Ir para o Conteúdo 1 Ir para a Página Inicial 2 Ir para o menu de Navegação 3 Ir para a Busca 4 Ir para o Mapa do site 5
Abrir menu principal de navegação
Ministério da Ciência, Tecnologia e Inovação
Termos mais buscados
  • imposto de renda
  • inss
  • assinatura
  • cnh social
  • mei
Termos mais buscados
  • imposto de renda
  • inss
  • assinatura
  • Assuntos
    • Notícias
      • 2026
      • 2025
      • 2024
      • 2023
      • 2022
      • 2021
    • Coronavirus
    • Bolsa Científica
      • Perguntas e Respostas
      • Mentoria Olímpica Fique por Dentro
      • Saiba Mais
    • Agente Transformador da Ciência
      • Imagens
      • Paginas
      • Documentos
    • Bens Sensíveis
      • Legislação
    • Chamamento Vacinas Nacionais
    • FNDCT
      • Páginas
    • CCT
      • Sobre
      • Legislação em Vigor
      • Documentos e Registros Atuais
      • Contribuições do CCT
      • Conferências Nacionais de CT&I
      • Memória (1975 a 2023)
      • Imagens
      • Projeto CCT 50 anos
    • ICGEB
      • 2024
      • 2025
    • Cooperação Internacional
    • Clima
      • Páginas
      • Notícias
      • Iniciativas
      • Publicações sobre mudança do clima
      • Fatores de emissão de CO2
      • Publicações sobre mudança do clima
      • Mecanismo do Desenvolvimento Limpo
    • Indicadores Nacionais de Ciência, Tecnologia e Inovação
    • Tecnologias Habilitadoras
      • Nanotecnologia
      • Fotônica
      • Materiais Avançados
      • imagem
      • pdf
    • Transformação Digital
      • Câmaras 4.0
      • Estratégia Brasileira de Inteligência Artificial
      • Cooperação Internacional
      • E-Digital
      • Comunicações Avançadas
      • Segurança Cibernética
      • Fomento
      • Internet das Coisas
      • Capacitação Tecnológica
      • Observatório de Tecnologias Digitais
      • Plano Brasileiro de Inteligência Artificial
      • Arquivos Internet das Coisas
      • Arquivos Fomento
    • Lei de TICs
    • Lei do Bem
      • Imagens
      • Homologação
    • PADIS
      • Submissão de Projetos
    • PiBiogás
    • Popularização da Ciência
    • PPA
      • PPA 2020-2023
      • PPA 2024 – 2027
    • Propriedade Intelectual e Transferência de Tecnologia
      • Arquivos
      • Páginas
    • Promoção da Ciência
      • Arquivo
    • Semicondutores
      • arquivo
    • SIRENE
      • Sobre o SIRENE
      • Emissões
      • Dados e Ferramentas
      • Publicações
      • Central de Conteúdo
      • Fale com a CGCL
      • Teste
    • RedeVírus MCTI
    • Oceano e Antártica
      • Consulta pública para projetos de uso de navios para pesquisa oceânica
      • Chamamento Oceano
    • Chamamento Oceano
      • Decreto 9.190/2017
      • Portaria MCTIC 1.917/2020
      • Portaria Interministerial ME/MCTI nº 2828/2021
      • Estudo de Publicização
      • Documentos relacionados ao Edital
      • Comunicado de Republicação chamamento público nº 25/2021, de 06 de agosto de 2021
      • Comunicado de Sessão Pública de Habilitação de Propostas
      • Comunicado sobre a convocação para apresentação oral da proposta
    • Corregedoria
      • Comunicados Corregedoria
      • Sobre a Corregedoria
    • Marco Legal de CT&I
  • Acesso à Informação
    • Institucional
      • O Ministério
      • A Ministra
      • Agenda de Autoridades
      • Base Jurídica do Ministério
      • Competências
      • Composição
      • Comissão de ética
      • Ouvidoria
      • Corregedoria
      • Desenvolvimento de Pessoas
      • Estrutura Organizacional
      • Horário de Atendimento
      • Legislação
      • Organograma
      • Política de Privacidade
      • PGD | Programa de Gestão e Desempenho
      • Quem é Quem
    • Ações e Programas
      • Ações e Programas
      • Carta de Serviços
      • Renúncia de Receitas
      • Fundo de Amparo ao Trabalhador - FAT
    • Participação Social
      • Ouvidoria
      • Audiências e Consultas Públicas
      • Conselhos e Órgãos Colegiados
      • Conferências
      • Conselho de Usuários
      • Outras Ações
    • Auditorias
    • Integridade
    • Convênios e Transferências
    • Termos de Execução Descentralizada
      • 2026
      • 2025
      • 2024
      • 2023
      • 2022
      • 2021
      • 2020
      • 2019
      • 2018
    • Dispensa de Celebração de Termo de Execução Descentralizada
      • 2026
      • 2025
      • 2024
      • 2023
    • Receitas e Despesas
    • Licitações e Contratos
    • Servidores (ou Empregados Públicos)
    • Informações Classificadas
    • Serviço de Informação ao Cidadão - SIC
    • Perguntas Frequentes
    • Dados Abertos
      • Dados Abertos
      • Ações de Capacitação
    • Sanções Administrativas
    • Ferramentas e aspectos tecnológicos
    • Agenda de Autoridades
    • Consulta Pública
      • Consulta Pública - Política Nacional de Espaço
      • PLANO DE DADOS ABERTOS
    • Contratos de Gestão/Organizações Sociais
      • Centro Nacional de Pesquisa em Energia e Materiais - CNPEM
      • Institucionais
      • CGEE - Centro de Gestão e Estudos Estratégicos
      • Empresa Brasileira de Pesquisa e Inovação Industrial
      • Instituto de Desenvolvimento Sustentável Mamirauá - IDSM
      • Instituto de Matemática Pura e Aplicada - IMPA
      • Rede Nacional de Ensino e Pesquisa - RNP
      • INPO - Instituto Nacional de Pesquisas Oceânicas
    • Editais
      • EDITAL DE CHAMAMENTO PÚBLICO Nº 66/2024/SEI-MCTI
      • EDITAL DE CHAMAMENTO PÚBLICO Nº 4/2021/SEI-MCTI
      • EDITAL DE CHAMAMENTO PÚBLICO Nº 144/2020
    • Governança e Gestão
      • Governança de Dados
      • Indicadores Nacionais de CT&I
    • Legislação
      • Pesquisa
      • Ementário
    • Gestão Documental e Processo Eletrônico
      • Peticionamento Eletrônico
      • Cadastramento de usuários externos
    • LGPD | Privacidade e Proteção de Dados Pessoais
      • Legislação
      • Encarregado pelo Tratamento de Dados Pessoais
      • CPDP-MCTI
      • Guias e Cartilhas
      • Direito dos Titulares
      • Glossário de Proteção de Dados Pessoais
      • Perguntas Frequentes
      • Cursos
      • Incidente de Segurança com Dados Pessoais
    • Orçamento
      • PLOA
    • Prestação de Contas
      • 2022
      • 2021
      • 2020
      • 2019
      • 2018
      • 2017
      • 2016
      • 2023
      • 2024
    • Unidades de Pesquisa
      • Termos de Compromisso de Gestão
      • Relatório Executivo
      • Unidades
    • Plano de Contratações Anual (PCA)
      • PORTAL NACIONAL DE CONTRATAÇÕES PÚBLICAS (PNCP)
    • Emendas Parlamentares de Relator Geral do Orçamento - RP9
    • Protocolo de Intenções e Acordos de Cooperação Técnica
  • Composição
    • Ministra
    • Gabinete
    • Assessoria de Participação Social e Diversidade
    • Assessoria Especial de Controle Interno
    • Ouvidoria
    • Corregedoria
    • Assessoria Especial de Assuntos Internacionais
    • Assessoria Especial de Assuntos Parlamentares e Federativos
    • Assessoria Especial de Comunicação Social
    • Secretaria-Executiva
    • Assessoria do Conselho Nacional de Ciência e Tecnologia (ASCCT/MCTI)
    • Consultoria Jurídica - CONJUR
    • Secretaria de Políticas e Programas Estratégicos - SEPPE
    • Secretaria de Ciência e Tecnologia para o Desenvolvimento Social - SEDES
    • Secretaria de Desenvolvimento Tecnológico e Inovação - SETEC
    • Secretaria de Ciência e Tecnologia para Transformação Digital - SETAD
    • Unidades Vinculadas ao MCTI
      • AEB - Agência Espacial Brasileira
      • CNEN - Comissão Nacional de Energia Nuclear
      • CNPq - Conselho Nacional de Desenvolvimento Científico e Tecnológico
      • CBPF - Centro Brasileiro de Pesquisas Físicas
      • CEMADEN - Centro Nacional de Monitoramento e Alertas de Desastres Naturais
      • CETEM - Centro de Tecnologia Mineral
      • CETENE - Centro de Tecnologias Estratégicas do Nordeste
      • CTI - Centro de Tecnologia da Informação Renato Archer
      • IBICT - Instituto Brasileiro de Informação em Ciência e Tecnologia
      • INPA - Instituto Nacional de Pesquisas da Amazônia
      • INPE - Instituto Nacional de Pesquisas Espaciais
      • INSA - Instituto Nacional do Semiárido
      • INT - Instituto Nacional de Tecnologia
      • LNA - Laboratório Nacional de Astrofísica
      • LNCC - Laboratório Nacional de Computação Científica
      • MAST - Museu de Astronomia e Ciências Afins
      • Museu Paraense Emílio Goeldi
      • ON - Observatório Nacional
      • INMA - Instituto Nacional de Mata Atlântica
      • Finep - Financiadora de Estudos e Projetos
      • Ceitec S.A.
      • CGEE - Centro de Gestão e Estudos Estratégicos
      • CNPEM - Centro Nacional de Pesquisa em Energia e Materiais
      • IMPA - Instituto Nacional de Matemática Pura e Aplicada
      • Embrapii - Empresa Brasileira de Pesquisa e Inovação Industrial
      • IDSM - Instituto de Desenvolvimento Sustentável Mamirauá
      • RNP - Rede Nacional de Ensino e Pesquisa
      • INPP - Instituto Nacional de Pesquisa do Pantanal
    • Conselhos
      • Conselhos
      • CONCEA
      • CTNBio
  • Centrais de Conteúdo
    • Biblioteca
    • Comunicados MCTI
      • CTI Renato Archer (CTI): Homologação de Inscrições. Comitê de Busca.
      • MCTI abre processo de escolha de novo(a) diretor(a) para o CTI Renato Archer
      • Disponibilizado Formulário Eletrônico Formict ano-base 2022 para preenchimento pelas ICTs
      • Retificação do Formulário Eletrônico Formict ano-base 2022
      • Formict ano-base 2020 – Regularização – prorrogado para 31 de janeiro de 2023 o prazo para regularização pelas ICT não respondentes
      • Formict ano-base 2020 – Regularização – prorrogado para 16 de janeiro de 2023 o prazo para regularização pelas ICT não respondentes
      • Formict ano-base 2020 – Regularização Aberto até 15 de dezembro de 2022 para regularização pelas ICT não respondentes
      • Formict ano-base 2019 – Regularização – prorrogado para 24 de junho de 2022 o prazo para regularização pelas ICT não respondentes
      • Formict ano-base 2019 – Regularização - aberto até 15 de junho de 2022 para regularização pelas ICT não respondentes
      • Formulário de informações sobre atividades de P,D&I da Lei do Bem – Ano-Base 2021
      • Inscrições Homologadas - Seleção de Diretor para o Instituto Brasileiro de Informação em Ciência e Tecnologia - IBICT
      • Aberto processo de escolha para o cargo de Diretor-Presidente da EMBRAPII
      • MCTI PRORROGA PRAZO PARA INSCRIÇÃO PARA ESCOLHA DO (A) NOVO (A) Diretor (A) DO IBICT
      • Ministério da Ciência, Tecnologia e Inovações (MCTI) comunica a abertura do processo de escolha do novo Diretor ou Diretora do Instituto Brasileiro de Informação em Ciência e Tecnologia (Ibict).
      • Inscrições Homologadas - Seleção de Diretor para o Instituto Nacional da Mata Atlântica - INMA
      • ICTs, Formulário Eletrônico Formict ano-base 2021 disponível para preenchimento até 31/03/2022
      • Últimos dias da consulta pública para atualização da Estratégia Brasileira para Transformação Digital (E-Digital).
      • Aberto processo de escolha para o cargo de Diretor-Presidente do CGEE
      • Abertura de processo de escolha de novo (a) Diretor (a) para o Instituto Nacional da Mata Atlântica (INMA)
      • 2563 Empresas finalizaram o preenchimento do FORMP&D 2020
      • Formict ano-base 2020 aberto até 31 de outubro de 2021 para regularização pelas ICT não respondentes
      • Prazo de entrega do FORMP&D Ano-Base 2020
      • Inscrições Homologadas - Seleção de Diretor para o Museu de Astronomia e Ciências Afins - MAST
      • Inscrições Homologadas - Seleção de Diretor para o Observatório Nacional - ON
      • Formict ano-base 2019 aberto até 20 de setembro de 2021 para regularização pelas ICT não respondentes
      • CHAMADA CNPq/MCTI/SEMPI Nº 14/2021
      • Informações Relevantes sobre Formulários Eletrônicos Formict anos-base 2020 e 2019
      • COMUNICADO FNDCT MINISTRO MARCOS PONTES
      • Prorrogado o prazo de entrega do FORMP&D 2020
      • EDITAL Nº 18/2021/MCTI - PROCESSO DE ESCOLHA NOVO DIRETOR OBSERVATÓRIO NACIONAL/MCTI
      • EDITAL Nº 17/2021/MCTI - PROCESSO DE ESCOLHA NOVO DIRETOR MAST/MCTI
      • Formulário Eletrônico Formict ano-base 2020 aberto para preenchimento até 31 de agosto de 2021
      • Chamamento Público para Organização Social de Semicondutores
      • EDITAL CHAMAMENTO PÚBLICO Nº 11, DE 15 DE JUNHO DE 2021
      • A relação prevista no § 3º do art. 17 do Decreto nº 9.283 foi atualizada e está disponível na página do Formict
      • Formulário de informações sobre atividades de pesquisa da Lei do Bem - Ano Base 2020
      • Relação prevista no § 3º do art. 17 do Decreto nº 9.283 disponível na página do Formict
      • Prazo para envio do Novo Formulário Eletrônico Formict Ano-Base 2019 encerrado em 31 de março de 2021
      • Nova oportunidade para finalização do preenchimento do Formict AB 2019 – prazo final: 31 de março de 2021
      • Atos Normativos
      • Novo Formulário Eletrônico sobre a Política de Propriedade Intelectual das ICT do Brasil – Formict
      • Formulário de informações sobre atividades de pesquisa da Lei do Bem
      • Requerimento de Apoio Institucional a Fundos Patrimoniais e Endowments a CT&I
      • Dados Abertos sobre a Política de Propriedade Intelectual das ICT do Brasil
      • Nova Portaria de atualização dos procedimentos da Lei do Bem
      • Formulário de Cadastro de Pesquisas e Desenvolvedores de Projetos
      • Política de propriedade intelectual das Instituições Científicas, Tecnológicas e de Inovação (ICT)
    • Eventos
    • Marca do Governo Federal
    • Notícias
    • Publicações MCTI
      • Tecnologia da Informação - Legislação Atualizada
      • Plano Brasileiro de Inteligência Artificial (2025)
      • Evolução, impacto e potencial dos parques tecnológicos do Brasil
    • Repositório Digital do MCTI
    • V Conferência Nacional de CT&I
  • Canais de Atendimento
    • Ouvidoria
    • Imprensa
      • E-mail
      • Facebook
      • Instagram
      • Twitter
      • YouTube
      • Repositório Fotos
    • Fale Conosco
  • Sistemas e Plataformas
    • AdaptaBrasil
    • PiBiogás
    • PNIPE
    • Repositório Digital do MCTI
    • Semana Nacional de C&T
    • SiBBr
    • SIRENE
    • Inteli.gente
    • Observatório de Tecnologias Digitais
    • Observatório Brasileiro de Inteligência Artificial
  • Serviços
    • Serviços
    • Bens Sensíveis
    • Para o Servidor
  • GOV.BR
    • Serviços
      • Buscar serviços por
        • Categorias
        • Órgãos
        • Estados
      • Serviços por público alvo
        • Cidadãos
        • Empresas
        • Órgãos e Entidades Públicas
        • Demais segmentos (ONGs, organizações sociais, etc)
        • Servidor Público
    • Temas em Destaque
      • Orçamento Nacional
      • Redes de Atendimento do Governo Federal
      • Proteção de Dados Pessoais
      • Serviços para Imigrantes
      • Política e Orçamento Educacionais
      • Educação Profissional e Tecnológica
      • Educação Profissional para Jovens e Adultos
      • Trabalho e Emprego
      • Serviços para Pessoas com Deficiência
      • Combate à Discriminação Racial
      • Política de Proteção Social
      • Política para Mulheres
      • Saúde Reprodutiva da Mulher
      • Cuidados na Primeira Infância
      • Habitação Popular
      • Controle de Poluição e Resíduos Sólidos
    • Notícias
      • Serviços para o cidadão
      • Saúde
      • Agricultura e Pecuária
      • Cidadania e Assistência Social
      • Ciência e Tecnologia
      • Comunicação
      • Cultura e Esporte
      • Economia e Gestão Pública
      • Educação e Pesquisa
      • Energia
      • Forças Armadas e Defesa Civil
      • Infraestrutura
      • Justiça e Segurança
      • Meio Ambiente
      • Trabalho e Previdência
      • Turismo
    • Galeria de Aplicativos
    • Acompanhe o Planalto
    • Navegação
      • Acessibilidade
      • Mapa do Site
      • Termo de Uso e Aviso de Privacidade
    • Consultar minhas solicitações
    • Órgãos do Governo
    • Por dentro do Gov.br
      • Dúvidas Frequentes em relação ao Portal gov.br
      • Dúvidas Frequentes da conta gov.br
      • Ajuda para Navegar o Portal
      • Conheça os elementos do Portal
      • Política de e-participação
      • Termos de Uso
      • Governo Digital
      • Guia de Edição de Serviços do Portal Gov.br
    • Canais do Executivo Federal
    • Dados do Governo Federal
      • Dados Abertos
      • Painel Estatístico de Pessoal
      • Painel de Compras do Governo Federal
      • Acesso à Informação
    • Empresas e Negócios
Links Úteis
  • Galeria de Aplicativos
  • Participe
  • Galeria de Aplicativos
  • Participe
Redes sociais
  • Twitter
  • YouTube
  • Facebook
  • Flickr
  • Instagram
  • SoundCloud
  • Linkedin
Você está aqui: Página Inicial Assuntos Notícias 2021 08 Aumento da temperatura pode elevar óbitos e internações por doenças cardiorrespiratórias, aponta estudo
Info

Notícias

Aumento da temperatura pode elevar óbitos e internações por doenças cardiorrespiratórias, aponta estudo

Capitais das regiões Centro-Oeste e Sudeste estão entre as mais afetadas
Compartilhe por Facebook Compartilhe por Twitter Compartilhe por LinkedIn Compartilhe por WhatsApp link para Copiar para área de transferência
Publicado em 16/08/2021 17h25 Atualizado em 03/11/2022 15h03
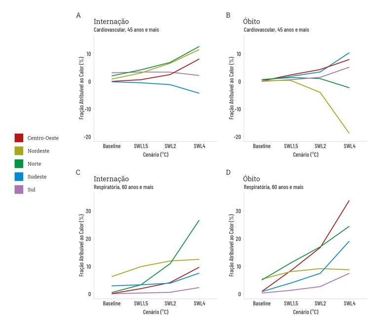
3.52_Obitos_Internacoes_atribuiveis_calor.jpg

Um estudo inédito conduzido por pesquisadores da Fiocruz nas 26 capitais brasileiras e no Distrito Federal aponta que, conforme aumenta o nível médio de aquecimento global, maior é o número de óbitos e internações atribuíveis à temperatura, sobretudo ao calor, associados a doenças respiratórios e cardiovasculares no Brasil. Os resultados constam da Quarta Comunicação Nacional do Brasil à Convenção-Quadro das Nações Unidas sobre Mudança do Clima (UNFCCC, na sigla em inglês), documento cuja elaboração é coordenada pelo Ministério da Ciência, Tecnologia e Inovações (MCTI).  

Os dados detalhados do estudo, que estimou os impactos futuros na saúde associados à exposição a temperaturas elevadas, têm potencial de contribuir para a definição de prioridades para a gestão de risco, e estão disponíveis no artigo científico publicado pela revista da Universidade de Brasília, Sustentabilidade em Debate.

Os pesquisadores mensuraram qual o percentual que pode ser atribuível à temperatura nos desfechos de saúde (mortalidade e internações) de doenças cardiovasculares em adultos maiores de 45 anos e de doenças respiratórias em idosos acima de 60 anos.

Para calcular o risco relativo, os pesquisadores estabeleceram primeiramente o que é considerado temperatura de risco mínimo para cada região. “Foi necessário definir qual é a temperatura de risco mínimo para cada região e como essa temperatura está associada aos desfechos de saúde nas capitais”, esclarece a doutora em saúde coletiva, Ludmila da Silva Viana Jacobson que participou do estudo.  As temperaturas médias regionais de risco mínimo para óbitos e internações estão descritas no documento da Quarta Comunicação Nacional (tabela 3.5 do capítulo 3).

Foram utilizados os dados do Sistema de Informações sobre Mortalidade do Datasus no período de 2000 a 2010. A partir disso, os pesquisadores calcularam as frações de óbitos e internações atribuíveis ao calor, considerando os cenários de aquecimento médio global, chamados de SWL: 1,5 ºC para o período de 2010 a 2039, 2 ºC para 2040 a 2069; e 4 ºC de 2070 até 2099. 

Efeitos do aumento da temperatura – Os pesquisadores identificaram que conforme aumenta o nível de aquecimento global, maior é o número de óbitos e internações atribuíveis à temperatura, sobretudo ao calor, que varia de acordo com cada região.

Para as capitais da região Centro-Oeste, óbitos e internações poderão aumentar para pessoas com doenças cardiovasculares com 45 anos ou mais. Aproximadamente 8% do percentual de mortes e internações foram atribuíveis ao calor no SWL4, cenário no qual o aumento da temperatura média global estará em 4 ºC. Para as regiões Norte e Nordeste verificou-se aproximadamente 12% das internações atribuídas ao calor no SWL4, e uma redução dos óbitos.

Nas regiões Sul e Sudeste os pesquisadores observaram uma possível redução de internações e aumento nos óbitos atribuídos ao calor.  Os óbitos atribuíveis ao calor no cenário SWL4 na região Sudeste poderá ser de 10%, enquanto na região Sul pode ser de 5%.

Quanto às doenças respiratórias nos idosos, observou-se aumento da fração de internações e óbitos atribuíveis ao calor em todas as regiões do pppaís, conforme aumenta o nível de aquecimento global.

Na região Norte, aproximadamente 30% das internações e 30% dos óbitos das capitais serão atribuíveis ao calor no cenário SWL4. Para a região Centro-Oeste, serão aproximadamente 40%, na região Sudeste estima-se 23% e na região Sul 9% de internações e óbitos. A região Nordeste foi a única que apresentou fração atribuível das internações maior do que dos óbitos nas capitais, com aproximadamente 15% das internações atribuíveis no SWL4.

Anos potenciais de vidas perdidos – A partir das curvas utilizadas para medir os óbitos associados ao aumento da temperatura, os pesquisadores também estimaram os anos potenciais de vidas que podem ser perdidas prematuramente, o chamado YLL (Years of Life Lost). “É um indicador mais completo porque considera a expectativa de vida do indivíduo. Se o indivíduo morre com 45 anos e a expectativa de vida dele era de 70 anos, ele perdeu muitos anos, significa que a morte foi muito prematura”, explica Jacobson. O YLL também considera a variável do sexo, pois diferencia a expectativa de vida entre homens e mulheres.

Ao estimar quantos anos de vida podem ser preservados caso a pessoa não seja exposta a altas temperaturas, os pesquisadores alertam sobre a alta probabilidade de os cenários futuros que indicam riscos à saúde se concretizarem e da necessidade de preparar a população e os sistemas de saúde para esses desafios.

“Como podemos evitar essa exposição? Com programas de vigilância, com cartilhas, índices que gerem alertas para a população, escolas, empresas. É importante ter essas informações disponíveis com linguagem fácil. Isso leva tempo para ser criado”, explica Jacobson.

A coordenadora do estudo e da Sub-Rede de Saúde da Rede CLIMA, Sandra Hacon, reforça que o trabalho demonstra que há necessidade de orientar a população sobre as altas temperaturas e cita como exemplo serviços regulares que já estão à disposição atualmente como a previsão meteorológica, sobre desastres, índice de radiação. “A população deve ser orientada para buscar essas informações. As secretarias de saúde poderiam, por exemplo, ter um boletim diário com dicas de como se cuidar. Mediante sinais de desidratação procurar um serviço de saúde, em especial para idosos”, alerta Hacon.

Saiba mais:

Acesse aqui os artigos científicos publicados na revista Sustentabilidade em Debate, editada pela Universidade de Brasília, que embasam as análises de Impactos, Vulnerabilidade e Adaptação à mudança do clima da Quarta Comunicação Nacional do Brasil à Convenção do Clima. 

Acesse aqui o documento da Quarta Comunicação Nacional do Brasil à Convenção do Clima e conheça em detalhes as análises de Impactos, Vulnerabilidade e Adaptação à mudança do clima que envolvem os aspectos de saúde.

Compartilhe por Facebook Compartilhe por Twitter Compartilhe por LinkedIn Compartilhe por WhatsApp link para Copiar para área de transferência
  • Assuntos
    • Notícias
      • 2026
      • 2025
      • 2024
      • 2023
      • 2022
      • 2021
    • Coronavirus
    • Bolsa Científica
      • Perguntas e Respostas
      • Mentoria Olímpica Fique por Dentro
      • Saiba Mais
    • Agente Transformador da Ciência
      • Imagens
      • Paginas
      • Documentos
    • Bens Sensíveis
      • Legislação
    • Chamamento Vacinas Nacionais
    • FNDCT
      • Páginas
    • CCT
      • Sobre
      • Legislação em Vigor
      • Documentos e Registros Atuais
      • Contribuições do CCT
      • Conferências Nacionais de CT&I
      • Memória (1975 a 2023)
      • Imagens
      • Projeto CCT 50 anos
    • ICGEB
      • 2024
      • 2025
    • Cooperação Internacional
    • Clima
      • Páginas
      • Notícias
      • Iniciativas
      • Publicações sobre mudança do clima
      • Fatores de emissão de CO2
      • Publicações sobre mudança do clima
      • Mecanismo do Desenvolvimento Limpo
    • Indicadores Nacionais de Ciência, Tecnologia e Inovação
    • Tecnologias Habilitadoras
      • Nanotecnologia
      • Fotônica
      • Materiais Avançados
      • imagem
      • pdf
    • Transformação Digital
      • Câmaras 4.0
      • Estratégia Brasileira de Inteligência Artificial
      • Cooperação Internacional
      • E-Digital
      • Comunicações Avançadas
      • Segurança Cibernética
      • Fomento
      • Internet das Coisas
      • Capacitação Tecnológica
      • Observatório de Tecnologias Digitais
      • Plano Brasileiro de Inteligência Artificial
      • Arquivos Internet das Coisas
      • Arquivos Fomento
    • Lei de TICs
    • Lei do Bem
      • Imagens
      • Homologação
    • PADIS
      • Submissão de Projetos
    • PiBiogás
    • Popularização da Ciência
    • PPA
      • PPA 2020-2023
      • PPA 2024 – 2027
    • Propriedade Intelectual e Transferência de Tecnologia
      • Arquivos
      • Páginas
    • Promoção da Ciência
      • Arquivo
    • Semicondutores
      • arquivo
    • SIRENE
      • Sobre o SIRENE
      • Emissões
      • Dados e Ferramentas
      • Publicações
      • Central de Conteúdo
      • Fale com a CGCL
      • Teste
    • RedeVírus MCTI
    • Oceano e Antártica
      • Consulta pública para projetos de uso de navios para pesquisa oceânica
      • Chamamento Oceano
    • Chamamento Oceano
      • Decreto 9.190/2017
      • Portaria MCTIC 1.917/2020
      • Portaria Interministerial ME/MCTI nº 2828/2021
      • Estudo de Publicização
      • Documentos relacionados ao Edital
      • Comunicado de Republicação chamamento público nº 25/2021, de 06 de agosto de 2021
      • Comunicado de Sessão Pública de Habilitação de Propostas
      • Comunicado sobre a convocação para apresentação oral da proposta
    • Corregedoria
      • Comunicados Corregedoria
      • Sobre a Corregedoria
    • Marco Legal de CT&I
  • Acesso à Informação
    • Institucional
      • O Ministério
      • A Ministra
      • Agenda de Autoridades
      • Base Jurídica do Ministério
      • Competências
      • Composição
      • Comissão de ética
      • Ouvidoria
      • Corregedoria
      • Desenvolvimento de Pessoas
      • Estrutura Organizacional
      • Horário de Atendimento
      • Legislação
      • Organograma
      • Política de Privacidade
      • PGD | Programa de Gestão e Desempenho
      • Quem é Quem
    • Ações e Programas
      • Ações e Programas
      • Carta de Serviços
      • Renúncia de Receitas
      • Fundo de Amparo ao Trabalhador - FAT
    • Participação Social
      • Ouvidoria
      • Audiências e Consultas Públicas
      • Conselhos e Órgãos Colegiados
      • Conferências
      • Conselho de Usuários
      • Outras Ações
    • Auditorias
    • Integridade
    • Convênios e Transferências
    • Termos de Execução Descentralizada
      • 2026
      • 2025
      • 2024
      • 2023
      • 2022
      • 2021
      • 2020
      • 2019
      • 2018
    • Dispensa de Celebração de Termo de Execução Descentralizada
      • 2026
      • 2025
      • 2024
      • 2023
    • Receitas e Despesas
    • Licitações e Contratos
    • Servidores (ou Empregados Públicos)
    • Informações Classificadas
    • Serviço de Informação ao Cidadão - SIC
    • Perguntas Frequentes
    • Dados Abertos
      • Dados Abertos
      • Ações de Capacitação
    • Sanções Administrativas
    • Ferramentas e aspectos tecnológicos
    • Agenda de Autoridades
    • Consulta Pública
      • Consulta Pública - Política Nacional de Espaço
      • PLANO DE DADOS ABERTOS
    • Contratos de Gestão/Organizações Sociais
      • Centro Nacional de Pesquisa em Energia e Materiais - CNPEM
      • Institucionais
      • CGEE - Centro de Gestão e Estudos Estratégicos
      • Empresa Brasileira de Pesquisa e Inovação Industrial
      • Instituto de Desenvolvimento Sustentável Mamirauá - IDSM
      • Instituto de Matemática Pura e Aplicada - IMPA
      • Rede Nacional de Ensino e Pesquisa - RNP
      • INPO - Instituto Nacional de Pesquisas Oceânicas
    • Editais
      • EDITAL DE CHAMAMENTO PÚBLICO Nº 66/2024/SEI-MCTI
      • EDITAL DE CHAMAMENTO PÚBLICO Nº 4/2021/SEI-MCTI
      • EDITAL DE CHAMAMENTO PÚBLICO Nº 144/2020
    • Governança e Gestão
      • Governança de Dados
      • Indicadores Nacionais de CT&I
    • Legislação
      • Pesquisa
      • Ementário
    • Gestão Documental e Processo Eletrônico
      • Peticionamento Eletrônico
      • Cadastramento de usuários externos
    • LGPD | Privacidade e Proteção de Dados Pessoais
      • Legislação
      • Encarregado pelo Tratamento de Dados Pessoais
      • CPDP-MCTI
      • Guias e Cartilhas
      • Direito dos Titulares
      • Glossário de Proteção de Dados Pessoais
      • Perguntas Frequentes
      • Cursos
      • Incidente de Segurança com Dados Pessoais
    • Orçamento
      • PLOA
    • Prestação de Contas
      • 2022
      • 2021
      • 2020
      • 2019
      • 2018
      • 2017
      • 2016
      • 2023
      • 2024
    • Unidades de Pesquisa
      • Termos de Compromisso de Gestão
      • Relatório Executivo
      • Unidades
    • Plano de Contratações Anual (PCA)
      • PORTAL NACIONAL DE CONTRATAÇÕES PÚBLICAS (PNCP)
    • Emendas Parlamentares de Relator Geral do Orçamento - RP9
    • Protocolo de Intenções e Acordos de Cooperação Técnica
  • Composição
    • Ministra
    • Gabinete
    • Assessoria de Participação Social e Diversidade
    • Assessoria Especial de Controle Interno
    • Ouvidoria
    • Corregedoria
    • Assessoria Especial de Assuntos Internacionais
    • Assessoria Especial de Assuntos Parlamentares e Federativos
    • Assessoria Especial de Comunicação Social
    • Secretaria-Executiva
    • Assessoria do Conselho Nacional de Ciência e Tecnologia (ASCCT/MCTI)
    • Consultoria Jurídica - CONJUR
    • Secretaria de Políticas e Programas Estratégicos - SEPPE
    • Secretaria de Ciência e Tecnologia para o Desenvolvimento Social - SEDES
    • Secretaria de Desenvolvimento Tecnológico e Inovação - SETEC
    • Secretaria de Ciência e Tecnologia para Transformação Digital - SETAD
    • Unidades Vinculadas ao MCTI
      • AEB - Agência Espacial Brasileira
      • CNEN - Comissão Nacional de Energia Nuclear
      • CNPq - Conselho Nacional de Desenvolvimento Científico e Tecnológico
      • CBPF - Centro Brasileiro de Pesquisas Físicas
      • CEMADEN - Centro Nacional de Monitoramento e Alertas de Desastres Naturais
      • CETEM - Centro de Tecnologia Mineral
      • CETENE - Centro de Tecnologias Estratégicas do Nordeste
      • CTI - Centro de Tecnologia da Informação Renato Archer
      • IBICT - Instituto Brasileiro de Informação em Ciência e Tecnologia
      • INPA - Instituto Nacional de Pesquisas da Amazônia
      • INPE - Instituto Nacional de Pesquisas Espaciais
      • INSA - Instituto Nacional do Semiárido
      • INT - Instituto Nacional de Tecnologia
      • LNA - Laboratório Nacional de Astrofísica
      • LNCC - Laboratório Nacional de Computação Científica
      • MAST - Museu de Astronomia e Ciências Afins
      • Museu Paraense Emílio Goeldi
      • ON - Observatório Nacional
      • INMA - Instituto Nacional de Mata Atlântica
      • Finep - Financiadora de Estudos e Projetos
      • Ceitec S.A.
      • CGEE - Centro de Gestão e Estudos Estratégicos
      • CNPEM - Centro Nacional de Pesquisa em Energia e Materiais
      • IMPA - Instituto Nacional de Matemática Pura e Aplicada
      • Embrapii - Empresa Brasileira de Pesquisa e Inovação Industrial
      • IDSM - Instituto de Desenvolvimento Sustentável Mamirauá
      • RNP - Rede Nacional de Ensino e Pesquisa
      • INPP - Instituto Nacional de Pesquisa do Pantanal
    • Conselhos
      • Conselhos
      • CONCEA
      • CTNBio
  • Centrais de Conteúdo
    • Biblioteca
    • Comunicados MCTI
      • CTI Renato Archer (CTI): Homologação de Inscrições. Comitê de Busca.
      • MCTI abre processo de escolha de novo(a) diretor(a) para o CTI Renato Archer
      • Disponibilizado Formulário Eletrônico Formict ano-base 2022 para preenchimento pelas ICTs
      • Retificação do Formulário Eletrônico Formict ano-base 2022
      • Formict ano-base 2020 – Regularização – prorrogado para 31 de janeiro de 2023 o prazo para regularização pelas ICT não respondentes
      • Formict ano-base 2020 – Regularização – prorrogado para 16 de janeiro de 2023 o prazo para regularização pelas ICT não respondentes
      • Formict ano-base 2020 – Regularização Aberto até 15 de dezembro de 2022 para regularização pelas ICT não respondentes
      • Formict ano-base 2019 – Regularização – prorrogado para 24 de junho de 2022 o prazo para regularização pelas ICT não respondentes
      • Formict ano-base 2019 – Regularização - aberto até 15 de junho de 2022 para regularização pelas ICT não respondentes
      • Formulário de informações sobre atividades de P,D&I da Lei do Bem – Ano-Base 2021
      • Inscrições Homologadas - Seleção de Diretor para o Instituto Brasileiro de Informação em Ciência e Tecnologia - IBICT
      • Aberto processo de escolha para o cargo de Diretor-Presidente da EMBRAPII
      • MCTI PRORROGA PRAZO PARA INSCRIÇÃO PARA ESCOLHA DO (A) NOVO (A) Diretor (A) DO IBICT
      • Ministério da Ciência, Tecnologia e Inovações (MCTI) comunica a abertura do processo de escolha do novo Diretor ou Diretora do Instituto Brasileiro de Informação em Ciência e Tecnologia (Ibict).
      • Inscrições Homologadas - Seleção de Diretor para o Instituto Nacional da Mata Atlântica - INMA
      • ICTs, Formulário Eletrônico Formict ano-base 2021 disponível para preenchimento até 31/03/2022
      • Últimos dias da consulta pública para atualização da Estratégia Brasileira para Transformação Digital (E-Digital).
      • Aberto processo de escolha para o cargo de Diretor-Presidente do CGEE
      • Abertura de processo de escolha de novo (a) Diretor (a) para o Instituto Nacional da Mata Atlântica (INMA)
      • 2563 Empresas finalizaram o preenchimento do FORMP&D 2020
      • Formict ano-base 2020 aberto até 31 de outubro de 2021 para regularização pelas ICT não respondentes
      • Prazo de entrega do FORMP&D Ano-Base 2020
      • Inscrições Homologadas - Seleção de Diretor para o Museu de Astronomia e Ciências Afins - MAST
      • Inscrições Homologadas - Seleção de Diretor para o Observatório Nacional - ON
      • Formict ano-base 2019 aberto até 20 de setembro de 2021 para regularização pelas ICT não respondentes
      • CHAMADA CNPq/MCTI/SEMPI Nº 14/2021
      • Informações Relevantes sobre Formulários Eletrônicos Formict anos-base 2020 e 2019
      • COMUNICADO FNDCT MINISTRO MARCOS PONTES
      • Prorrogado o prazo de entrega do FORMP&D 2020
      • EDITAL Nº 18/2021/MCTI - PROCESSO DE ESCOLHA NOVO DIRETOR OBSERVATÓRIO NACIONAL/MCTI
      • EDITAL Nº 17/2021/MCTI - PROCESSO DE ESCOLHA NOVO DIRETOR MAST/MCTI
      • Formulário Eletrônico Formict ano-base 2020 aberto para preenchimento até 31 de agosto de 2021
      • Chamamento Público para Organização Social de Semicondutores
      • EDITAL CHAMAMENTO PÚBLICO Nº 11, DE 15 DE JUNHO DE 2021
      • A relação prevista no § 3º do art. 17 do Decreto nº 9.283 foi atualizada e está disponível na página do Formict
      • Formulário de informações sobre atividades de pesquisa da Lei do Bem - Ano Base 2020
      • Relação prevista no § 3º do art. 17 do Decreto nº 9.283 disponível na página do Formict
      • Prazo para envio do Novo Formulário Eletrônico Formict Ano-Base 2019 encerrado em 31 de março de 2021
      • Nova oportunidade para finalização do preenchimento do Formict AB 2019 – prazo final: 31 de março de 2021
      • Atos Normativos
      • Novo Formulário Eletrônico sobre a Política de Propriedade Intelectual das ICT do Brasil – Formict
      • Formulário de informações sobre atividades de pesquisa da Lei do Bem
      • Requerimento de Apoio Institucional a Fundos Patrimoniais e Endowments a CT&I
      • Dados Abertos sobre a Política de Propriedade Intelectual das ICT do Brasil
      • Nova Portaria de atualização dos procedimentos da Lei do Bem
      • Formulário de Cadastro de Pesquisas e Desenvolvedores de Projetos
      • Política de propriedade intelectual das Instituições Científicas, Tecnológicas e de Inovação (ICT)
    • Eventos
    • Marca do Governo Federal
    • Notícias
    • Publicações MCTI
      • Tecnologia da Informação - Legislação Atualizada
      • Plano Brasileiro de Inteligência Artificial (2025)
      • Evolução, impacto e potencial dos parques tecnológicos do Brasil
    • Repositório Digital do MCTI
    • V Conferência Nacional de CT&I
  • Canais de Atendimento
    • Ouvidoria
    • Imprensa
      • E-mail
      • Facebook
      • Instagram
      • Twitter
      • YouTube
      • Repositório Fotos
    • Fale Conosco
  • Sistemas e Plataformas
    • AdaptaBrasil
    • PiBiogás
    • PNIPE
    • Repositório Digital do MCTI
    • Semana Nacional de C&T
    • SiBBr
    • SIRENE
    • Inteli.gente
    • Observatório de Tecnologias Digitais
    • Observatório Brasileiro de Inteligência Artificial
  • Serviços
    • Serviços
    • Bens Sensíveis
    • Para o Servidor
Redefinir Cookies
Redes sociais
  • Twitter
  • YouTube
  • Facebook
  • Flickr
  • Instagram
  • SoundCloud
  • Linkedin
Acesso àInformação
Todo o conteúdo deste site está publicado sob a licença Creative Commons Atribuição-SemDerivações 3.0 Não Adaptada.
Voltar ao topo da página
Fale Agora Refazer a busca