Ir para o Conteúdo 1 Ir para a Página Inicial 2 Ir para o menu de Navegação 3 Ir para a Busca 4 Ir para o Mapa do site 5
Abrir menu principal de navegação
Secretaria Nacional de Políticas Penais
Termos mais buscados
  • imposto de renda
  • assinatura
  • inss
  • mei
  • Simples Nacional
Termos mais buscados
  • imposto de renda
  • assinatura
  • inss
  • Acesso à informação
    • Institucional
      • Estrutura organizacional
      • Competências
      • Bases Jurídicas e Regimentos
      • Quem é quem
      • Perfis dos Profissionais
    • Políticas, Ações e Programas
    • e-Agendas
    • Histórico das Agendas
    • Participação Social
    • Auditorias
    • Convênios e Transferências
    • Receitas e Despesas
    • Licitações e Contratos
    • Servidores
    • Informações Classificadas
    • Serviço de Informação ao Cidadão - SIC
    • Perguntas Frequentes
    • Ferramentas e aspectos tecnológicos
    • Dados Abertos
    • Sanções Administrativas
  • Assuntos
    • >> Notícias
    • Ação de Cidadania em Saúde
    • Atuação Internacional
    • Comitê de Diversidade
    • ESPEN - Escola Nacional de Serviços Penais
      • GECC - Gratificação por encargo de Curso ou Concurso
    • FPN - Força Penal Nacional
    • FUNPEN - Fundo Penitenciário Nacional
    • Fundo a Fundo
      • Manual Orientativo fundo a fundo
      • FAQ Fundo a Fundo
      • FAQ Fundo a Fundo
    • Inteligência Penal
      • FICCO - Força Integrada de Combate ao Crime Organizado
      • Levantamento de Informações Penitenciárias
      • Mapa das ORCRIMs
      • Operação MUTE
      • PEAIPEN
    • Pena Justa
    • PPF - Polícia Penal Federal
    • Projeto Alvorada
  • Canais de atendimento
    • Área do Servidor Público
    • Fale Conosco
    • Imprensa
    • Ouvidoria
    • SEI - Sistema Eletrônico de Informações
  • Centrais de conteúdo
    • Atos Normativos
    • Download Logos
    • Notas Técnicas
    • Revista Brasileira de Execução Penal
    • SEI - Sistema Eletrônico de Informações
  • Composição
    • CNPCP - Conselho Nacional de Política Criminal e Penitenciária
    • Corregedoria
    • Galeria de Dirigentes
    • Galeria de Heróis
    • PPF - Polícia Penal Federal
  • Serviços
    • Capacitação para Servidores da Execução Penal
    • Depositar valores no FUNPEN
    • Restituir valores do FUNPEN
    • Levantamento de Informações Penitenciárias
      • Perguntas Frequentes - SISDEPEN
    • Visitar Preso do Sistema Penitenciário Federal
  • GOV.BR
    • Serviços
      • Buscar serviços por
        • Categorias
        • Órgãos
        • Estados
      • Serviços por público alvo
        • Cidadãos
        • Empresas
        • Órgãos e Entidades Públicas
        • Demais segmentos (ONGs, organizações sociais, etc)
        • Servidor Público
    • Temas em Destaque
      • Orçamento Nacional
      • Redes de Atendimento do Governo Federal
      • Proteção de Dados Pessoais
      • Serviços para Imigrantes
      • Política e Orçamento Educacionais
      • Educação Profissional e Tecnológica
      • Educação Profissional para Jovens e Adultos
      • Trabalho e Emprego
      • Serviços para Pessoas com Deficiência
      • Combate à Discriminação Racial
      • Política de Proteção Social
      • Política para Mulheres
      • Saúde Reprodutiva da Mulher
      • Cuidados na Primeira Infância
      • Habitação Popular
      • Controle de Poluição e Resíduos Sólidos
    • Notícias
      • Serviços para o cidadão
      • Saúde
      • Agricultura e Pecuária
      • Cidadania e Assistência Social
      • Ciência e Tecnologia
      • Comunicação
      • Cultura e Esporte
      • Economia e Gestão Pública
      • Educação e Pesquisa
      • Energia
      • Forças Armadas e Defesa Civil
      • Infraestrutura
      • Justiça e Segurança
      • Meio Ambiente
      • Trabalho e Previdência
      • Turismo
    • Galeria de Aplicativos
    • Acompanhe o Planalto
    • Navegação
      • Acessibilidade
      • Mapa do Site
      • Termo de Uso e Aviso de Privacidade
    • Consultar minhas solicitações
    • Órgãos do Governo
    • Por dentro do Gov.br
      • Dúvidas Frequentes em relação ao Portal gov.br
      • Dúvidas Frequentes da conta gov.br
      • Ajuda para Navegar o Portal
      • Conheça os elementos do Portal
      • Política de e-participação
      • Termos de Uso
      • Governo Digital
      • Guia de Edição de Serviços do Portal Gov.br
    • Canais do Executivo Federal
    • Dados do Governo Federal
      • Dados Abertos
      • Painel Estatístico de Pessoal
      • Painel de Compras do Governo Federal
      • Acesso à Informação
    • Empresas e Negócios
Links Úteis
  • Galeria de Aplicativos
  • Participe
  • Galeria de Aplicativos
  • Participe
Redes sociais
  • Twitter
  • YouTube
  • Facebook
  • Instagram
Você está aqui: Página Inicial Assuntos >> Notícias Depen repassa recursos ao Ministério da Educação para ampliar vagas em cursos profissionalizantes nos presídios
Info

Notícias

Depen repassa recursos ao Ministério da Educação para ampliar vagas em cursos profissionalizantes nos presídios

Compartilhe por Facebook Compartilhe por Twitter Compartilhe por LinkedIn Compartilhe por WhatsApp link para Copiar para área de transferência
Publicado em 26/03/2018 13h28 Atualizado em 04/11/2022 08h55
Pronatec

Brasília, 26/03/2018 - O Departamento Penitenciário Nacional (Depen) repassou R$ 48 milhões em recursos do Fundo Penitenciário Nacional (Funpen) ao Fundo Nacional de Desenvolvimento da Educação (FNDE) visando a execução de aproximadamente 24 mil vagas em cursos profissionalizantes. O recurso investido para contratação de vagas de qualificação profissional no âmbito do Programa Nacional de Acesso ao Ensino Técnico e Emprego (Pronatec) será destinado às pessoas privadas de liberdade, egressas do sistema prisional, em cumprimento de alternativas penais, penas restritivas de direito ou medidas cautelares, e ainda seus respectivos familiares.

O recurso foi repassado às instituições da rede estadual de ensino e será executado e monitorado com auxílio da Secretaria de Educação Profissional e Tecnológica (Setec) do Ministério da Educação (MEC). As turmas poderão ser iniciadas a partir de maio deste ano.

Poderão participar dos cursos pessoas presas ou egressas do sistema prisional, em cumprimento de alternativas penais, penas restritivas de direito ou medidas cautelares, e ainda seus respectivos familiares, com os ensinos fundamental e médio incompletos ou completos. A inscrição nas turmas deverá ser realizada pelos gestores educacionais ligados às Secretarias Estaduais responsáveis pela Administração Penitenciária, por meio do Sistema Nacional de Informações da Educação Profissional e Tecnológica (SISTEC) do Ministério da Educação (MEC).

Os cursos serão realizados nas salas de aulas das unidades prisionais ou das instituições de ensino ofertantes e estarão associadas a metodologias que abordam temas sobre empreendedorismo, mundo do trabalho e, no caso das mulheres em situação de prisão, cidadania e desenvolvimento sustentável, com apoio do Programa Nacional Mulheres Mil do MEC.

A ação desenvolvida pelo Depen é focada na geração de autonomia e na criação de alternativas para a inserção das pessoas presas no mundo do trabalho, para que esses homens e mulheres consigam melhorar a qualidade de suas vidas após o cumprimento da pena.

O Programa Nacional de Acesso ao Ensino Técnico e Emprego (Pronatec) é realizado nas unidades prisionais de todo o país desde 2013, alcançando até então mais de 37 mil pessoas presas. Dentre os tipos de cursos mais solicitados estão Salgadeiro, Pintor de Obras, Pedreiro de Alvenaria, Eletricista Instalador Predial, Garçom, Almoxarife, Língua Portuguesa, Assistente Administrativo, e outros, e em geral possuem duração de 160 horas/aula (Formação Inicial e Continuada).

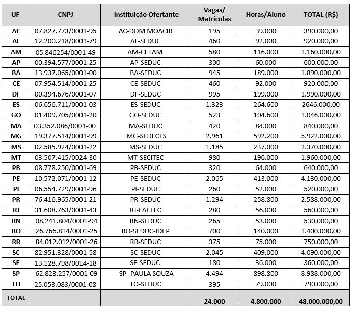
Distribuição dos recursos e quantidade de vagas por Unidade da Federação:

copy_of_tabelapronatec.PNG

Serviço de Comunicação Social do Depen

Tags: CGPCdirppdepen
Compartilhe por Facebook Compartilhe por Twitter Compartilhe por LinkedIn Compartilhe por WhatsApp link para Copiar para área de transferência
  • Acesso à informação
    • Institucional
      • Estrutura organizacional
      • Competências
      • Bases Jurídicas e Regimentos
      • Quem é quem
      • Perfis dos Profissionais
    • Políticas, Ações e Programas
    • e-Agendas
    • Histórico das Agendas
    • Participação Social
    • Auditorias
    • Convênios e Transferências
    • Receitas e Despesas
    • Licitações e Contratos
    • Servidores
    • Informações Classificadas
    • Serviço de Informação ao Cidadão - SIC
    • Perguntas Frequentes
    • Ferramentas e aspectos tecnológicos
    • Dados Abertos
    • Sanções Administrativas
  • Assuntos
    • >> Notícias
    • Ação de Cidadania em Saúde
    • Atuação Internacional
    • Comitê de Diversidade
    • ESPEN - Escola Nacional de Serviços Penais
      • GECC - Gratificação por encargo de Curso ou Concurso
    • FPN - Força Penal Nacional
    • FUNPEN - Fundo Penitenciário Nacional
    • Fundo a Fundo
      • Manual Orientativo fundo a fundo
      • FAQ Fundo a Fundo
      • FAQ Fundo a Fundo
    • Inteligência Penal
      • FICCO - Força Integrada de Combate ao Crime Organizado
      • Levantamento de Informações Penitenciárias
      • Mapa das ORCRIMs
      • Operação MUTE
      • PEAIPEN
    • Pena Justa
    • PPF - Polícia Penal Federal
    • Projeto Alvorada
  • Canais de atendimento
    • Área do Servidor Público
    • Fale Conosco
    • Imprensa
    • Ouvidoria
    • SEI - Sistema Eletrônico de Informações
  • Centrais de conteúdo
    • Atos Normativos
    • Download Logos
    • Notas Técnicas
    • Revista Brasileira de Execução Penal
    • SEI - Sistema Eletrônico de Informações
  • Composição
    • CNPCP - Conselho Nacional de Política Criminal e Penitenciária
    • Corregedoria
    • Galeria de Dirigentes
    • Galeria de Heróis
    • PPF - Polícia Penal Federal
  • Serviços
    • Capacitação para Servidores da Execução Penal
    • Depositar valores no FUNPEN
    • Restituir valores do FUNPEN
    • Levantamento de Informações Penitenciárias
      • Perguntas Frequentes - SISDEPEN
    • Visitar Preso do Sistema Penitenciário Federal
Redefinir Cookies
Redes sociais
  • Twitter
  • YouTube
  • Facebook
  • Instagram
Acesso àInformação
Todo o conteúdo deste site está publicado sob a licença Creative Commons Atribuição-SemDerivações 3.0 Não Adaptada.
Voltar ao topo da página
Fale Agora Refazer a busca