Notícias
ANTT altera tarifas de pedágio da rodovia Ecovias do Araguaia
A Agência Nacional de Transportes Terrestres (ANTT) publicou a 1ª Revisão Ordinária e o reajuste da Tarifa Básica de Pedágio (TBP) aplicável ao trecho concedido da rodovia BR-153/414/080/TO/GO, explorado pela concessionária Ecovias do Araguaia S.A. A aprovação foi concedida por meio da Deliberação nº 330, de 28/9/2023.
A aplicação do Índice de Reajustamento Tarifário (IRT) de 1,28186, que representa o percentual positivo de 4,61% (quatro inteiros e sessenta e um centésimos por cento), correspondente à variação do Índice Nacional de Preços ao Consumidor Amplo (IPCA) no período, cujos efeitos correspondem a uma variação média de 3,78% (três inteiros e setenta e oito centésimos por cento).
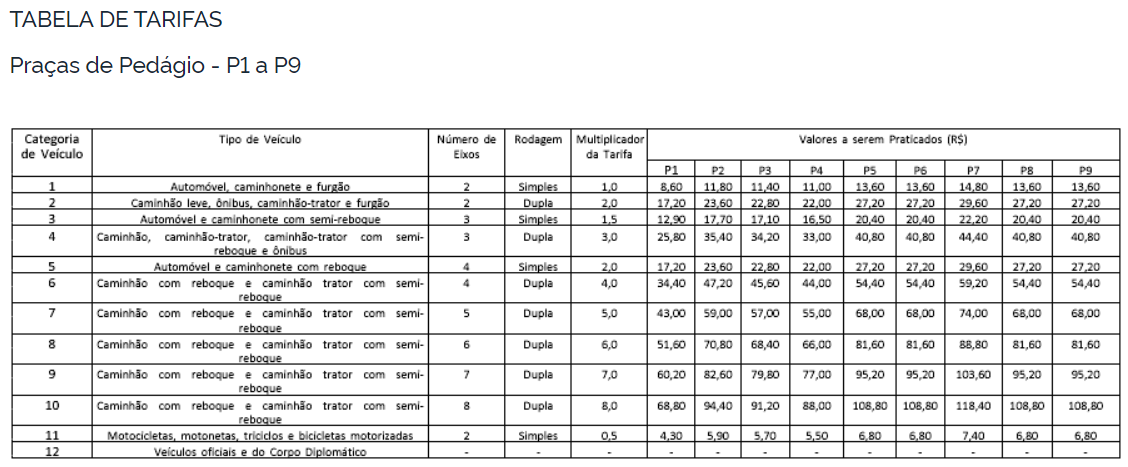
A Tarifa Básica de Pedágio fica reajustada, após arredondamento, nas praças de pedágio P1 a P9, na forma da tabela anexa.
A revisão tarifária está de acordo com as cláusulas contratuais e com o inciso VII do art. 24 da Lei nº 10.233, de 5 de junho de 2001, combinado com o inciso VIII do art. 3º do Decreto nº 4.130, de 13 de fevereiro de 2002.
As novas tarifas entram em vigor a partir de zero hora do dia 3 de outubro de 2023.
