Oscilações Acústicas de Bárions – BAO
De acordo com o MCP, o universo teve início em um estado de alta densidade e temperatura, iniciando um processo de expansão e resfriamento. Durante a primeira fração de segundo o universo teria expandido quase exponencialmente, durante uma fase inflacionária (expansão rápida). Neste período surgiram perturbações no campo de densidade de matéria, sementes para a origem das estruturas observadas hoje no universo, como galáxias e aglomerados. Posteriormente, entre 0,01 segundos e 3 minutos de idade, a temperatura do universo caiu a 10¹⁰ K, período em que ocorreu a Nucleossíntese Primordial, com a formação dos núcleos de elementos leves, D3, He4 e Li7, todos predominantemente de origem cosmológica.
A nucleossíntese ocorreu durante a época de domínio da radiação (t < 4 × 10¹⁰ segundos), quando fótons e outras espécies relativísticas, além dos férmions, estavam em equilíbrio térmico (distribuição de corpo negro). Neste momento a temperatura era alta o suficiente para manter o meio ionizado, formando um plasma quente e denso, de forma que o equilíbrio térmico mantinha fótons e bárions acoplados, cuja interação se dava principalmente através dos processos de espalhamento Compton e bremsstrahlung térmico. Neste sentido, ainda que a instabilidade gravitacional causada pelos poços de potencial das flutuações de densidade primordiais (∆ρ), originadas na época inflacionária, tendesse a comprimir a matéria naquele volume, a pressão dos fótons resistia a este efeito, inibindo o aumento de densidade. Este processo causou uma série de compressões e rarefações de estruturas de dimensões variadas, gerando ondas esféricas de densidade que se propagavam no plasma primordial a uma velocidade cs, definida pela velocidade do som no meio, originando as chamadas BAO.
Quando a temperatura do universo baixou suficientemente para que núcleos e elétrons pudessem se combinar formando átomos estáveis (∼ 3000K ≈ 0,26eV), tem início a chamada Recombinação. A partir desse momento, a densidade de elétrons livres começou a diminuir até que não foi mais possível manter o acoplamento entre matéria e radiação, que deixaram de interagir significativamente (380 mil anos), permitindo que átomos ionizados capturassem elétron formando átomos neutros. Com isso, os fótons se desacoplaram da matéria bariônica, porque não havia mais espalhamento pelos fótons. Esse processo é conhecido como DESACOPLAMENTO e fez com que o Universo ficasse transparente à radiação, que se propagou livremente desde então. Essa radiação é conhecida como CMB e nela ficaram impressos todos os processos que afetaram as flutuações de densidade (∆ρ ∝ ∆T).
Logo depois, se dá o momento em que os bárions finalmente param de serem arrastados pelos fótons, definindo a escala acústica de bárions. Livres da pressão de fótons, os bárions começaram a cair nos poços de potencial gravitacional, tanto aqueles produzidos pelas perturbações da matéria escura fria, quanto as correspondentes cascas esféricas formada pela propagação da onda acústica no plasma, as BAO. Tais regiões atraem mais matéria, onde há maior probabilidade de formar estruturas como galáxias e aglomerados de galáxias. Vide Figura 2.1 como ilustração.

- Figura 2.1: Imagem ilustrativa produzida pelo projeto BOSS (Baryon Oscillation Spectroscopic Survey) mostrando as esferas de bárions em torno dos excessos de densidades iniciais de matéria escura.
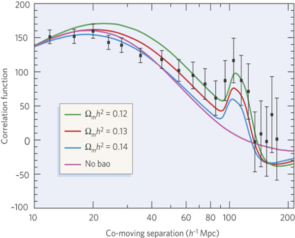
Como há uma superposição de inúmeras ondas acústicas, o padrão das BAO não pode ser identificado visualmente, mas utilizando análises estatísticas da distribuição de estruturas no universo. Este sinal pode ser observado como um pequeno excesso (comumente chamado pico acústico) de contagem de pares, por exemplo, de galáxias, ao se construir a função de correlação, ou seja, um excesso de probabilidade de encontrar pares de galáxias separados por uma determinada distância, a escala acústica de bárions, como mostrado na Figura 2.2 (veja uma ilustração de como a função de correlação é construída no link). Neste gráfico é possível observar o pico acústico em torno da escala de ~100h-1Mpc, que corresponde à primeira detecção estatisticamente confiável da escala acústica.

- Figura 2.2: A função de correlação calculada a partir de um conjunto de 46748 galáxias é mostrada como pontos pretos. O pico acústico pode ser identificado em torno da escala de ~100 h-1Mpc. As diferentes curvas representam a expectativa teórica para diferentes quantidades de matéria, Ωmh² = 0,12 (verde), 0,13 (vermelho) e 0,14 (azul). A curva que não descreve o pico acústico (rosa) corresponde a um modelo somente com matéria escura. Adaptada de Eisenstein & Bennett (2008).
De forma equivalente, por conta do acoplamento entre matéria e radiação na forma de um fluido fótons-bárions, a escala acústica também ficou impressa no campo de flutuações de temperatura da CMB, uma escala preferencial de cerca de 1º entre suas regiões frias e quentes, sendo medida com precisão através de observações destes fótons. Portanto, modelos teóricos que descrevem a física da propagação destas ondas de matéria no universo jovem permitem prever exatamente o tamanho que a escala acústica que está sendo observada hoje na distribuição de galáxias deveria ter. Ou seja, as BAO, por meio da escala acústica, podem ser utilizadas como um objeto de tamanho conhecido a uma dada distância, funcionando como uma “régua padrão”, permitindo inferir a distância com que estas galáxias se encontram de nós.
É importante lembrar que após o desacoplamento entre matéria e radiação o Universo continuou evoluindo e se expandindo, de forma que galáxias, e outros objetos presentes no universo, estão se afastando de nós, o que é confirmado por observações do efeito Doppler sobre sua luz. Além disso, no final da década de 90, um estudo de medidas de estrelas supernovas (ditas “velas padrão”) distantes verificou que estes objetos apresentavam uma luminosidade menor que aquela esperada, ou seja, estavam mais distantes do que se estimava através do efeito Doppler. Este estudo permitiu descobrir que o universo está não apenas se expandindo, mas se expandindo de forma acelerada.
O MCP, ΛCDM, utiliza a presença da Energia Escura, um fluido exótico representado pelo símbolo Λ, como explicação para esta expansão acelerada. Portanto, a característica de “régua padrão” das BAO faz delas uma poderosa ferramenta no estudo da Energia Escura, permitindo medidas de distância no universo local complementares àquelas feitas utilizando supernovas, confirmando seus resultados. Atuais medidas das BAO utilizando catálogos de galáxias mais distantes tem permitido ainda restringir a evolução da densidade de energia escura, bem como outros parâmetros cosmológicos. Estas e as futuras medidas das BAO irão permitir estudar em detalhes a expansão do universo, levando a informações sobre a energia escura e sua natureza.
Neste contexto, fica evidente a importância não apenas das recentes medida de alta precisão do sinal da CMB, como também do atual progresso na obtenção de catálogos de galáxias e aglomerados de galáxias a elevados redshifts, para o avanço da cosmologia, em especial para medidas robustas das flutuações de densidade em grande escala do Universo, como ilustrado na Figura 2.3. Afinal, a posição de galáxias é ditada pela distribuição de matéria escura em grandes escalas, enquanto que a forma como essas estruturas crescem a partir do colapso gravitacional está diretamente relacionada à quantidade de matéria e energia escura presente no Universo. Hoje temos disponíveis diversos catálogos de galáxias e outros objetos, além de diversos surveys ainda sendo construídos, para observação no ótico ou infravermelho próximo, que tem por objetivo a identificação destes objetos, em posição e redshift, de forma individual. Além destes comprimentos de onda, também é possível identificar galáxias individualmente através da emissão de radiação em 21 cm por átomos de hidrogênio neutro presentes no interior desses objetos.
Uma forma alternativa de se medir a distribuição de matéria luminosa com o redshift é através da técnica de mapeamento de intensidade de HI. Neste caso, a intensidade da linha de 21cm é medida, em um dado intervalo de redshift, sem resolver as galáxias individualmente, com a vantagem de que o valor do redshift é derivado, com grande precisão, diretamente das medidas da linha 21cm deslocada para o vermelho. Esta técnica, detalhada na próxima seção, será utilizada pelo telescópio BINGO, cujas observações permitirão a primeira detecção das BAO através do mapeamento de intensidade, assim como uma contribuição fundamental para o estudo da energia escura.

- Figura 2.3: Ilustração de como as flutuações de densidade se distribuem no universo em função da escala. As medidas mais precisas, representadas por pontos pretos, são resultados do Sloan Digital Sky Survey (SDSS). Estes resultados, assim como outras medidas cosmológicas, representados pelos símbolos em verde, rosa e vermelho, estão de acordo com a previsão teórica, dada pela curva azul, para um universo composto por 5% de átomos, 25% matéria escura e 70% energia escura. Imagem retirada de Max Tegmark (2003).
Cosmologia de 21 cm no contexto cosmológico geral (Pritchard e Loeb 2012)
Observações da linha produzida pela transição hiperfina do átomo de hidrogênio, em λ=21 cm, em diferentes redshifts é, potencialmente, uma excelente janela para observação de um grande volume do Universo, desde o período de formação das primeiras estrelas e galáxias até épocas muito mais recentes, já no período em que a Energia Escura passou a dominar a dinâmica do Universo.
Uma nova geração de telescópios vem sendo construída para este fim com os primeiros resultados já publicados desde meados dessa década. O radiotelescópio BINGO é um destes instrumentos e, adicionalmente, pretende medir oscilações acústicas de bárions (BAO) nos mapas de HI, no intervalo de redshifts 0,13 < z < 0,48.
A Figura 2.4, adaptada de [3], fornece um resumo da evolução das flutuações de brilho do sinal de 21 cm, mostrando as principais características do sinal com as escalas cósmicas relevantes de tempo, frequência e redshift indicadas. O primeiro período do sinal surge logo após o desacoplamento (que será explicado na próxima seção) dos bárions da CMB, com o gás sendo resfriado com a expansão do universo. Nesse período (1100 > z > 30 -- 20) as primeiras estruturas começam a crescer a partir das sementes não homogêneas produzidas por flutuações quânticas durante a inflação. O gás frio pode ser visto em um sinal de absorção de 21 cm, que tem uma média (mostrada no painel superior, escala de cor à direita) e flutuações decorrentes de variações de densidade (mostrada no painel intermediário). O painel inferior mostra a evolução do Universo desde a formação da CMB até épocas mais próximas a hoje (marcado no retângulo vermelho, à direita). As setas vermelhas mostram, no painel inferior, o período de duração dos painéis superior e intermediário. A linha amarela horizontal demarca o período em que a linha de 21 cm pode ser medida, com diferentes intensidades devido à ionização gradual do HI com o passar do tempo.

- Figura 2.4 - Evolução da intensidade da linha de 21 cm em função da época do Universo (adaptada de [3]).
Após a formação das primeiras estrelas e galáxias, a radiação produzida altera radicalmente as propriedades do gás, com a dispersão dos fótons Lyα acoplando a excitação dos estados de rotação da linha de 21 cm à temperatura do gás levando, inicialmente, a um forte sinal de absorção que varia espacialmente devido ao forte agrupamento das raras galáxias de primeira geração. Em seguida, a emissão de raios-x dessas galáxias aquece o gás, levando a um sinal de emissão de 21 cm. Finalmente, os fótons UV ionizam o gás, produzindo buracos escuros no sinal de 21 cm, que são regiões de bolhas ionizadas ao redor de grupos de galáxias. Eventualmente, todo o hidrogênio é ionizado, exceto em alguns bolsos densos ou regiões distantes do centro de galáxias ou aglomerados de galáxias.
Referências:
Básicas:
- D. Eisenstein Web page: https://scholar.harvard.edu/deisenstein/book/baryon-acoustic-oscillations
- Eisenstein & Bennett, Cosmic sound waves rule, Physics Today, 61, 4 (2008)
Avançadas:
- W. T. Hu, Wandering in the Background: A Cosmic Microwave Background Explorer. Ph.D. thesis of Philosophy in Physics -- University of California at Berkeley, Berkeley, California, USA, (1995).
- D. H. Weinberg et al., Observational probes of cosmic acceleration. Physics reports 530, 87 (2013).
- J. Pritchard & A. Loeb (2012) 21 cm cosmology in the 21st century. Rep. Prog. Phys., 75, 086901
- D. Eisenstein et al., Detection of the baryon acoustic peak in the large-scale correlation function of SDSS luminous red galaxies. The Astrophysical Journal, 633, 560 (2005).