Ir para o Conteúdo 1 Ir para a Página Inicial 2 Ir para o menu de Navegação 3 Ir para a Busca 4 Ir para o Mapa do site 5
Abrir menu principal de navegação
Ministério da Economia
Termos mais buscados
  • imposto de renda
  • assinatura
  • inss
  • mei
  • Simples Nacional
Termos mais buscados
  • imposto de renda
  • assinatura
  • inss
  • Acesso à Informação
  • Min. Desenvolvimento, Indústria, Comércio e Serviços
  • Min. Fazenda
  • Min. Gestão e da Inovação em Serviços Públicos
  • Min. Planejamento e Orçamento
  • GOV.BR
    • Serviços
      • Buscar serviços por
        • Categorias
        • Órgãos
        • Estados
      • Serviços por público alvo
        • Cidadãos
        • Empresas
        • Órgãos e Entidades Públicas
        • Demais segmentos (ONGs, organizações sociais, etc)
        • Servidor Público
    • Temas em Destaque
      • Orçamento Nacional
      • Redes de Atendimento do Governo Federal
      • Proteção de Dados Pessoais
      • Serviços para Imigrantes
      • Política e Orçamento Educacionais
      • Educação Profissional e Tecnológica
      • Educação Profissional para Jovens e Adultos
      • Trabalho e Emprego
      • Serviços para Pessoas com Deficiência
      • Combate à Discriminação Racial
      • Política de Proteção Social
      • Política para Mulheres
      • Saúde Reprodutiva da Mulher
      • Cuidados na Primeira Infância
      • Habitação Popular
      • Controle de Poluição e Resíduos Sólidos
    • Notícias
      • Serviços para o cidadão
      • Saúde
      • Agricultura e Pecuária
      • Cidadania e Assistência Social
      • Ciência e Tecnologia
      • Comunicação
      • Cultura e Esporte
      • Economia e Gestão Pública
      • Educação e Pesquisa
      • Energia
      • Forças Armadas e Defesa Civil
      • Infraestrutura
      • Justiça e Segurança
      • Meio Ambiente
      • Trabalho e Previdência
      • Turismo
    • Galeria de Aplicativos
    • Acompanhe o Planalto
    • Navegação
      • Acessibilidade
      • Mapa do Site
      • Termo de Uso e Aviso de Privacidade
    • Consultar minhas solicitações
    • Órgãos do Governo
    • Por dentro do Gov.br
      • Dúvidas Frequentes em relação ao Portal gov.br
      • Dúvidas Frequentes da conta gov.br
      • Ajuda para Navegar o Portal
      • Conheça os elementos do Portal
      • Política de e-participação
      • Termos de Uso
      • Governo Digital
      • Guia de Edição de Serviços do Portal Gov.br
    • Canais do Executivo Federal
    • Dados do Governo Federal
      • Dados Abertos
      • Painel Estatístico de Pessoal
      • Painel de Compras do Governo Federal
      • Acesso à Informação
    • Empresas e Negócios
Links Úteis
  • Galeria de Aplicativos
  • Participe
  • Galeria de Aplicativos
  • Participe
Redes sociais
  • Twitter
  • YouTube
  • Flickr
  • Facebook
  • Instagram
  • SoundCloud
Você está aqui: Página Inicial Assuntos Patrimônio da União Arquivos anteriores privados Programa de Modernização Linha do tempo
Info

Linha do tempo

Compartilhe por Facebook Compartilhe por Twitter Compartilhe por LinkedIn Compartilhe por WhatsApp link para Copiar para área de transferência
Publicado em 26/08/2015 14h45 Atualizado em 20/04/2023 16h38
Colaboradores: geraldo.figueiredo, lenio.figueiredo

MEMÓRIA DA REUNIÃO

Implementação do software FME SpatialETL na SPU PAUTA
Compartilhe por Facebook Compartilhe por Twitter Compartilhe por LinkedIn Compartilhe por WhatsApp link para Copiar para área de transferência
Atualizado em 20/04/2023 16h38
MEMÓRIA DA REUNIÃO

MEMÓRIA DA REUNIÃO

Prévia do modo de funcionamento dos receptores e coletora do GPS Geodésico L1/L2 com tecnologia Real Time Kinematic – RTK
Atualizado em 20/04/2023 16h38

application/pdf 01-gps-rtk_reuniao-14-02-2017-teste-do-equipamento.pdf — 1307 KB

MEMÓRIA DA REUNIÃO

Prévia do modo de funcionamento dos receptores e coletora do GPS Geodésico L1/L2 com tecnologia Real Time Kinematic – RTK
Compartilhe por Facebook Compartilhe por Twitter Compartilhe por LinkedIn Compartilhe por WhatsApp link para Copiar para área de transferência
Atualizado em 20/04/2023 16h38
MEMÓRIA DA REUNIÃO

PLANO DE TRABALHO DE CAMPO

Trabalho de Campo – teste dos conjuntos de GPS Geodésico L1/L2 com tecnologia Real Time Kinematic – RTK
Atualizado em 20/04/2023 16h38

application/pdf 02-gps-rtk_relatorio-tecnico_teste-dos-gps.pdf — 2585 KB

IDENTIFICAÇÃO DO EVENTO DE CAPACITAÇÃO

Capacitação em GPS Geodésico - Sistema RTK SP60
Atualizado em 20/04/2023 16h38

application/pdf 03-gps-rtk_treinamento_relatorio-da-capacitacao.pdf — 14268 KB

Memorando Circular nº 165/2017 – MP

Equipamentos para as Unidades Regionais de Geoinformação da SPU - recebimento dos Workstations e Escâneres de Grandes Formatos
Atualizado em 20/04/2023 16h38

application/pdf 05-urgeo_scanner-e-workstation_sei_mp.pdf — 466 KB

RELATÓRIO DE VIAGENS NACIONAIS

Reunião Técnica com a Superintendência da SPU em Belo Horizonte e com a Universidade Federal de Minas Gerais para discutir as ações e os produtos previstos no Termo de Execução Descentralizada (TED) para a Implementação da Geoinformação nas Unidades Regionais da SPU
Atualizado em 20/04/2023 16h38

application/pdf 01-ted-urgeo_relatorio-de-viagem-22-e-23-de.pdf — 948 KB

RELATÓRIO DE VIAGENS NACIONAIS

Reunião Técnica com a Superintendência da SPU em Belo Horizonte e com a Universidade Federal de Minas Gerais para discutir as ações e os produtos previstos no Termo de Execução Descentralizada (TED) para a Implementação da Geoinformação nas Unidades Regionais da SPU
Compartilhe por Facebook Compartilhe por Twitter Compartilhe por LinkedIn Compartilhe por WhatsApp link para Copiar para área de transferência
Atualizado em 20/04/2023 16h38
RELATÓRIO DE VIAGENS NACIONAIS

Ata de Reunião

Reunião de “Largada” com os Coordenadores Regionais
Atualizado em 20/04/2023 16h38

application/pdf 04-ted-urgeo_ata-reuniao-18-04-2017_spu.pdf — 528 KB

Ata de Reunião

Reunião de “Largada” com os Coordenadores Regionais
Atualizado em 20/04/2023 16h38

application/pdf 04-ted-urgeo_ata-reuniao-18-04-2017_spu.pdf — 528 KB

ATA de Reunião

Reunião de “Largada” com os Coordenadores Regionais
Compartilhe por Facebook Compartilhe por Twitter Compartilhe por LinkedIn Compartilhe por WhatsApp link para Copiar para área de transferência
Atualizado em 20/04/2023 16h38
ATA de Reunião

Ata de Reunião

Reunião de acompanhamento das atividades em andamento
Atualizado em 20/04/2023 16h38

application/pdf 05-ted-urgeo_sei_mp-3612718-memorando-circular-165.pdf — 466 KB

Memorando Circular nº 165/2017-MP

Equipamentos para as Unidades Regionais de Geoinformação da SPU - recebimento dos Workstations e Escâneres de Grandes Formatos
Compartilhe por Facebook Compartilhe por Twitter Compartilhe por LinkedIn Compartilhe por WhatsApp link para Copiar para área de transferência
Atualizado em 20/04/2023 16h38
Memorando Circular nº 165/2017-MP

Ata de Reunião

Reunião de acompanhamento das atividades em andamento
Atualizado em 20/04/2023 16h38

application/pdf 06-ted-urgeo_ata-reuniao-24-05-2017_spu.pdf — 442 KB

ATA de Reunião

Reunião de acompanhamento das atividades em andamento
Compartilhe por Facebook Compartilhe por Twitter Compartilhe por LinkedIn Compartilhe por WhatsApp link para Copiar para área de transferência
Atualizado em 20/04/2023 16h38
ATA de Reunião

ATA de Reunião

Reunião de acompanhamento das atividades em andamento
Atualizado em 20/04/2023 16h38

application/pdf 13-ted-urgeo_ata-reuniao-06-06-2017_spu.pdf — 619 KB

Ata de Reunião

Reunião de acompanhamento das atividades em andamento
Compartilhe por Facebook Compartilhe por Twitter Compartilhe por LinkedIn Compartilhe por WhatsApp link para Copiar para área de transferência
Atualizado em 20/04/2023 16h38
Ata de Reunião

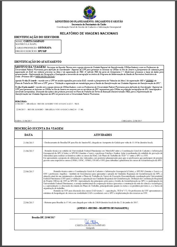
RELATÓRIO DE VIAGENS NACIONAIS e AJUDA MEMORIA DAS REUNIÕES NO RIO DE JANEIRO

Definição do Coordenador Regional da URGeo Sudeste (Rio de Janeiro) - incorporação da Professora Angélica di Maio ao projeto e Reunião técnica para planejamento dos Cursos do projeto no modo EAD
Atualizado em 20/04/2023 16h38

application/pdf 17-ted-urgeo_relatorio-de-viagem-21-e-22-de-junho.pdf — 1493 KB

RELATÓRIO DE VIAGENS NACIONAIS e AJUDA MEMORIA DAS REUNIÕES NO RIO DE JANEIRO

Definição do Coordenador Regional da URGeo Sudeste (Rio de Janeiro) - incorporação da Professora Angélica di Maio ao projeto e Reunião técnica para planejamento dos Cursos do projeto no modo EAD
Compartilhe por Facebook Compartilhe por Twitter Compartilhe por LinkedIn Compartilhe por WhatsApp link para Copiar para área de transferência
Atualizado em 20/04/2023 16h38
RELATÓRIO DE VIAGENS NACIONAIS e AJUDA MEMORIA DAS REUNIÕES NO RIO DE JANEIRO

Termo de Recebimento

Produto 1.3: Segundo relatório parcial do emprego do índice topográfico de umidade na detecção das áreas inundáveis para seis áreas definidas em comum acordo entre SPU e UnB (SEI 5080858) Produto 1.7: Segundo relatório parcial do emprego de imagens de sensoriamento (radar e óptico( na detecção das áreas inundáveis para as seis áreas definidas (SEI 5080882)
Atualizado em 20/04/2023 16h38

application/pdf 01-ted-unb-termo-de-recebimeto-08dez2017.pdf — 261 KB

  • « Anterior
  • 1
  • ...
  • 5
  • 6
  • 7
  • 8
  • 9
  • 10
  • 11
  • ...
  • 35
  • Próximo »
Compartilhe por Facebook Compartilhe por Twitter Compartilhe por LinkedIn Compartilhe por WhatsApp link para Copiar para área de transferência
  • Acesso à Informação
  • Min. Desenvolvimento, Indústria, Comércio e Serviços
  • Min. Fazenda
  • Min. Gestão e da Inovação em Serviços Públicos
  • Min. Planejamento e Orçamento
Redefinir Cookies
Redes sociais
  • Twitter
  • YouTube
  • Flickr
  • Facebook
  • Instagram
  • SoundCloud
Acesso àInformação
Todo o conteúdo deste site está publicado sob a licença Creative Commons Atribuição-SemDerivações 3.0 Não Adaptada.
Voltar ao topo da página
Fale Agora Refazer a busca