Ir para o Conteúdo 1 Ir para a Página Inicial 2 Ir para o menu de Navegação 3 Ir para a Busca 4 Ir para o Mapa do site 5
Abrir menu principal de navegação
Ministério da Previdência Social
Termos mais buscados
  • imposto de renda
  • inss
  • assinatura
  • cnh social
  • mei
Termos mais buscados
  • imposto de renda
  • inss
  • assinatura
  • Composição
    • Quem é Quem
    • Ministro e Secretários
    • Secretarias e Departamentos
      • Secretaria-Executiva
      • Secretaria de Regime Próprio e Complementar
      • Departamento do Regime de Previdência Complementar
      • Departamento dos Regimes Próprios de Previdência Social
    • Organograma
    • Órgãos Colegiados
      • Conselho de Recursos da Previdência Social - CRPS
      • Conselho Nacional de Previdência Social - CNPS
      • Conselho Nacional dos Dirigentes de Regimes Próprios de Previdência Social - CONAPREV
      • Conselho Nacional dos Regimes Próprios de Previdência Social - CNRPPS
      • Câmara de Recursos da Previdência Complementar - CRPC
      • Conselho Nacional de Previdência Complementar - CNPC
    • Autarquias Vinculadas
      • Instituto Nacional do Seguro Social (INSS)
      • Superintendência Nacional de Previdência Complementar (Previc)
  • Acesso à Informação
    • Institucional
      • Estrutura Organizacional (Organograma)
      • Competências
      • Base Jurídica da Estrutura Organizacional e das Competências
      • Quem é Quem
      • Perfis Profissionais
      • Horário de Atendimento
      • Agendas de Autoridades
      • Galeria de Ministros
    • Ações e Programas
      • Programas, Projetos, Ações, Obras e Atividades
      • Carta de Serviços
      • Plano Plurianual 2020-2023
      • Fundo de Amparo ao trabalhador – FAT
      • Renúncias de Receitas
    • Participação Social
      • Ouvidoria
      • Conselhos e Órgãos Colegiados
    • Auditorias
    • Convênios e Transferências
    • Receitas e Despesas
      • Receitas Públicas
      • Despesas Públicas
      • Despesas com Diárias e Passagens
      • Despesas com Cartões de Pagamento
      • Notas Fiscais Eletrônicas
    • Licitações e Contratos
    • Servidores (ou Empregados Públicos)
      • Servidores (ou Empregados)
      • Servidores Aposentados e Pensionistas
      • Concursos Públicos
      • Relação Completa de Empregados Terceirizados
      • Programa de Gestão e Desempenho - PGD
      • Plano de Desenvolvimento de Pessoas – PDP
    • Informações Classificadas
    • Serviço de Informações ao Cidadão - SIC
      • Equipe SIC
      • Autoridade de Monitoramento
      • Prazos
      • Relatórios
      • Painel de Acesso à Informação (CGU)
      • Fluxos
      • Como utilizar
    • Perguntas frequentes
    • Dados abertos
    • Demonstrações Contábeis
    • Agenda de Autoridades
    • Tecnologia da Informação
    • Corregedoria
    • Comissão de Ética
    • Transparência e Prestação de Contas
    • Governança
      • Planejamento Estratégico
      • Cadeia de Valor
      • Programa de Integridade
      • Gestão de Riscos
      • Comitê de Governança Interna
      • Comissão de Ética
    • Lei Geral de Proteção de Dados Pessoais - LGPD
  • Notícias
  • Assuntos
    • Atestmed
    • Acordos Internacionais
    • Força-Tarefa Previdenciária
    • Legislação
      • Previdência Social
      • Regimes Próprios de Previdência Social
      • Previdência Complementar
    • Estatísticas da Previdência
      • Painéis Estatísticos da Previdência Social
      • Dados Estatísticos da Previdência Social
      • Saúde e Segurança do Trabalhador
      • Painéis Estatísticos da Previdência Complementar
      • Dados Estatísticos de Previdência Complementar
      • Previdência no Serviço Público (Regimes Próprios / RPPS)
    • Monografia
    • Previdência Complementar
      • O Que é Previdência Complementar?
      • Educação Previdenciária
      • Relatório Gerencial de Previdência Complementar
      • Coletânea de Normas
      • Previdência Complementar do Servidor Público
      • Painel Estatístico da Previdência Complementar
      • Painel de Acompanhamento da Implementação do RPC pelos Entes Federativos
      • Acompanhamento do Acordo de Metas de Gestão e de Desempenho da Previc
      • Notícias da Previdência Complementar
      • Orgãos Colegiados
      • Mais informações
    • Previdência Social
      • Informes de Previdência Social
      • Resultados do Regime Geral de Previdência Social
      • Painéis Estatísticos
      • Dados Estatísticos - Previdência Social e INSS
      • Saúde e Segurança do Trabalhador
      • Legislação
      • Coleção Previdência Social
      • Outras Publicações
    • Publicações
      • Livro: "Os 100 anos da Previdência Social"
      • Previdência Social: Desafios e avanços do sistema previdenciário brasileiro no biênio 2023-2024
    • Regimes Próprios de Previdência Social
      • Destaques
      • Índice de Situação Previdenciária - ISP
      • Atuária
      • Legislação dos RPPS
      • Pró-gestão RPPS - Certificação Institucional
      • Parcelamentos
      • Requisitos para Dirigentes e Conselheiros de RPPS
      • Sistemas
      • Informativo Mensal dos RPPS
      • Capacitacão e Treinamento
  • Redes Sociais
    • Instagram
    • Youtube
    • Facebook
    • X (ex-Twitter)
    • Flickr
    • WhatsApp
  • Canais de Atendimento
    • Fale Conosco
    • Central 135
    • Atendimento à Imprensa
    • Ouvidoria-Geral
  • GOV.BR
    • Serviços
      • Buscar serviços por
        • Categorias
        • Órgãos
        • Estados
      • Serviços por público alvo
        • Cidadãos
        • Empresas
        • Órgãos e Entidades Públicas
        • Demais segmentos (ONGs, organizações sociais, etc)
        • Servidor Público
    • Temas em Destaque
      • Orçamento Nacional
      • Redes de Atendimento do Governo Federal
      • Proteção de Dados Pessoais
      • Serviços para Imigrantes
      • Política e Orçamento Educacionais
      • Educação Profissional e Tecnológica
      • Educação Profissional para Jovens e Adultos
      • Trabalho e Emprego
      • Serviços para Pessoas com Deficiência
      • Combate à Discriminação Racial
      • Política de Proteção Social
      • Política para Mulheres
      • Saúde Reprodutiva da Mulher
      • Cuidados na Primeira Infância
      • Habitação Popular
      • Controle de Poluição e Resíduos Sólidos
    • Notícias
      • Serviços para o cidadão
      • Saúde
      • Agricultura e Pecuária
      • Cidadania e Assistência Social
      • Ciência e Tecnologia
      • Comunicação
      • Cultura e Esporte
      • Economia e Gestão Pública
      • Educação e Pesquisa
      • Energia
      • Forças Armadas e Defesa Civil
      • Infraestrutura
      • Justiça e Segurança
      • Meio Ambiente
      • Trabalho e Previdência
      • Turismo
    • Galeria de Aplicativos
    • Acompanhe o Planalto
    • Navegação
      • Acessibilidade
      • Mapa do Site
      • Termo de Uso e Aviso de Privacidade
    • Consultar minhas solicitações
    • Órgãos do Governo
    • Por dentro do Gov.br
      • Dúvidas Frequentes em relação ao Portal gov.br
      • Dúvidas Frequentes da conta gov.br
      • Ajuda para Navegar o Portal
      • Conheça os elementos do Portal
      • Política de e-participação
      • Termos de Uso
      • Governo Digital
      • Guia de Edição de Serviços do Portal Gov.br
    • Canais do Executivo Federal
    • Dados do Governo Federal
      • Dados Abertos
      • Painel Estatístico de Pessoal
      • Painel de Compras do Governo Federal
      • Acesso à Informação
    • Empresas e Negócios
Links Úteis
  • Galeria de Aplicativos
  • Participe
  • Galeria de Aplicativos
  • Participe
Redes sociais
  • Twitter
  • YouTube
  • Facebook
  • Instagram
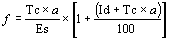
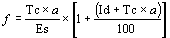
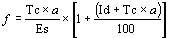
Você está aqui: Página Inicial Outros Imagens 2015 08 Image1.gif
Info

Image1.gif

Compartilhe por Facebook Compartilhe por Twitter Compartilhe por LinkedIn Compartilhe por WhatsApp link para Copiar para área de transferência
Atualizado em 08/06/2020 18h31
Image1.gif
Compartilhe por Facebook Compartilhe por Twitter Compartilhe por LinkedIn Compartilhe por WhatsApp link para Copiar para área de transferência
  • Composição
    • Quem é Quem
    • Ministro e Secretários
    • Secretarias e Departamentos
      • Secretaria-Executiva
      • Secretaria de Regime Próprio e Complementar
      • Departamento do Regime de Previdência Complementar
      • Departamento dos Regimes Próprios de Previdência Social
    • Organograma
    • Órgãos Colegiados
      • Conselho de Recursos da Previdência Social - CRPS
      • Conselho Nacional de Previdência Social - CNPS
      • Conselho Nacional dos Dirigentes de Regimes Próprios de Previdência Social - CONAPREV
      • Conselho Nacional dos Regimes Próprios de Previdência Social - CNRPPS
      • Câmara de Recursos da Previdência Complementar - CRPC
      • Conselho Nacional de Previdência Complementar - CNPC
    • Autarquias Vinculadas
      • Instituto Nacional do Seguro Social (INSS)
      • Superintendência Nacional de Previdência Complementar (Previc)
  • Acesso à Informação
    • Institucional
      • Estrutura Organizacional (Organograma)
      • Competências
      • Base Jurídica da Estrutura Organizacional e das Competências
      • Quem é Quem
      • Perfis Profissionais
      • Horário de Atendimento
      • Agendas de Autoridades
      • Galeria de Ministros
    • Ações e Programas
      • Programas, Projetos, Ações, Obras e Atividades
      • Carta de Serviços
      • Plano Plurianual 2020-2023
      • Fundo de Amparo ao trabalhador – FAT
      • Renúncias de Receitas
    • Participação Social
      • Ouvidoria
      • Conselhos e Órgãos Colegiados
    • Auditorias
    • Convênios e Transferências
    • Receitas e Despesas
      • Receitas Públicas
      • Despesas Públicas
      • Despesas com Diárias e Passagens
      • Despesas com Cartões de Pagamento
      • Notas Fiscais Eletrônicas
    • Licitações e Contratos
    • Servidores (ou Empregados Públicos)
      • Servidores (ou Empregados)
      • Servidores Aposentados e Pensionistas
      • Concursos Públicos
      • Relação Completa de Empregados Terceirizados
      • Programa de Gestão e Desempenho - PGD
      • Plano de Desenvolvimento de Pessoas – PDP
    • Informações Classificadas
    • Serviço de Informações ao Cidadão - SIC
      • Equipe SIC
      • Autoridade de Monitoramento
      • Prazos
      • Relatórios
      • Painel de Acesso à Informação (CGU)
      • Fluxos
      • Como utilizar
    • Perguntas frequentes
    • Dados abertos
    • Demonstrações Contábeis
    • Agenda de Autoridades
    • Tecnologia da Informação
    • Corregedoria
    • Comissão de Ética
    • Transparência e Prestação de Contas
    • Governança
      • Planejamento Estratégico
      • Cadeia de Valor
      • Programa de Integridade
      • Gestão de Riscos
      • Comitê de Governança Interna
      • Comissão de Ética
    • Lei Geral de Proteção de Dados Pessoais - LGPD
  • Notícias
  • Assuntos
    • Atestmed
    • Acordos Internacionais
    • Força-Tarefa Previdenciária
    • Legislação
      • Previdência Social
      • Regimes Próprios de Previdência Social
      • Previdência Complementar
    • Estatísticas da Previdência
      • Painéis Estatísticos da Previdência Social
      • Dados Estatísticos da Previdência Social
      • Saúde e Segurança do Trabalhador
      • Painéis Estatísticos da Previdência Complementar
      • Dados Estatísticos de Previdência Complementar
      • Previdência no Serviço Público (Regimes Próprios / RPPS)
    • Monografia
    • Previdência Complementar
      • O Que é Previdência Complementar?
      • Educação Previdenciária
      • Relatório Gerencial de Previdência Complementar
      • Coletânea de Normas
      • Previdência Complementar do Servidor Público
      • Painel Estatístico da Previdência Complementar
      • Painel de Acompanhamento da Implementação do RPC pelos Entes Federativos
      • Acompanhamento do Acordo de Metas de Gestão e de Desempenho da Previc
      • Notícias da Previdência Complementar
      • Orgãos Colegiados
      • Mais informações
    • Previdência Social
      • Informes de Previdência Social
      • Resultados do Regime Geral de Previdência Social
      • Painéis Estatísticos
      • Dados Estatísticos - Previdência Social e INSS
      • Saúde e Segurança do Trabalhador
      • Legislação
      • Coleção Previdência Social
      • Outras Publicações
    • Publicações
      • Livro: "Os 100 anos da Previdência Social"
      • Previdência Social: Desafios e avanços do sistema previdenciário brasileiro no biênio 2023-2024
    • Regimes Próprios de Previdência Social
      • Destaques
      • Índice de Situação Previdenciária - ISP
      • Atuária
      • Legislação dos RPPS
      • Pró-gestão RPPS - Certificação Institucional
      • Parcelamentos
      • Requisitos para Dirigentes e Conselheiros de RPPS
      • Sistemas
      • Informativo Mensal dos RPPS
      • Capacitacão e Treinamento
  • Redes Sociais
    • Instagram
    • Youtube
    • Facebook
    • X (ex-Twitter)
    • Flickr
    • WhatsApp
  • Canais de Atendimento
    • Fale Conosco
    • Central 135
    • Atendimento à Imprensa
    • Ouvidoria-Geral
Redefinir Cookies
Redes sociais
  • Twitter
  • YouTube
  • Facebook
  • Instagram
Acesso àInformação
Todo o conteúdo deste site está publicado sob a licença Creative Commons Atribuição-SemDerivações 3.0 Não Adaptada.
Voltar ao topo da página
Fale Agora Refazer a busca