Projeto do Telescópio

- Eder Martioli INPE-DIAST
I - Lista dos Materiais
1. Óptica
Espelho primário, espelho secundário e ocular.
2. Suporte do espelho secundário (aranha)
Hastes, suporte central, suporte do espelho, parafusos de fixação, porcas, molas, cola de silicone e tinta spray
3. Suporte do espelho primário
Capa de tubulação, suporte do espelho, parafusos, porcas, arroelas, molas, protetores de borracha e grampos de fixação do espelho.
4. Focalizador
Flange de caixa d água, parafusos, porcas, luva de pvc e tubo extensor.
5. Montagem do Tubo
Tubo de pvc e tinta spray.
6. Montagem Dobsoniana
Placa de madeira de 18 mm (MDF, pinus ou compensado), prato giratório, barra roscada de metro, rodízios com freio, arruelas, porcas, feltros, parafusos e cola de madeira.
7. Buscadora
Luneta, suporte e parafusos

- Luneta, suporte e parafusos
II - Detalhamento dos Materiais
1 - Óptica
Espelho Primário

- Quantidade: 1 unidade.
- Material: vidro puro com boa qualidade óptica.
- Formato: esférico ou se possível parabólico.
- Dimensões físicas: diâmetro D=138 mm, distância focal F=1030 mm e espessura h=19mm.
- Metalização: deposição por evaporação de alumínio e quartzo.
- Superfície refletora: qualidade superior a 1/4 lambda
- Preço estimado: R$ 250.
Espelho Secundário

- Quantidade: 1 unidade
- Material: vidro puro com boa qualidade óptica.
- Formato: elíptico - seção plana de um cilindro com faces paralelas.
- Dimensões físicas: corte a 45 graus com 30 mm de diâmetro e 6 mm de espessura.
- Metalização: deposição por evaporação de alumínio e quartzo.
- Superfície refletora: qualidade superior a 1/4 lambda.
- Preço estimado: R$ 80,00.
Ocular

- Quantidade: 1 unidade
- Tipo: Plossl
- Dimensões físicas: diâmetro padrão 32 mm (1.25 polegadas) e distância focal de 25 mm.
- Preço estimado: R$ 125,00
2. Suporte do Espelho Secundário (Aranha)
Hastes, suporte central e suporte do espelho

- Material: alumínio.
- Dimensões: ver Seção de Projetos.
- Quantidades: 3 hastes, 1 suporte central e 1 suporte do espelho
Parafusos de fixação e porcas

- Material: aço ou ferro.
- Dimensões: diâmetro de 3mm e comprimento de 6mm e 10mm
- Quantidade: 3 un. de 6mm com porca, 3 un. de 6mm sem porca e 3 un. de 10mm sem porca.
Molas


- Dimensões: 4mm de diâmetro e 5mm de comprimento (livre)
- Quantidade: 3 unidades.
Cola de silicone
- Característica: deve colar material de vidro em alumínio.
Tinta spray
- Cor: preta fosca.
3. Suporte do Espelho Primário
Capa de tubulação

- Descrição: cap esgoto 150mm com anel de borracha
- Material: PVC
- Quantidade: 1 unidade
- Preço estimado: R$ 25
Suporte do espelho

- Descrição: cilindro de madeira com espessura 18mm e 3 furos com ressalto.
- Dimensões: ver Seção de Projetos
Parafusos, porcas e arruelas
- Material: aço ou ferro.
- Dimensões: diâmetro de 1/4pol e comprimento de 50-60mm
- Quantidade: 3 un.
- Porcas e arruelas: 3 porcas comuns, 3 porcas borboleta mais 12 arruelas.
Molas
- Dimensões: 6.5 mm de diâmetro e 10-15 mm de comprimento (livre)
- Quantidade: 3 unidades.
Protetores de borracha
- Descrição: protetores de borracha para proteger o fundo do espelho que será apoiado sobre a superfície do suporte cilíndrico de madeira.
- Preço estimado: R$ 5.
Grampos de fixação do espelho
- Material: alumínio
- Dimensões: ver Seção de Projetos
- Preço estimado: R$ 15
4. Focalizador
Flange de caixa d´água

- Descrição: adaptador soldável e anel de vedação com rosca.
- Material: PVC marrom.
- Furação: ver Seção de Projetos
- Preço estimado: R$ 15
Luva

- Descrição: Luva soldável de 32mm com anéis de borracha.
- Material: PVC marrom.
- Preço estimado: R$ 10
Tubo extensor

- Descrição: tubo de pvc soldável marrom
- Dimensões: diâmetro 32 mm e comprimento 50 mm.
Parafusos, porcas e arruelas
- Material: aço ou ferro.
- Dimensões: diâmetro de 3mm e comprimento de 10-15mm
- Quantidade: 2 un.
- Porcas: 3 porcas comuns.
5. Montagem do Tubo
Tubo

- Descrição: tubo esgoto de pvc soldável.
- Dimensões: diâmetro de 150mm e comprimento de 1 metro
- Furação: ver Seção de Projetos
- Preço estimado: R$ 50
Tubo
- Cor: preta fosca
- Preço estimado: R$ 30
6. Montagem Dobsoniana
Placas de Madeira

- Descrição: placas de madeira de 18 mm de espessura com acabamento liso. Pode-se utilizar madeira com algum acabamento, por exemplo em pvc.
- Material: são recomendáveis os seguintes: MDF, pinus ou compensado.
- Dimensões: ver Seção de Projetos
- Preço estimado: R$ 50
Prato Giratório

- Descrição: prato giratório em aço com rolamento, furação e parafusos de pvc.
- Dimensão: diâmetro externo de 310mm.
- Preço estimado: R$ 35
Feltros

- Descrição: Feltros sintéticos de PP com auto adesivo.
- Preço estimado: R$ 10
Parafusos

- Descrição: parafusos em quantidade e tamanhos apropriados para fixar as placas de madeira seguindo o projeto.
Rodízios com freio

- Descrição: rodízio de diâmetro 50mm com freio e parafusos de fixação.
- Quantidade: 3 unidades.
- Preço estimado: R$ 20
7. Buscadora
Luneta

- Descrição: luneta de pouco aumento e baixa qualidade.
- Preço estimado: R$ 25,00.
Suporte

- Descrição: 1 suporte metálico para fixação no tubo óptico e 2 aros de pvc com 3 furos para os parafusos de fixação e regulagem da luneta.
III - Detalhes Construtivos
Figura 1

Figura 2

Figura 3

Figura 4

Figura 5

Figura 6

Figura 7

Figura 8

Figura 9

Figura 10

Figura 11

Figura 12

Figura 13

Figura 14

Figura 15

Figura 16

Figura 17

Figura 18

Figura 19

Figura 20

Figura 21

Figura 22

Figura 23

Figura 24

Figura 25

Figura 26

Figura 27

Figura 28

Figura 29

Figura 30

Figura 31

Figura 32

Figura 33

Figura 34

Figura 35

Figura 36

Figura 37

Figura 38

Figura 39

Figura 40

Figura 41

Figura 42

Figura 43

Figura 44

Figura 45

Figura 46

Figura 47

Figura 48

Figura 49

Figura 50

Figura 51

Figura 52

Figura 52

Figura 54


Figura 55

Figura 56

IV. Teste Óptico
1 - Óptica

Para medir a distância focal de um espelho esférico, deve-se colocar uma fonte de luz e um anteparo para projeção da imagem dessa fonte, ambos alinhados com o espelho. Dessa maneira, move-se o anteparo até que se forme uma imagem nítida da fonte. Medindo a distância até a fonte que indicamos pela letra "o" e a distância ao anteparo, que chamamos de "i", pode-se então calcular a distância focal "f" através da equação indicada acima.


2 - Medida do Raio de Curvatura "R"

O anteparo para visualização da imagem deve ser posicionado no mesmo plano da fonte de luz. Assim, deve-se mover o anteparo até que se forme uma imagem nítida. A imagem só será formada no mesmo plano que a fonte se a fonte de luz estiver posicionada exatamente no raio de curvatura do espelho, que, para um espelho esférico é igual ao dobro da sua distância focal.





V. Projetos
1 - Desenhos 3D
Nesta seção fornecemos os desenhos em 3D para facilitar a visualização das peças e suas montagens no telesocópio. Note que esses desenhos não incluem parafusos, porcas, arruelas e componentes de fixação. As peças e montagens propostas aqui podem eventualmente ser substituídas por outras peças e montagens, contanto que estas realizem as devidas funções e não comprometam o funcionamento do instrumento.
Telescópio com montagem completa


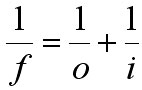
Suporte do Tubo


Suporte do espelho secundário

Suporte do espelho primário

Montagem Dobsoniana


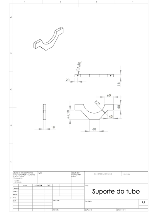
2. Desenhos Técnicos
Nesta seção fornecemos os desenhos técnicos de cada peça para a construção do telescópio. Cada desenho inclui diferentes vistas com cotas em milímetros. Estes desenhos podem ser utilizados para encaminhar a construção das peças em oficinas especializadas, como marcenarias, mecânica, etc. Lembrem-se que esses desenhos não foram confeccionados por um profissional especializado, portanto, qualquer informalidade ou representação fora dos padrões devem ser relevados. O projeto foi desenvolvido em ambiente ©SolidWorks. Caso haja interesse em obter esse projeto e/ou colaborar com o desenvolvimento, favor entrar em contato.













Documentos do Projeto