demandas de Controle (01.700.003)
      • Divisão de Administração de Demandas Judiciais (01.700.004)
      • Coordenação-Geral de Administração de Pessoas (01.700.2)
      • Coordenação-Geral de Educação, Saúde e Segurança no Trabalho (01.700.3)
      • Coordenação-Geral de Centralização do Regime Próprio de Previdência Social da União (01.700.4)
    • Corregedoria-Geral - CORREG (01.800)
      • Serviço Técnico Administrativo (01.800.001)
      • Coordenação de Gestão Correcional (01.800.01)
      • Unidades Descentralizas
    • Unidades Descentralizadas
      • Superintendência Regional – Sudeste I (21.150)
      • Superintendência Regional – Sudeste II (11.150)
      • Superintendência Regional – Sudeste III (17.150)
      • Superintendência Regional – Sul (20.150)
      • Superintendência Regional – Nordeste (15.150)
      • Superintendência Regional – Norte/Centro-Oeste (23.150)
  • Centrais de Conteúdo
    • Áudios
    • Formulários
      • Formulários para serviços e benefícios
      • Acordos internacionais
      • Servidores
      • Servidores aposentados e pensionistas
    • Legislação
      • Despachos Decisórios e Decisões
      • Editais
      • Instruções Normativas
      • Ofícios-Circulares
      • Pareceres
      • Portarias
      • Portarias Conjuntas
      • Resoluções
      • Estrutura Regimental e Regimento Interno do Instituto Nacional do Seguro Social - INSS
      • Normas Interativas
      • Legado
      • Lista de atos normativos do INSS abaixo de Decretos que passarão por revisão
      • Normas Básicas
    • Publicações
      • Ação Civil Pública
      • Acordos de Cooperação Técnica - ACTs
      • Acordos Internacionais
      • Apresentações
      • Atas
      • Cartilhas e Folders
      • Currículos
      • Dados Abertos
      • Editais de Chamamento Público
      • Imóveis
      • Leilões
      • Licitações e contratos
      • Mapa Estratégico
      • Plano de ação
      • Plano Diretor de Tecnologia da Informação (PDTI)
      • Plano de integridade
      • Plano de Obras e Serviços de Engenharia 2024/2025
      • Relatórios
      • Servidores
      • Tutoriais
      • Outras
  • Canais de Atendimento
    • Central 135
    • Calendário de Viagens do PREVBarco
    • Fale Conosco
    • Imprensa
      • Notas à Imprensa
    • Meu INSS
      • Saiba tudo sobre o Meu INSS
      • Esqueceu a senha?
      • Política de Privacidade do Meu INSS
      • Passo a Passo - Utilidades
    • Ouvidoria
      • Relatórios de gestão
      • Limites de atuação da ouvidoria do INSS
      • Denúncias: perguntas e respostas
      • Guia lilás
      • Legislação
      • Painel resolveu?
    • Rede de Atendimento
    • Serviços por canal de atendimento
  • Direitos e deveres
    • Acordos internacionais
      • Informações Gerais
      • Acordos internacionais em vigor
      • Formulários
      • Organismos de Ligação
      • Serviços
      • Comprovação de Vida
    • Aposentadorias
      • Aposentadoria Especial
      • Aposentadoria por idade do trabalhador rural
      • Aposentadoria por idade da pessoa com deficiência
      • Aposentadoria por Idade Urbana
      • Aposentadoria por incapacidade permanente
      • Aposentadoria por tempo de contribuição da pessoa com deficiência
      • Aposentadoria por tempo de contribuição do professor
      • Aposentadoria programada
      • Aposentadoria programada do professor
      • Regras de Aposentadorias
    • Auxílio-reclusão
      • Auxílio-reclusão
      • Valor limite para direito ao auxílio-reclusão
      • Valor do Auxílio-reclusão
    • Benefícios Assistenciais
      • Benefício assistencial à pessoa com deficiência (BPC-Loas)
      • Benefício assistencial à pessoa idosa (BPC-Loas)
      • Benefício assistencial para o trabalhador portuário avulso
      • Auxílio-inclusão à pessoa com deficiência
    • Benefícios por incapacidade
      • Auxílio por incapacidade temporária
      • Auxílio-Acidente
      • Benefícios concedidos ou reativados por decisão judicial
      • Diferença entre auxílio por incapacidade temporária comum ou decorrente de acidente de trabalho
      • Perícia de Revisão
    • Certidão de Tempo de Contribuição (CTC)
    • Inscrição e Contribuição
      • Ajustes para alcance do salário mínimo - Emenda Constitucional nº 103, de 2019
      • Cálculo da Guia da Previdência Social - GPS
      • Como preencher a GPS
      • Contribuição do Segurado Especial
      • Contribuição dos segurados facultativo e contribuinte individual
      • Contribuição Previdenciária e Salário de Contribuição
      • Débito automático da GPS
      • Inscrição
      • Regularização de Contribuição Previdenciária
      • Restituição e Compensação
      • Tabela de códigos de pagamento de contribuição previdenciária
      • Tabela de contribuição mensal
      • Tipos de filiação
      • Plano simplificado
    • Pagamento de benefícios
      • Consignação em benefícios do INSS: seus direitos e medidas de segurança
      • Tabela de pagamento de benefícios
    • Pensões
      • Pensão especial destinada a crianças com Síndrome Congênita do Zika Vírus (2015 a 2019)
      • Pensão especial hanseníase
      • Pensão especial para pessoas com síndrome da talidomida
      • Pensão por morte
      • Pensão por morte do(a) segurado(a) especial
      • Valor da pensão por morte
    • Reabilitação Profissional
    • Recurso
      • Recurso Administrativo de Benefício Previdenciário
      • Dúvidas Frequentes
    • Representação legal
    • Salário Família
      • Valor limite para direito ao salário-família
      • Salário-Família
    • Salário Maternidade
      • Salário-Maternidade
      • Salário-Maternidade para segurada(o) especial
      • Valor do salário-maternidade
    • Serviço Social
  • Notícias
  • Painel Descontos Associativos
  • Portal de Transparência Previdenciária
  • Redes Sociais
    • YouTube
    • Instagram
    • Facebook
    • Twitter
    • Threads
    • Tiktok
    • Flickr
    • Política de moderação
    • WhatsApp
  • Saiba Mais
    • Ajustes para alcance do Salário Mínimo
    • Rural
      • Autodeclaração Rural
    • Salário-Família
      • Valor limite para direito ao salário-família
      • Cadastrar ou Atualizar Dependentes para Salário-Família
    • Seus direitos e deveres
      • Atualização de tempo de contribuição
      • Categorias de segurados
      • Dependentes
      • Pagamento de Benefícios
      • Procuração
      • Qualidade de segurado
    • Outros assuntos
      • Acordos de Cooperação Técnica - ACT
    • Caravana Federativa
    • Inclusão INSS
  • Serviços
    • Aposentadorias
      • Simular Aposentadoria
      • Solicitar Aposentadoria por Idade de Pessoa com Deficiência
      • Solicitar Aposentadoria por Idade Rural
      • Solicitar Aposentadoria por Idade Urbana
      • Solicitar Aposentadoria por Tempo de Contribuição
      • Solicitar Aposentadoria por Tempo de Contribuição da Pessoa com Deficiência
      • Solicitar Benefício por Incapacidade Permanente (Aposentadoria por Invalidez)
      • Solicitar Acréscimo de 25% na Aposentadoria por Incapacidade Permanente (Aposentadoria por Invalidez)
    • Auxílios
      • Renovar Declaração de Cárcere
      • Solicitar Auxílio-Acidente no INSS
      • Solicitar Auxílio-Doença da Aeronauta Gestante
      • Solicitar Auxílio-Reclusão Rural
      • Solicitar Auxílio-Reclusão Urbano
    • Benefícios Assistenciais
      • Auxílio-Inclusão à Pessoa com Deficiência
      • Solicitar Benefício Assistencial à Pessoa com Deficiência (BPC/LOAS)
      • Solicitar Benefício Assistencial ao Idoso (BPC/LOAS)
      • Solicitar Benefício Assistencial ao Trabalhador Portuário Avulso
      • Suspender o Benefício Assistencial à Pessoa com Deficiência para Inclusão no Mercado de Trabalho
    • Empresas
      • Consulta benefícios previdenciários do empregado
      • Registrar Comunicação de Acidente de Trabalho - CAT
    • Pensões
      • Cadastrar, Alterar ou Excluir Pensão Alimentícia
      • Solicitar Certidão de Inexistência de Dependentes Habilitados à Pensão por Morte
      • Solicitar Pensão especial destinada a crianças com Síndrome Congênita do Zika Vírus
      • Solicitar Pensão por Morte Rural
      • Solicitar Pensão por Morte Urbana
      • Solicitar Pensão Especial da Síndrome da Talidomida
    • Salário-maternidade
      • Solicitar Salário Maternidade Rural
      • Solicitar Salário-Maternidade Urbano
    • Para quem mora no exterior
      • Atualizar Dados Cadastrais ou Bancários
      • Atualizar Dados de Imposto de Renda
      • Emitir Declaração de Filiação ao Regime Geral de Previdência Social - RGPS
      • Solicitar Atualização de Atestado de Vida
      • Solicitar Atualização de Certificado de Deslocamento Temporário
      • Solicitar Aposentadoria da Pessoa com Deficiência por Idade
      • Solicitar Aposentadoria da Pessoa com Deficiência por Tempo de Contribuição
      • Solicitar Aposentadoria por Idade
      • Solicitar Aposentadoria por Incapacidade Permanente
      • Solicitar Aposentadoria por Incapacidade Permanente - Relatório Médico no Exterior
      • Solicitar Aposentadoria por Tempo de Contribuição
      • Solicitar Auxílio por Incapacidade Temporária
      • Solicitar Auxílio por Incapacidade Temporária - Relatório Médico no Exterior
      • Solicitar Benefício Exclusivo do País Acordante
      • Solicitar Certificado de Deslocamento de Exceção
      • Solicitar Certificado de Deslocamento Temporário Inicial
      • Solicitar Certificado de Prorrogação de Deslocamento Temporário
      • Solicitar Emissão de Histórico de Seguro
      • Solicitar Pensão por Morte
      • Solicitar Reativação de Benefício
      • Solicitar Regularização de Pagamentos em Atraso
      • Solicitar Salário Maternidade
      • Solicitar Transferência de Benefício de Residente no Exterior para Receber em Banco Brasileiro
      • Solicitar Transferência de Benefício para Recebimento em Banco no Exterior
    • Para quem já tem benefício
      • Alterar Local ou Forma de Pagamento
      • Atualizar Dados do Imposto de Renda
      • Bloquear ou Desbloquear Benefício para Empréstimo
      • Cadastrar, Alterar ou Excluir Pensão Alimentícia
      • Cadastrar ou Atualizar Dependentes para Salário-Família
      • Emitir Carta de Concessão de Benefício
      • Emitir Declaração de Beneficiário (consta/nada consta)
      • Emitir Extrato de Empréstimo Consignado
      • Emitir Extrato de Imposto de Renda
      • Emitir Extrato de Pagamento de Benefício do INSS
      • Excluir Mensalidade de Associação ou Sindicato no Benefício
      • Solicitar Certidão para Saque de PIS/PASEP/FGTS
      • Solicitar Desistência/Encerramento/Renúncia de Benefício
      • Solicitar Exclusão de Empréstimo Consignado
      • Solicitar Isenção do Imposto de Renda
      • Solicitar Pagamento de Benefício Não Recebido
      • Solicitar Pagamento de Valor Não Recebido até a Data do Óbito do Beneficiário
      • Solicitar Revisão de Benefício
    • Cadastro do Segurado
      • Atualizar Cadastro e/ou Benefício
      • Emitir Declaração de Beneficiário (consta/nada consta)
      • Emitir Extrato de Contribuição (CNIS)
      • Obter Declaração de Regularidade da Situação do Contribuinte Individual (DRSCI)
      • Solicitar Certidão por Tempo de Contribuição - (CTC)
      • Solicitar Cópia de Processo no INSS
      • Realizar Inscrição no INSS
      • Validar Contribuições de Facultativo Baixa Renda
    • Seguro Defeso
      • Solicitar nova emissão de Parcelas do Seguro Defeso
      • Solicitar Seguro Defeso - Pescador Artesanal
    • Solicitar Pecúlio
    • Todos os serviços
  • Onde encontro?
  • Intranet INSS
  • GOV.BR
    • Serviços
      • Buscar serviços por
        • Categorias
        • Órgãos
        • Estados
      • Serviços por público alvo
        • Cidadãos
        • Empresas
        • Órgãos e Entidades Públicas
        • Demais segmentos (ONGs, organizações sociais, etc)
        • Servidor Público
    • Temas em Destaque
      • Orçamento Nacional
      • Redes de Atendimento do Governo Federal
      • Proteção de Dados Pessoais
      • Serviços para Imigrantes
      • Política e Orçamento Educacionais
      • Educação Profissional e Tecnológica
      • Educação Profissional para Jovens e Adultos
      • Trabalho e Emprego
      • Serviços para Pessoas com Deficiência
      • Combate à Discriminação Racial
      • Política de Proteção Social
      • Política para Mulheres
      • Saúde Reprodutiva da Mulher
      • Cuidados na Primeira Infância
      • Habitação Popular
      • Controle de Poluição e Resíduos Sólidos
    • Notícias
      • Serviços para o cidadão
      • Saúde
      • Agricultura e Pecuária
      • Cidadania e Assistência Social
      • Ciência e Tecnologia
      • Comunicação
      • Cultura e Esporte
      • Economia e Gestão Pública
      • Educação e Pesquisa
      • Energia
      • Forças Armadas e Defesa Civil
      • Infraestrutura
      • Justiça e Segurança
      • Meio Ambiente
      • Trabalho e Previdência
      • Turismo
    • Galeria de Aplicativos
    • Acompanhe o Planalto
    • Navegação
      • Acessibilidade
      • Mapa do Site
      • Termo de Uso e Aviso de Privacidade
    • Consultar minhas solicitações
    • Órgãos do Governo
    • Por dentro do Gov.br
      • Dúvidas Frequentes em relação ao Portal gov.br
      • Dúvidas Frequentes da conta gov.br
      • Ajuda para Navegar o Portal
      • Conheça os elementos do Portal
      • Política de e-participação
      • Termos de Uso
      • Governo Digital
      • Guia de Edição de Serviços do Portal Gov.br
    • Canais do Executivo Federal
    • Dados do Governo Federal
      • Dados Abertos
      • Painel Estatístico de Pessoal
      • Painel de Compras do Governo Federal
      • Acesso à Informação
    • Empresas e Negócios
Links Úteis
  • Galeria de Aplicativos
  • Participe
  • Galeria de Aplicativos
  • Participe
Redes sociais
  • YouTube
  • Instagram
  • Facebook
  • Twitter
  • TikTok
  • Flickr
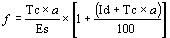
Você está aqui: Página Inicial Centrais de Conteúdo Imagens formula.gif
Info

formula.gif

Compartilhe por Facebook Compartilhe por Twitter Compartilhe por LinkedIn Compartilhe por WhatsApp link para Copiar para área de transferência
Atualizado em 14/10/2020 20h24
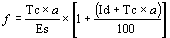
formula.gif
Compartilhe por Facebook Compartilhe por Twitter Compartilhe por LinkedIn Compartilhe por WhatsApp link para Copiar para área de transferência
  • Acesso à Informação
    • Institucional
      • Agenda de Autoridades
      • Estrutura
      • Galeria de Ex-presidentes
      • Institucional
      • Perfil Profissional Desejável
      • Quem é Quem
    • Ações e Programas
      • Carta de Serviços
      • Fundo de Amparo ao trabalhador – FAT
      • Governança
      • PDP - Plano de Desenvolvimento de Pessoas
      • Programa de Educação Previdenciária – PEP
      • Programas, projetos, ações, obras e atividades
      • Renúncias de Receitas
    • Acordos de Cooperação Técnica - ACT's
      • Acordos de Cooperação Técnica - ACT's
      • Acordos de Cooperação Técnica - ACT's - NACIONAIS
      • Encontre seu ACT por Estado (UF)
      • Protocolos de intenções
    • Acordos de Cooperação Técnica (ACTs) de Mensalidades Associativas
      • Cópia dos Acordos de Cooperação Técnica (ACTs)
    • Auditorias
      • Sobre a Auditoria-Geral
      • Programa de Gestão e Melhoria da Qualidade – PGMQ
      • Planejamento e divulgação de resultados
    • Avisos sobre Sistemas
    • Convênios e Transferências
      • Acordos de Cooperação Técnica Nacionais
      • Créditos Consignados
      • Repasses e transferências de recursos financeiros
    • Corregedoria
    • Dados Abertos
      • Dados Abertos
    • Imóveis
    • Informações Classificadas
    • Judicialização de Benefícios
    • Lei Geral de Proteção de Dados Pessoais (LGPD)
    • Leilões e Imóveis
    • Licitações e Contratos
    • Lista de Serviços do INSS
    • Números do INSS
      • Ouvidoria - Painel Resolveu?
      • Painel Previdenciário
    • Participação Social
      • Audiências Públicas
      • Consultas Públicas
      • Editais de chamamento público
      • Ouvidoria
      • Outras Ações
    • Perguntas Frequentes
    • Receitas e Despesas
      • Receitas e Despesas
      • Viagens a serviço
      • Beneficiários do Orçamento da Emenda do Relator - RP9
    • Serviço de Informação ao Cidadão - SIC
      • Autoridade de monitoramento
      • Como fazer um Pedido de Acesso à Informação
      • Fluxos
      • Painel de Acesso à Informação (CGU)
      • Pedido de Acesso à Informação
      • Por dentro da LAI
      • Prazos
      • Recursos x Reclamação
      • Relatórios
    • Servidores
      • Servidores
      • Concursos Públicos
      • Chamamento público e processo seletivo simplificado de temporários
      • Terceirizados
    • Transparência e Prestação de Contas
      • Ações Civis Públicas
      • Ações de supervisão e controle
      • Acompanhamento do Termo de Acordo STF Processo RE 1.171.152/SC
      • Autorização de Pagamento (AP) perícias judiciais
      • Contato da autoridade de monitoramento LAI e SIC
      • Estrutura organizacional
      • Legislação
      • Licitações e contratos
      • Órgãos de Controle
      • Portal Transparência Previdenciária
      • Prestação de Contas Anual
      • Programas, projetos, ações, obras e atividades
      • Remuneração recebida por ocupante de cargo, aposentados e pensionistas
      • Repasses e transferências de recursos financeiros
      • Relatório de Resultados do Instituto Nacional do Seguro Social
      • Termos de Compromisso com Financeiras
      • PGD
  • Assuntos
    • Comitê gestor da reabilitação integral
    • Laboratório de inovação do INSS - LabPrev
    • Ministério da Previdência
    • Servidores aposentados e pensionistas - RPPU
  • Composição
    • Presidência (01.001)
    • Gabinete - GABPRE (01.001.0)
      • Quem é quem
      • Competências
      • Divisão de Gerenciamento de Convocações (01.001.004)
      • Serviço Técnico Administrativo do Gabinete (01.001.006)
      • Coordenação de Normas e Procedimentos do Gabinete (01.001.11)
      • Coordenação-Geral de Planejamento e Gestão (01.001.3)
    • Assessoria de Comunicação Social - ASCOM (01.001.6)
      • Divisão de Comunicação Administrativa (01.001.601)
      • Serviço de Publicidade Legal (01.001.602)
      • Coordenação de Comunicação Institucional (01.001.61)
      • Coordenação de Relacionamento com a Imprensa (01.001.62)
    • Auditoria-Geral - AUDGER (01.100)
      • Coordenação-Geral de Auditoria em Benefícios (01.100.2)
      • Coordenação-Geral de Auditoria em Gestão Interna (01.100.3)
      • Coordenação-Geral de Planejamento e Avaliação da Auditoria (01.100.5)
      • Unidades Descentralizas
    • Diretoria de Tecnologia da Informação - DTI (01.111)
      • Serviço Técnico Administrativo (01.111.001)
      • Coordenação de Planejamento e Suporte a Contratações (01.111.01)
      • Coordenação-Geral de Tecnologia da Informação (01.111.2)
      • Coordenação-Geral de Serviços Digitais e Sistemas de Atendimento (01.111.3)
      • Coordenação-Geral de Gestão do Atendimento (01.111.4)
      • Coordenação-Geral de Gestão das Centrais de Análise (01.111.5)
    • Diretoria de Governança, Planejamento e Inovação - DIGOV (01.112)
      • Serviço Técnico Administrativo (01.112.001)
      • Coordenação-Geral de Governança, Riscos e Integridade (01.112.2)
      • Coordenação-Geral de Conformidade, Prevenção e Inovação (01.112.4)
      • Ouvidoria (01.112.5)
      • Coordenação-Geral de Apuração e Cobrança Administrativa de Benefícios (01.112.6)
    • Procuradoria Federal Especializada - PFE-SEDE (01.200)
      • Subprocuradoria-Geral (01.200.1)
      • Coordenação-Geral de Matéria de Licitações, Parcerias e Residual (01.200.2)
      • Coordenação-Geral de Matéria de Benefícios (01.200.3)
      • Coordenação-Geral de Matéria de Pessoal e Patrimônio (01.200.7)
      • Coordenação-Geral de Assuntos Judiciais e Extrajudiciais (01.200.8)
      • Unidades Descentralizadas
    • Diretoria de Orçamento Finanças e Logística - DIROFL (01.300)
      • Serviço Técnico Administrativo (01.300.001)
      • Coordenação-Geral de Recursos Logísticos (01.300.1)
      • Coordenação-Geral de Orçamento, Finanças e Contabilidade (01.300.2)
      • Coordenação-Geral de Engenharia e Patrimônio Imobiliário (01.300.3)
      • Coordenação-Geral de Licitações e Contratos (01.300.4)
    • Diretoria de Benefícios e Relacionamento com o Cidadão - DIRBEN (01.500)
      • Serviço Técnico Administrativo (01.500.001)
      • Coordenação-Geral de Reconhecimento de Direitos (01.500.1)
      • Coordenação-Geral de Articulação e Gestão da DIRBEN (01.500.2)
      • Coordenação-Geral de Serviços Previdenciários e Assistenciais (01.500.3)
      • Coordenação-Geral de Administração de Informações do Segurado (01.500.4)
      • Coordenação-Geral de Pagamento de Benefícios (01.500.5)
    • Diretoria de Gestão de Pessoas - DGP (01.700)
      • Serviço Técnico Administrativo (01.700.001)
      • Divisão de Acompanhamento de Demandas de Controle (01.700.003)
      • Divisão de Administração de Demandas Judiciais (01.700.004)
      • Coordenação-Geral de Administração de Pessoas (01.700.2)
      • Coordenação-Geral de Educação, Saúde e Segurança no Trabalho (01.700.3)
      • Coordenação-Geral de Centralização do Regime Próprio de Previdência Social da União (01.700.4)
    • Corregedoria-Geral - CORREG (01.800)
      • Serviço Técnico Administrativo (01.800.001)
      • Coordenação de Gestão Correcional (01.800.01)
      • Unidades Descentralizas
    • Unidades Descentralizadas
      • Superintendência Regional – Sudeste I (21.150)
      • Superintendência Regional – Sudeste II (11.150)
      • Superintendência Regional – Sudeste III (17.150)
      • Superintendência Regional – Sul (20.150)
      • Superintendência Regional – Nordeste (15.150)
      • Superintendência Regional – Norte/Centro-Oeste (23.150)
  • Centrais de Conteúdo
    • Áudios
    • Formulários
      • Formulários para serviços e benefícios
      • Acordos internacionais
      • Servidores
      • Servidores aposentados e pensionistas
    • Legislação
      • Despachos Decisórios e Decisões
      • Editais
      • Instruções Normativas
      • Ofícios-Circulares
      • Pareceres
      • Portarias
      • Portarias Conjuntas
      • Resoluções
      • Estrutura Regimental e Regimento Interno do Instituto Nacional do Seguro Social - INSS
      • Normas Interativas
      • Legado
      • Lista de atos normativos do INSS abaixo de Decretos que passarão por revisão
      • Normas Básicas
    • Publicações
      • Ação Civil Pública
      • Acordos de Cooperação Técnica - ACTs
      • Acordos Internacionais
      • Apresentações
      • Atas
      • Cartilhas e Folders
      • Currículos
      • Dados Abertos
      • Editais de Chamamento Público
      • Imóveis
      • Leilões
      • Licitações e contratos
      • Mapa Estratégico
      • Plano de ação
      • Plano Diretor de Tecnologia da Informação (PDTI)
      • Plano de integridade
      • Plano de Obras e Serviços de Engenharia 2024/2025
      • Relatórios
      • Servidores
      • Tutoriais
      • Outras
  • Canais de Atendimento
    • Central 135
    • Calendário de Viagens do PREVBarco
    • Fale Conosco
    • Imprensa
      • Notas à Imprensa
    • Meu INSS
      • Saiba tudo sobre o Meu INSS
      • Esqueceu a senha?
      • Política de Privacidade do Meu INSS
      • Passo a Passo - Utilidades
    • Ouvidoria
      • Relatórios de gestão
      • Limites de atuação da ouvidoria do INSS
      • Denúncias: perguntas e respostas
      • Guia lilás
      • Legislação
      • Painel resolveu?
    • Rede de Atendimento
    • Serviços por canal de atendimento
  • Direitos e deveres
    • Acordos internacionais
      • Informações Gerais
      • Acordos internacionais em vigor
      • Formulários
      • Organismos de Ligação
      • Serviços
      • Comprovação de Vida
    • Aposentadorias
      • Aposentadoria Especial
      • Aposentadoria por idade do trabalhador rural
      • Aposentadoria por idade da pessoa com deficiência
      • Aposentadoria por Idade Urbana
      • Aposentadoria por incapacidade permanente
      • Aposentadoria por tempo de contribuição da pessoa com deficiência
      • Aposentadoria por tempo de contribuição do professor
      • Aposentadoria programada
      • Aposentadoria programada do professor
      • Regras de Aposentadorias
    • Auxílio-reclusão
      • Auxílio-reclusão
      • Valor limite para direito ao auxílio-reclusão
      • Valor do Auxílio-reclusão
    • Benefícios Assistenciais
      • Benefício assistencial à pessoa com deficiência (BPC-Loas)
      • Benefício assistencial à pessoa idosa (BPC-Loas)
      • Benefício assistencial para o trabalhador portuário avulso
      • Auxílio-inclusão à pessoa com deficiência
    • Benefícios por incapacidade
      • Auxílio por incapacidade temporária
      • Auxílio-Acidente
      • Benefícios concedidos ou reativados por decisão judicial
      • Diferença entre auxílio por incapacidade temporária comum ou decorrente de acidente de trabalho
      • Perícia de Revisão
    • Certidão de Tempo de Contribuição (CTC)
    • Inscrição e Contribuição
      • Ajustes para alcance do salário mínimo - Emenda Constitucional nº 103, de 2019
      • Cálculo da Guia da Previdência Social - GPS
      • Como preencher a GPS
      • Contribuição do Segurado Especial
      • Contribuição dos segurados facultativo e contribuinte individual
      • Contribuição Previdenciária e Salário de Contribuição
      • Débito automático da GPS
      • Inscrição
      • Regularização de Contribuição Previdenciária
      • Restituição e Compensação
      • Tabela de códigos de pagamento de contribuição previdenciária
      • Tabela de contribuição mensal
      • Tipos de filiação
      • Plano simplificado
    • Pagamento de benefícios
      • Consignação em benefícios do INSS: seus direitos e medidas de segurança
      • Tabela de pagamento de benefícios
    • Pensões
      • Pensão especial destinada a crianças com Síndrome Congênita do Zika Vírus (2015 a 2019)
      • Pensão especial hanseníase
      • Pensão especial para pessoas com síndrome da talidomida
      • Pensão por morte
      • Pensão por morte do(a) segurado(a) especial
      • Valor da pensão por morte
    • Reabilitação Profissional
    • Recurso
      • Recurso Administrativo de Benefício Previdenciário
      • Dúvidas Frequentes
    • Representação legal
    • Salário Família
      • Valor limite para direito ao salário-família
      • Salário-Família
    • Salário Maternidade
      • Salário-Maternidade
      • Salário-Maternidade para segurada(o) especial
      • Valor do salário-maternidade
    • Serviço Social
  • Notícias
  • Painel Descontos Associativos
  • Portal de Transparência Previdenciária
  • Redes Sociais
    • YouTube
    • Instagram
    • Facebook
    • Twitter
    • Threads
    • Tiktok
    • Flickr
    • Política de moderação
    • WhatsApp
  • Saiba Mais
    • Ajustes para alcance do Salário Mínimo
    • Rural
      • Autodeclaração Rural
    • Salário-Família
      • Valor limite para direito ao salário-família
      • Cadastrar ou Atualizar Dependentes para Salário-Família
    • Seus direitos e deveres
      • Atualização de tempo de contribuição
      • Categorias de segurados
      • Dependentes
      • Pagamento de Benefícios
      • Procuração
      • Qualidade de segurado
    • Outros assuntos
      • Acordos de Cooperação Técnica - ACT
    • Caravana Federativa
    • Inclusão INSS
  • Serviços
    • Aposentadorias
      • Simular Aposentadoria
      • Solicitar Aposentadoria por Idade de Pessoa com Deficiência
      • Solicitar Aposentadoria por Idade Rural
      • Solicitar Aposentadoria por Idade Urbana
      • Solicitar Aposentadoria por Tempo de Contribuição
      • Solicitar Aposentadoria por Tempo de Contribuição da Pessoa com Deficiência
      • Solicitar Benefício por Incapacidade Permanente (Aposentadoria por Invalidez)
      • Solicitar Acréscimo de 25% na Aposentadoria por Incapacidade Permanente (Aposentadoria por Invalidez)
    • Auxílios
      • Renovar Declaração de Cárcere
      • Solicitar Auxílio-Acidente no INSS
      • Solicitar Auxílio-Doença da Aeronauta Gestante
      • Solicitar Auxílio-Reclusão Rural
      • Solicitar Auxílio-Reclusão Urbano
    • Benefícios Assistenciais
      • Auxílio-Inclusão à Pessoa com Deficiência
      • Solicitar Benefício Assistencial à Pessoa com Deficiência (BPC/LOAS)
      • Solicitar Benefício Assistencial ao Idoso (BPC/LOAS)
      • Solicitar Benefício Assistencial ao Trabalhador Portuário Avulso
      • Suspender o Benefício Assistencial à Pessoa com Deficiência para Inclusão no Mercado de Trabalho
    • Empresas
      • Consulta benefícios previdenciários do empregado
      • Registrar Comunicação de Acidente de Trabalho - CAT
    • Pensões
      • Cadastrar, Alterar ou Excluir Pensão Alimentícia
      • Solicitar Certidão de Inexistência de Dependentes Habilitados à Pensão por Morte
      • Solicitar Pensão especial destinada a crianças com Síndrome Congênita do Zika Vírus
      • Solicitar Pensão por Morte Rural
      • Solicitar Pensão por Morte Urbana
      • Solicitar Pensão Especial da Síndrome da Talidomida
    • Salário-maternidade
      • Solicitar Salário Maternidade Rural
      • Solicitar Salário-Maternidade Urbano
    • Para quem mora no exterior
      • Atualizar Dados Cadastrais ou Bancários
      • Atualizar Dados de Imposto de Renda
      • Emitir Declaração de Filiação ao Regime Geral de Previdência Social - RGPS
      • Solicitar Atualização de Atestado de Vida
      • Solicitar Atualização de Certificado de Deslocamento Temporário
      • Solicitar Aposentadoria da Pessoa com Deficiência por Idade
      • Solicitar Aposentadoria da Pessoa com Deficiência por Tempo de Contribuição
      • Solicitar Aposentadoria por Idade
      • Solicitar Aposentadoria por Incapacidade Permanente
      • Solicitar Aposentadoria por Incapacidade Permanente - Relatório Médico no Exterior
      • Solicitar Aposentadoria por Tempo de Contribuição
      • Solicitar Auxílio por Incapacidade Temporária
      • Solicitar Auxílio por Incapacidade Temporária - Relatório Médico no Exterior
      • Solicitar Benefício Exclusivo do País Acordante
      • Solicitar Certificado de Deslocamento de Exceção
      • Solicitar Certificado de Deslocamento Temporário Inicial
      • Solicitar Certificado de Prorrogação de Deslocamento Temporário
      • Solicitar Emissão de Histórico de Seguro
      • Solicitar Pensão por Morte
      • Solicitar Reativação de Benefício
      • Solicitar Regularização de Pagamentos em Atraso
      • Solicitar Salário Maternidade
      • Solicitar Transferência de Benefício de Residente no Exterior para Receber em Banco Brasileiro
      • Solicitar Transferência de Benefício para Recebimento em Banco no Exterior
    • Para quem já tem benefício
      • Alterar Local ou Forma de Pagamento
      • Atualizar Dados do Imposto de Renda
      • Bloquear ou Desbloquear Benefício para Empréstimo
      • Cadastrar, Alterar ou Excluir Pensão Alimentícia
      • Cadastrar ou Atualizar Dependentes para Salário-Família
      • Emitir Carta de Concessão de Benefício
      • Emitir Declaração de Beneficiário (consta/nada consta)
      • Emitir Extrato de Empréstimo Consignado
      • Emitir Extrato de Imposto de Renda
      • Emitir Extrato de Pagamento de Benefício do INSS
      • Excluir Mensalidade de Associação ou Sindicato no Benefício
      • Solicitar Certidão para Saque de PIS/PASEP/FGTS
      • Solicitar Desistência/Encerramento/Renúncia de Benefício
      • Solicitar Exclusão de Empréstimo Consignado
      • Solicitar Isenção do Imposto de Renda
      • Solicitar Pagamento de Benefício Não Recebido
      • Solicitar Pagamento de Valor Não Recebido até a Data do Óbito do Beneficiário
      • Solicitar Revisão de Benefício
    • Cadastro do Segurado
      • Atualizar Cadastro e/ou Benefício
      • Emitir Declaração de Beneficiário (consta/nada consta)
      • Emitir Extrato de Contribuição (CNIS)
      • Obter Declaração de Regularidade da Situação do Contribuinte Individual (DRSCI)
      • Solicitar Certidão por Tempo de Contribuição - (CTC)
      • Solicitar Cópia de Processo no INSS
      • Realizar Inscrição no INSS
      • Validar Contribuições de Facultativo Baixa Renda
    • Seguro Defeso
      • Solicitar nova emissão de Parcelas do Seguro Defeso
      • Solicitar Seguro Defeso - Pescador Artesanal
    • Solicitar Pecúlio
    • Todos os serviços
  • Onde encontro?
  • Intranet INSS
Redefinir Cookies
Redes sociais
  • YouTube
  • Instagram
  • Facebook
  • Twitter
  • TikTok
  • Flickr
Acesso àInformação
Todo o conteúdo deste site está publicado sob a licença Creative Commons Atribuição-SemDerivações 3.0 Não Adaptada.
Voltar ao topo da página
Fale Agora Refazer a busca