Perguntas Frequentes
-
-
1. O que é a DURH?
A Declaração de Uso de Recursos Hídricos (DURH) é o processo eletrônico de informar os volumes captados, ou os volumes lançados e a qualidade do efluente, resultantes do automonitoramento executado pelos usuários por interferência regularizada, de forma voluntária ou por obrigação legal.
-
2. Quais as modalidades de automonitoramento/DURH?
Atualmente existem quatro modalidades de automonitoramento: a DURH-Lançamento (lançamentos de efluentes), com envio anual; e três modalidades de DURH-Captação (captações de água), de acordo com a frequência de envio da declaração (DURH-Captação: anual, mensal e diária). Veja detalhes no Capítulo 3 do Guia de Automonitoramento.
-
3. Quem deve realizar o automonitoramento/DURH?
Qualquer usuário de recursos hídricos pode realizar o automonitoramento do uso de água de forma voluntária. Porém, somente usuários outorgados/regularizados que captam água ou lançam efluentes acima de determinados limites são obrigados a declarar seus usos por meio da DURH-captação ou da DURH-lançamento. Veja detalhes no Portal do Automonitoramento.
-
4. Como posso conferir se estou obrigado a enviar a DURH?
Para verificar se o envio da DURH é obrigatório, é necessário somar as vazões máximas outorgadas ou autorizadas pela ANA para todas as interferências de captação do empreendimento (ou somar as vazões de todas as interferências de lançamento). Por exemplo, se o empreendimento tiver duas interferências, deve-se somar as vazões máximas outorgadas (considerando o maior valor mensal) desses dois pontos. Se o resultado da soma for igual ou superior ao limite estabelecido, o usuário será obrigado a enviar a DURH.
Se a vazão outorgada para uma das interferências do empreendimento for inferior a 10% da vazão limite que gera a obrigatoriedade de envio da DURH, o monitoramento dessa interferência não é necessário. No entanto, se houver mais de uma interferência com vazão outorgada inferior a 10% do limite, a medição será dispensada apenas se a soma dessas vazões não ultrapassar 20% da vazão limite estabelecida.
Exemplo: Vazão limite para envio da DURH = 1000 m³/h. Empreendimento com 3 interferências outorgadas:
Captação 1 = vazão 500 m³/h
Captação 2 = vazão 450 m³/h
Captação 3 = vazão 50 m³/h
A captação 3 está dispensada. 10% de 1000 m³/h = 100 m³h. Como a captação 3 possui vazão menor do que 100 m³/h ela está dispensada. -
5. Onde posso consultar se estou obrigado a enviar a DURH?
Todo usuário pode consultar a modalidade e o prazo para início do automonitoramento:
- No mapa interativo disponível no portal https://automonitoramento.ana.gov.br/ OU
- No ambiente logado da Plataforma Águas Brasil https://aguasbrasil.snirh.gov.br/.
Para dificuldades de acesso à Plataforma, entre em contato com aguasbrasil@ana.gov.br
Essas ferramentas calculam automaticamente o enquadramento do usuário, mas podem apresentar inconsistências em função de dados desatualizados. Em caso de dúvidas, certifique-se das regras na Resolução ANA nº 188/2024 e, em caso de dúvidas, envie um e-mail para automonitoramento@ana.gov.br. Observe também a Pergunta Frequente nº 4.
-
6. Quando devo iniciar o automonitoramento?
DURH-Lançamento: A obrigatoriedade entrou em vigor em 30 de setembro de 2024. Usuários regularizados após 1º de abril de 2024 deverão iniciar o seu monitoramento em até 90 dias a partir da data do ato de regularização ou outorga.
DURH-Captação: Usuários regularizados antes de 1º de abril de 2024: o prazo varia de 2024 a 2027, a depender do porte do empreendimento e da região, conforme expresso no Anexo II da Resolução ANA nº 188/2024. Usuários regularizados após 1º de abril de 2024 (incluindo renovações, trocas de titularidade ou alterações de outorga): o prazo é de 90 dias a partir da data da outorga ou ato de regularização. No caso de telemetria, o prazo é de 180 a partir da data da outorga ou ato de regularização.
Todo usuário pode consultar a modalidade e o prazo para início do automonitoramento:
- No mapa interativo disponível no portal https://automonitoramento.ana.gov.br/ OU
- No ambiente logado da Plataforma Águas Brasil https://aguasbrasil.snirh.gov.br/.
Para dificuldades de acesso à Plataforma, entre em contato com aguasbrasil@ana.gov.br
-
7. Quando e onde devo enviar a declaração de uso (DURH)?
DURH-Lançamento e DURH-Captação Anual (antiga DAURH): Anualmente, de 1º a 31 de janeiro, com dados mensais do ano anterior. Envio ocorre pelo Portal do Usuário – Plataforma Águas Brasil.
DURH-Captação Mensal (DeclaraÁgua): Mensalmente, até o dia 7 (sete) de cada mês, com valores do mês anterior. Envio ocorre pelo Aplicativo DeclaraÁgua.
DURH-Captação Diária (Telemetria): De 15 em 15 minutos, com transmissão diária automatizada (em até 24 horas da leitura). Pela API (aplicação) Telemetria.
Acesse os sistemas no Portal do Automonitoramento.
-
8. Qual tipo de monitoramento preciso fazer?
Para o monitoramento de lançamento de efluentes e de captação por telemetria, é obrigatória a instalação de um Medidor de Vazão para registrar o volume total utilizado (monitoramento direto). Nos demais casos, recomenda-se que os usuários façam o monitoramento direto, ou seja, utilizando um medidor de vazão, hidrômetro ou pelo menos um horímetro.
Para o monitoramento de lançamento de efluentes (DURH Lançamento Anual) e de captação por telemetria (DURH-Diária), é obrigatória a instalação de um Medidor de Vazão/Volume para registrar o volume total utilizado (monitoramento direto). Nos demais casos, recomenda-se que os usuários façam o monitoramento direto utilizando um medidor de vazão, hidrômetro, mas também é aceita a medição de forma indireta, que pode ser feita por meio de um horímetro (contador de tempo de funcionamento) e de informações pontuais de vazão (valor de projeto ou medido na propriedade).
Acesse o Guia do Automonitoramento e outras informações no Portal do Automonitoramento.
-
9. Meu empreendimento não foi implantado (não está em operação, não instalou bombas, não iniciou o uso operacionalmente etc.) - Devo realizar o automonitoramento e informar a DURH?
Para DURH-Captação anual e DURH-lançamento: SIM - mesmo sem realizar uso da água, enquanto possuir outorga vigente, deve transmitir a declaração anualmente informando a respeito da ausência de uso.
Para DURH-Captação mensal e diária (telemetria): SIM - o usuário deverá informar a ausência de uso e poderá solicitar a mudança de frequência para DURH-anual preenchendo um formulário, o que permitirá realizar a declaração apenas uma vez ao ano até que o empreendimento seja implementado.
Acesse o formulário de pedido de prorrogação de prazo ou inexigibilidade temporária à telemetria no Portal do Automonitoramento.
-
10. Meu empreendimento está implantado, mas não fiz uso da água em determinado período (não houve necessidade, houve interrupção parcial, entressafra, outorga sazonal etc.) - Devo realizar o automonitoramento e informar a DURH?
SIM - o usuário deve declarar zero, ou os mesmos valores registrados anteriormente no caso de registro contínuo de volume na telemetria, nas diversas modalidades (lançamento e captação anual, mensal ou telemétrica) nos períodos em que não houver uso.
-
11. Meu empreendimento ainda não está 100% implementado (uso menos água do que o outorgado ou menos do que limite do automonitoramento) - Devo realizar o automonitoramento e informar a DURH?
SIM, a obrigação de realizar o automonitoramento é baseada no valor máximo outorgado/autorizado (vazão de projeto, vazão instantânea, vazão máxima prevista, capacidade prevista no pedido de outorga), e não nos valores efetivamente utilizados ou na capacidade efetiva do projeto (caso seja menor que o registrado no valor da outorga). O usuário tem a opção de modificar a outorga ou desistir de uma das outorgas do empreendimento, o que pode resultar na redução da exigência de automonitoramento (com a troca da modalidade) ou até na isenção dessa obrigação.
Para solicitações relacionadas à outorga, acesse a Plataforma Águas Brasil https://aguasbrasil.snirh.gov.br/. Para dificuldades de acesso à Plataforma, entre em contato com aguasbrasil@ana.gov.br
-
12. Como obter vantagens/descontos na cobrança pelo uso da água?
Usuários de corpos hídricos federais, sejam eles outorgados e/ou sujeitos à cobrança (captação e lançamento de efluentes) podem declarar anualmente os volumes utilizados na DURH Anual, que serão utilizados no cálculo da cobrança pelo uso da água. Àqueles que já realizam automonitoramento via DURH Mensal ou Diária, que estão em bacias com cobrança, o preenchimento da DURH Anual é necessário para aplicação dos dados no cálculo do valor cobrado pelo uso da água.
A cobrança pelo uso da água será baseada nos volumes efetivamente utilizados, declarados por meio da DURH Anual à ANA. Destaca-se que fraudar as medições dos volumes de água utilizados, declarar valores diferentes dos medidos ou prestar informação falsa à ANA é infração gravíssima (Resolução ANA nº 231/2024).
O usuário de captação que informar a DURH mensal ou diária (telemetria) também deve preencher a DURH anual para aplicação dos dados no cálculo da cobrança pelo uso da água.
-
13. Como solicitar a alteração ou a renovação de outorga (preventiva ou direito)?
Para solicitações relacionadas à outorga, acesse a Plataforma Águas Brasil https://aguasbrasil.snirh.gov.br/. Para dificuldades de acesso à Plataforma, entre em contato com aguasbrasil@ana.gov.br
É importante ressaltar que “As solicitações de renovação, alteração, transferência de outorga e conversão de outorga preventiva em outorga de direito de uso, quando deferidas, serão publicadas como novos atos de outorga, devendo constar, quando for o caso, a revogação expressa, total ou parcial, do ato de outorga anterior”.
-
14. Como comunicar a desistência de outorga (preventiva ou direito)?
Para solicitações relacionadas à outorga, acesse a Plataforma Águas Brasil https://aguasbrasil.snirh.gov.br/. Para dificuldades de acesso à Plataforma, entre em contato com aguasbrasil@ana.gov.br
Uma vez comunicada desistência de outorga, o usuário deverá estar ciente de que a revogação do ato de outorga não implica em qualquer tipo de indenização ou ressarcimento por parte do Poder Público.
Ressalta-se que não existe suspensão temporária da outorga preventiva ou de direito de uso dos recursos hídricos, exceto nas situações previstas no artigo 15, da lei nº 9.433/1997. Para empreendimentos não implementados, observe a Pergunta Frequente nº 9.
-
15. Como a ANA fiscaliza o cumprimento do automonitoramento?
A fiscalização da obrigatoriedade ocorre a partir do enquadramento do usuário pela vazão constante em sua outorga de direito de uso ou cadastro. Adicionalmente, ocorre por meio de fiscalização in loco e por cruzamento de dados cadastrais, dados de consumo de energia e imagens de satélite.
O usuário que não envia a DURH ou envia com erros está cometendo infração às normas de utilização de recursos hídricos, sujeitando-se a penalidades como advertência, multa simples, multa diária, embargo provisório e embargo definitivo do empreendimento. Destaca-se que fraudar as medições dos volumes de água utilizados, declarar valores diferentes dos medidos, ou prestar informação falsa à ANA é infração gravíssima (Resolução ANA nº 231/2024).
-
16. O que acontece com o usuário que não declarar o consumo de água?
O usuário de recursos hídricos obrigado ao automonitoramento que deixar de declarar cometerá uma infração às normas de utilização de recursos hídricos, sujeito às penalidades previstas no Art. 50 da Lei nº 9.433/1997 e na Resolução ANA nº 231/2024, incluindo notificações, multas e até embargos. Além disso, esses usuários podem deixar de obter benefícios na cobrança pelo uso da água e serem os primeiros a sofrer racionamentos em situações de escassez.
-
17. Desejo me cadastrar para envio de dados de telemetria, como proceder?
Os formulários de cadastro de operadores de telemetria e de medidores estão disponíveis em https://automonitoramento.ana.gov.br/ > Telemetria. Após a análise dos cadastros, o usuário receberá as informações de acesso no e-mail cadastrado nos formulários.
-
18. Como posso tirar dúvidas sobre o assunto ou comunicar casos excepcionais?
As dúvidas sobre o automonitoramento podem ser esclarecidas por meio do envio de e-mail para automonitoramento@ana.gov.br. Usuários do DeclaraÁgua (DURH-mensal) podem receber assistência também pelo WhatsApp: 61 99114-1255.
-
19. Como tratar possíveis falhas no envio das informações de automonitoramento?
Anual e mensal: pelo e-mail automonitoramento@ana.gov.br.
Telemetria: a partir de 1º de maio de 2025 é obrigatório informar quando ocorrer falha parcial, transmissão interrompida e captação desativada, seguindo as orientações do Anexo Códigos de Erro e de Justificativa, disponível em http://automonitoramento.ana.gov.br/ > Telemetria. A ausência de envio da DURH Diária por transmissão normal ou por códigos configura infração às normas de utilização de recursos hídricos.
Caso a falha tenha ocorrido na transmissão, mas houver registros de medição, os dados do período com falhas devem ser processados e enviados retroativamente pela própria API telemetria. Quando for o caso de retransmissão para correção de falhas, ou seja, retransmitir dados de um período com erros, deve ser enviado e-mail informando o período que o usuário deseja retransmitir dados, para que não ocorra duplicação de valores e contabilização errônea de uso da água.
-
20. Mineração - extração de areia - como declarar o uso da água?
Nas modalidades DURH anual e DURH mensal é permitido o monitoramento indireto (baseado no tempo de funcionamento ou na produção, por exemplo). A declaração de uso corresponde ao volume de água captado.
No caso da extração de areia, o monitoramento indireto pode ser feito com base na vazão nominal (ou medida) da bomba de captação (em m³/h) multiplicada pelo tempo de funcionamento do sistema (em horas)1. Essa é uma forma de estimar o volume captado (em m³). Outra forma de estimativa baseia-se na produção mensal de areia (em m³) e na proporção de água na polpa2. Os valores declarados devem sempre corresponder aos volumes mensais captados.
Como alternativa à medição indireta, sempre que houver viabilidade técnica, recomenda-se o monitoramento direto, como medidores do tipo ultrassônico flangeado a bateria ou eletromagnético de carretel a bateria, que podem ser viáveis conforme as características do sistema de adução.
1 Monitoramento indireto - com tempo de funcionamento e vazão nominal (ou medida) da bomba

- 1 Monitoramento indireto - com tempo de funcionamento e vazão nominal (ou medida) da bomba
onde:Volmês = Volume de água utilizado no mês para a finalidade de uso Mineração - Extração de Areia/Cascalho em Leito de Rio;R = Proporção de água na polpa;Qbomba = Vazão nominal da bomba, em m³/h; et = Tempo de funcionamento da bomba no mês, em horas.
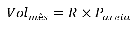
2 Monitoramento indireto - a partir da produção de areia

- 2 Monitoramento indireto - a partir da produção de areia
onde:Volmês = Volume de água utilizado no mês para a finalidade de uso Mineração - Extração de Areia/Cascalho em Leito de Rio;R = Proporção de água na polpa; ePareia = Produção mensal de areia, em m³.
-
1. O que é a DURH?